2. 中国科学院大学, 北京 100049
自三峡工程建成后,库区支流水体富营养化问题一直未得到有效解决,对居民用水安全和水体生态环境的威胁居高不下。支流库湾由于水文循环的改变积累大量营养元素,成为水体水华发生的热点区域[1]。磷是富营养化的限制因子,生物有效性磷可作为水生生物磷的直接营养来源[2]。库区水体磷素溯源研究中,除沉积物内源磷释放和人为活动引起的磷输入之外[3-4],消落带土壤–植物系统季节性淹水导致的磷释放也是重要来源。目前,针对消落带优势植物的磷富集和释放过程已经有了初步研究[5],在落干末期对植物收割可以有效控制植物死亡分解后磷进入水体。但是,消落带土壤在淹水阶段的磷转化和释放过程仍然不清晰。Shen等[6]对比了2009年与2018年三峡库区消落带土壤养分水平,发现消落带高程145 ~ 155 m区域内表层土壤有效磷含量下降了90.90%。Wang等[7]对比了澎溪河流域消落带土壤与岸边未淹没土壤生物有效磷水平及其磷素饱和度,发现长期淹水导致消落带土壤磷的损失比例在–7.42% ~ 22.37%。目前,消落带土壤有效磷水平的降低对淹水后土–水界面磷释放的影响仍不清楚。
三峡库区消落带淹水时间长达8个月,淹水后土–水界面磷释放特征和通量一直是研究者所关注的重点。传统孔隙水提取技术的低分辨率(大于1 ~ 2 cm)通常无法捕获小尺度信号。更重要的是,传统方法采集的样品受到高度氧化还原敏感成分(如硫化物、铁和锰离子)的潜在氧化影响,无法保证可靠的测量结果。近几年发展起来的薄膜梯度扩散技术(DGT)和高分辨率孔隙水采样技术(HR-Peeper)有效地解决了以上问题,已经在湖泊沉积物[2, 8]、河流和水库沉积物[1, 9]、沿海湿地沉积物[10-11]和农田土壤[12]等有了较好的应用。消落带土壤铁含量占比较大,铁氧化物的还原仍然是控制磷酸盐释放的主要因素[5, 12]。除此之外,消落带土壤在高程间的非均质性特征、不同水位时期上覆水高通量磷输入以及优势植物根系扰动等也可能会对土–水界面磷释放产生影响[13-14]。
因此,本研究拟利用DGT技术和HR-Peeper技术同时测量淹水后的消落带土壤DGT可获取态磷/铁和溶解态磷/铁,通过对比剖面磷浓度在不同高程间的差异以及磷与铁的耦合特征,探究淹水后消落带土壤磷释放的驱动因素,以及通过对消落带土壤磷再补给常数和土–水界面磷释放通量的分析,并与前人关于富营养化湖泊沉积物结果进行对比,综合探究消落带土壤磷释放风险。
1 材料与方法 1.1 研究区概况及点位选择三峡库区消落带呈东多西少的特点,重庆段消落带面积占比达80% 以上。忠县区域消落带是重庆段消落带面积最大的区域之一,大多由一系列阶地和田地淹水后形成。三峡库区处于亚热带季风气候带,年平均气温17.9℃,相对湿度70% ~ 80%,年平均降雨量1 140 ~ 1 200 mm。忠县是三峡库区暴雨的集中中心,大约70% 的降雨发生在5—9月。本研究试验地点位于忠县汝溪河二级支流屏山大桥处,设置了3个库湾点,每个库湾点相隔约300 m。屏山大桥消落带距离汝溪河入河口约3.0 km,受干流扰动小,消落带整体坡度范围为20°~ 60°,155 m高程以下优势植物以狗牙根为主,155 ~ 165 m高程区域内以狗牙根、水蓼和苍耳为主,165 m以上高程以苍耳、鬼针草和稗草等大型草本植物为主。根据消落带土壤质地、植被覆盖度以及淹水时长差异,本研究选择3个库湾点的150 m高程和160 m高程作为试验点,如图 1所示。
|
图 1 试验点示意图 Fig. 1 Location of experimental sites |
2021年9月25日待库区水位上升至150 m高程时,在库湾拟定试验点进行DGT与HR-Peeper装置设置,分别将对应点位命名为S1、S2和S3。同时,根据均匀布点原则,在DGT和HR-Peeper装置附近采集3个表层(0 ~ 20 cm)土壤样品,装袋后送回实验室。土壤样品风干后粉碎过2 mm筛,用于后续理化指标测试。10月25日待库区水位上升至160 m高程时,在拟定试验点重复上述操作,并将对应点位分别命名为S4、S5和S6。
土壤理化性质测定:土壤粒径组成采用吸管法测定,分为砂粒、粉粒和黏粒[15];全磷(TP)采用氢氧化钠熔融法–钼锑抗比色法测定[15];有效磷(Olsen-P)采用碳酸氢钠浸提–钼锑抗比色法测定[16];有效铁(FeM3)用麦里科Ⅲ(Mehlich-3)萃取剂(0.2 mol/L CH3COOH + 0.25 mol/L NH4NO3 + 0.015 mol/L NH4F + 0.13 mol/L HNO3 + 0.001 mol/L EDTA)提取,土液比为1∶8(m/V),经Whatman 42号滤纸过滤后,滤液中的FeM3采用原子吸收光谱法(英国iCE3300 FL AA系统) 测定[17]。
DGT和HR-Peeper设置与测定:DGT装置由固定层(即固定膜)和扩散层(扩散膜和滤膜)叠加组成,暴露窗口长度150 mm,宽度18 mm。HR-Peeper装置主体由很多相同体积的小室组成,小室两侧分别覆盖一层滤膜(0.45 μm),小室内预先封装采样介质(如去离子水或电解质溶液)。HR-Peeper装置暴露面长度200 mm,宽度40 mm,垂向排列36个小室,单个小室获得的孔隙水400 μL左右。在库湾试验点选择淹水深度约10 cm左右的位置依次缓慢垂直插入已充氮去氧的ZrO-Chelex DGT和HR-Peeper,保留DGT固定膜和HR-Peeper腔室3 cm在上覆水中,并做好标记。DGT放置24 h以上,HR-Peeper放置48 h以上,并记录水温。待放置结束后,垂直缓慢取出DGT和HR-Peeper,用去离子水冲洗DGT表面淤泥,用湿滤纸轻轻擦去HR-Peeper装置表面泥沙。将清洁干净的DGT和HR-Peeper装置装入自封袋,带回实验室进行后续处理。
DGT固定膜上可获取态磷/铁浓度依次采用切片–两步提取–微量比色方法进行分析[18]。具体为:将固定膜从窗口处切开,沿深度以2 mm的间隔切成条状,切片后的所有条状固定膜按顺序依次用镊子夹入装有1.8 mL 1 mol/L HNO3溶液的离心管,浸泡16 h以解吸铁,然后吸出解吸液用去氧水洗涤每个条状固定膜,再加入1.8 mL 1 mol/L NaOH溶液浸泡16 h以解吸磷。解吸液中磷浓度使用钼锑抗比色法测定,解吸液中铁浓度使用菲咯啉比色法测定。
HR-Peeper腔室内溶解态磷/铁采用吸取–微量比色法进行分析[19]。具体为:先移除最表层的薄膜,保证滤膜干净无泥,再将清洁后的滤膜平放于干净台面上,盖上一层干净的保鲜膜,用移液枪从上至下依次将样品取出装入密封的离心管中。样品中磷含量的测定采用磷钼蓝微孔板分光光度计法,铁含量的测定采用邻菲啰啉微孔板分光光度计法。
1.3 数据处理与统计分析DGT可获取态磷/铁浓度和土–水界面磷扩散通量的计算参考Li等[20]方法。本文使用Excel 2016对所有原始数据进行初步汇总处理及分析;使用SPSS 24进行统计分析,包括成对样品T检验和线性回归拟合;使用Origin 2022、ArcGIS 10.2及PowerPoint 2016等绘图。
2 结果与分析 2.1 消落带土壤理化性质试区消落带150 m和160 m高程土壤理化性质如表 1所示。两个高程土壤均以砂粒为主,平均质量分数在35% 以上,而粉粒平均质量分数在33% 左右,黏粒在30% 以下。150 m高程土壤砂粒平均质量分数显著高于160 m高程(P < 0.05),黏粒与之相反。两个高程土壤TP平均含量均在530 mg/kg以上,Olsen-P平均含量在13 mg/kg以下,FeM3平均含量在0.35 g/kg左右。
|
|
表 1 消落带不同高程土壤理化性质 Table 1 Soil physiochemical properties with altitudes in the WLFZ |
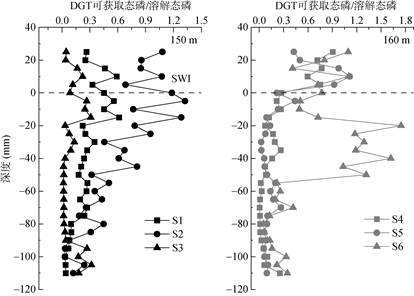
试区消落带150 m和160 m高程土壤DGT可获取态磷/铁浓度分布如图 2所示。当水位上升至150 m高程时,S1、S2和S3处DGT可获取态磷浓度范围分别为0.010 ~ 0.066、0.010 ~ 0.149和0.004 ~ 0.027 mg/L。从垂向方向看,DGT可获取态磷浓度随土壤深度增加而逐渐升高,达到峰值后逐渐减小。S1、S2和S3处DGT可获取态铁浓度范围分别为0.021 ~ 0.161、0.023 ~ 0.291、0.016 ~ 0.054 mg/L。DGT可获取态铁浓度与DGT可获取磷变化一致。当库区水位上升至160 m高程时,S4、S5和S6处DGT可获取态磷浓度范围分别为0.003 ~ 0.026、0.001 ~ 0.019和0.009 ~ 0.049 mg/L。与150 m高程不同,160 m高程DGT可获取态磷浓度随土壤深度增加而逐渐减少。S4、S5和S6处DGT可获取态铁浓度范围分别为0.022 ~ 0.053、0.018 ~ 0.127、0.044 ~ 0.213 mg/L。从垂直方向看,S4和S6处DGT可获取态铁浓度随土壤深度增加呈波动变化,S5处DGT可获取态铁浓度随土壤深度增加逐渐降低。总体而言,150 m高程DGT可获取态磷浓度(0.028 mg/L)显著高于160 m高程(0.014 mg/L)(P < 0.05),DGT可获取态铁浓度在不同高程间(0.050、0.049 mg/L)无显著差异(图 3)。
|
(图中S1、S2和S3为150 m高程点位,S4、S5和S6为160 m高程点位,水平虚线为土–水界面;下图同) 图 2 消落带不同高程土壤淹水后DGT可获取态磷/铁剖面分布 Fig. 2 Vertical distributions of DGT P and Fe in soils with altitudes in WLFZ after inundation |
|
(图中不同小写字母表示不同高程间差异显著(P < 0.05)) 图 3 消落带不同高程土壤剖面DGT可获取态磷/铁和溶解态磷/铁浓度的箱线图 Fig. 3 Box-plot of concentrations for DGT P and Fe, dissolved P and Fe with altitudes in WLFZ |
试区消落带150 m和160 m高程土壤溶解态磷/铁浓度分布如图 4所示。当水位上升至150 m高程时,S1、S2和S3处溶解态磷浓度范围分别为0.029 ~ 0.536、0.017 ~ 0.457、0.033 ~ 1.315 mg/L,从垂直方向看,溶解态磷浓度沿土壤深度增加先增大后减小;溶解态铁浓度范围为0.407 ~ 3.78、0.146 ~ 5.097、0.643 ~ 3.774 mg/L,S1和S2处溶解态铁浓度与溶解态磷变化趋势一致,而S3处溶解态铁浓度在剖面间波动较大。当水位上升至160 m高程时,S4、S5和S6处溶解态磷浓度范围分别为0.024 ~ 0.588、0.003 ~ 0.068、0.018 ~ 0.231 mg/L,其土壤剖面上变化趋势与150 m高程时一致;溶解态铁的浓度范围分别为0.128 ~ 10.024、0.136 ~ 0.742、0.102 ~ 3.114 mg/L,S4和S6处溶解态铁浓度峰值出现在深层,S5处溶解态铁浓度峰值出现在浅层。总之,150 m高程溶解态磷和铁浓度(0.233、2.046 mg/L)均显著高于160 m高程(0.069、0.965 mg/L)(图 3,P < 0.05)。
|
图 4 消落带不同高程土壤淹水后孔隙水中溶解态磷和铁剖面分布 Fig. 4 Vertical distribution of dissolved P and Fe in pore waters with altitudes in WLFZ after inundation |
通过菲克(Fick)定律[20]计算消落带150 m(S1、S2和S3)和160 m(S4、S5和S6)高程DGT可获取态磷在土–水界面上下10 mm的交换通量,结果如表 2所示。150 m高程土壤磷扩散通量均为正值,平均值为5.60× 10–6 mg/(cm2·d),表明土–水界面向上覆水释放磷;160 m高程土壤磷扩散通量均为负值,平均值为–5.68× 10–6 mg/(cm2·d),表明土–水界面从上覆水吸收固定磷。
|
|
表 2 消落带不同高程土壤淹水后土–水界面磷扩散通量 Table 2 Apparent diffusion flux of P across the soil-water interface with different altitudes in WLFZ after inundation |
DGT可获取态磷代表在土壤介质中解离或解吸的溶解态磷,被认为具有潜在的生物可利用性[21]。本研究中,消落带土壤淹水后的DGT可获取态磷浓度与湿地土壤研究结果相当[9-10],但显著低于湖泊沉积物和水库沉积物研究结果[1, 22]。溶解态磷代表从土壤固体介质表面释放到孔隙水中的溶解性磷。本研究中,淹水后的溶解态磷浓度高于沿海退化湿地的研究结果[9],低于淹水培养土壤测定结果[23]。可见,DGT可获取态磷和溶解态磷结果均表明消落带土壤淹水后磷释放潜力较低。
土壤生物可利用磷包括土壤颗粒表层吸附的磷酸盐、铁铝结合态磷以及部分活性有机磷。其中,铁结合态磷是生物可利用磷的主要赋存形态,铁氧化物形态转化是影响土–水界面磷释放过程的重要原因。本研究中,150 m高程DGT测定结果显示,土–水界面以下20 ~ 80 mm的深度范围内存在几个DGT可获取态磷的释放热点,这可能是由于铁氧化物的强烈分解造成的(图 2)。相比其他金属离子(锰),铁对氧化还原条件变化更敏感[20]。一般认为土壤剖面由表层至深层,空隙越来越少,氧气含量随之降低[24]。因此,在垂直方向上,因氧化还原条件变化,铁形态和浓度会出现明显差异[20]。淹水后,土壤表层氧气加速逃逸,进一步促进了三价铁的还原,磷被释放[25-26]。
本研究回归分析结果显示,150 m高程土壤中DGT可获取态磷与DGT可获取态铁呈现显著正相关关系(P < 0.05或P < 0.01),而160 m高程土壤中关系不明确(表 3)。两个高程土壤中(除S3外)孔隙水溶解态磷与溶解态铁均呈显著正相关(P < 0.01),且R2值高于DGT测定结果。消落带土–水界面磷扩散特征在不同高程土壤间存在显著差异。DGT可获取态磷峰值出现的深度远高于DGT可获取态铁,说明除铁氧化物还原外,还存在其他磷释放途径。160 m高程上覆水DGT可获取态磷浓度显著高于土壤内部,与150 m高程不一致。当水位上升至160 m高程时,植物淹水后释放的磷和上游来水输送的磷导致上覆水磷入渗胁迫增大,抑制了土壤磷的释放,这与在富营养化湖泊沉积物中观察到的现象类似[27]。同时,150 m高程土壤砂粒占比显著低于160 m高程(表 1)。150 m高程土壤主要为淹水过程中沉积的泥沙,颗粒分布均匀,有利于孔隙水中磷的迁移[28]。而160 m高程土壤受泥沙沉积影响较小,非均质特性明显,限制了磷的释放。另外,植物根系也可能限制了磷的释放[29]。Yin等[14]对比分析了太湖藻类优势带和草类优势带沉积物土–水界面磷扩散通量,发现草类(大型植物)为主的地区可能导致根际沉积物内铁和锰离子氧化,促进沉积物对磷的吸收,从而减缓磷的释放。
|
|
表 3 溶解态磷与溶解态铁、DGT可获取态磷与DGT可获取态铁回归拟合结果 Table 3 Regression fitting results between dissolved P and Fe, DGT P and Fe |
因此,三峡库区支流库湾消落带150 m高程土壤淹水后磷扩散动态由铁氧化物还原主导,而160 m高程土壤磷扩散潜力较低,与上覆水磷入渗胁迫、土壤非均质性结构以及植物根系限制等因素有关。
3.2 消落带不同高程土壤磷再补给动力学DGT可获取态磷与溶解态磷的比值(R)反映了土壤对孔隙水磷的缓冲能力,值越高代表土壤磷池对孔隙水溶解态磷的补给能力越强,本研究结果如图 5所示。150 m和160 m高程土壤R值范围分别为0.015 ~ 1.325、0.006 ~ 1.747,平均值分别为0.291、0.286。除S6外,两个高程土壤中R值随土壤深度增大逐渐减小,且峰值均出现在土壤表层,该结果与Liu等[29]的研究结果不一致,可能与上覆水磷的输入和消落带土壤生物有效磷水平降低有关。本研究中,消落带土壤Olsen-P含量与郭燕等[30]研究结果一致,显著低于消落带形成初期。160 m高程S4和S5处R值变化规律与150 m高程一致,而S6处R值在土壤浅层范围内出现较大的波动,可能存在特殊的磷释放热点。磷再补给能力包括3种情况:①缓慢再补给,0 < R < 0.20;②中等再补给,0.20 < R < 0.65;③快速再补给,R≥0.65[31-32]。虽然两个高程土壤R值差距不大,但S6处土–水界面以下20 ~ 50 mm范围内异常的R值拉高了160 m高程土壤整体缓冲能力。160 m高程土壤淹水时长低于150 m高程,更有利于植物和微生物的生长发育,促进磷的内源性积累,使得有机磷含量升高。在淹水后的短时间内,微生物活动被抑制,有机磷无法及时水解成磷酸盐被释放。相反,150 m高程土壤生态系统结构简单,磷主要以易解吸的磷酸盐和与铁铝结合态磷为主,在水环境变化下能迅速产生响应。
|
图 5 消落带不同高程土壤DGT可获取态磷与溶解态磷比值(R)的变化 Fig. 5 Changes of the ratio (R) of DGT P to dissolved P with altitudes in WLFZ |
DGT技术已经在呼伦湖(67.9 ~ 498.7 μg/(m2·d))[6]、太湖(0.04 ~ 10.04 mg/(m2·d))[20]、岷江河口湿地(0.619 pg/(cm2·s))[9]、渭源河(沱江支流)梯级水库(–0.66 ~ 1.67 mg/(cm2·d))[1]、三峡巫山县及湘西河和秭归县(0.42 mg/(m2·d))[33]、西直河0.132 mg/(cm2·d))[22]等沉积物土–水界面磷扩散通量的观测中有了较好的应用。本研究中,三峡库区中部支流库湾消落带淹水后的土–水界面磷扩散通量远低于以上研究结果,150 m高程土壤释放磷,160 m高程土壤吸收磷,两个高程土–水界面磷扩散通量相当。160 m高程土壤吸收磷的原因可能与上覆水磷浓度有关。研究表明,植物在消落带呈现“多年生草本植物–多年生草本植物和一年生草本植物混合–一年生草本植物为主”的分布格局,生物量和磷富集能力沿高程升高而增大[34]。消落带淹水以后,新鲜植物死亡释放出大量的磷。当水位到达160 m高程时,上覆水磷含量显著高于淹水初期(图 2),高通量磷的入渗压力,导致磷被未还原的铁氧化物吸附固定。因此,消落带160 m以上高程土壤磷的释放潜力处于一个安全范围内。另外,除植物释放磷以外,150 m高程土壤磷的释放也是导致水体磷负荷升高的重要原因之一。
4 结论铁氧化物还原是主导三峡库区中部支流库湾消落带150 m高程土–水界面磷释放的主要原因,其与淹水后还原条件的增强有关。160 m高程土壤铁结合态磷释放减少,可能与上覆水磷入渗胁迫、土壤非均质性结构以及植物根系限制有关。两个高程土壤DGT可获取态磷与溶解态磷的比值(R)均属于中等再补给速率,R值在土–水界面最大,随土壤深度增加逐渐减小。利用土–水界面上下10 mm DGT可获取态磷浓度估算消落带土壤淹水后的磷扩散通量,结果显示,150 m高程土壤淹水后向上覆水释放磷,而160 m高程土壤则相反。另外,消落带两个高程土壤DGT可获取态磷、溶解态磷剖面浓度及其磷扩散通量均显著低于以往沉积物研究结果,表明当前消落带土壤磷释放风险较低,这可能与上覆水磷输入以及土壤生物有效磷水平降低有关。
| [1] |
Yin Y P, Zhang W, Cao X, et al. Evaluation of sediment phosphorus dynamics in cascade reservoir systems: A case study of Weiyuan River, China[J]. Journal of Environmental Management, 2023, 346: 118980 DOI:10.1016/j.jenvman.2023.118980 ( 0) |
| [2] |
王晓杰, 张京, 高俊峰, 等. 太湖上游圩区氮磷管理的减污效益分析[J]. 土壤, 2023, 55(6): 1272-1278 DOI:10.13758/j.cnki.tr.2023.06.014 ( 0) |
| [3] |
Fan X F, Xing X G, Ding S M. Enhancing the retention of phosphorus through bacterial oxidation of iron or sulfide in the eutrophic sediments of Lake Taihu[J]. Science of The Total Environment, 2021, 791: 148039 DOI:10.1016/j.scitotenv.2021.148039 ( 0) |
| [4] |
李爽, 王钰, 于云飞, 等. 不同有机替代方式下稻田土壤胶体磷流失潜力研究[J]. 土壤, 2023, 55(4): 821-828 ( 0) |
| [5] |
Xiao L W, Zhu B, Nsenga Kumwimba M, et al. Plant soaking decomposition as well as nitrogen and phosphorous release in the water-level fluctuation zone of the Three Gorges Reservoir[J]. Science of The Total Environment, 2017, 592: 527-534 DOI:10.1016/j.scitotenv.2017.03.104 ( 0) |
| [6] |
Shen Y F, Cheng R M, Xiao W F, et al. Temporal dynamics of soil nutrients in the riparian zone: Effects of water fluctuations after construction of the Three Gorges Dam[J]. Ecological Indicators, 2022, 139: 108865 DOI:10.1016/j.ecolind.2022.108865 ( 0) |
| [7] |
Wang C, Fang F, Yuan Z Y, et al. Spatial variations of soil phosphorus forms and the risks of phosphorus release in the water-level fluctuation zone in a tributary of the Three Gorges Reservoir[J]. Science of The Total Environment, 2020, 699: 134124 DOI:10.1016/j.scitotenv.2019.134124 ( 0) |
| [8] |
Wu Z H, Jiang X, Chen J Y, et al. Diffusive gradients in thin films for transfer of phosphorus, nitrate and ammonium in lake sediments[J]. Journal of Geochemical Exploration, 2023, 247: 107175 DOI:10.1016/j.gexplo.2023.107175 ( 0) |
| [9] |
Zhuo T Y, Wan Q, Chai B B, et al. Microbial pathways in the coupling of iron, sulfur, and phosphorus cycles at the sediment–water interface of a river system: An in situ study involving the DGT technique[J]. Science of The Total Environment, 2023, 863: 160855 DOI:10.1016/j.scitotenv.2022.160855 ( 0) |
| [10] |
Hu M J, Yan R B, Ni R X, et al. Coastal degradation regulates the availability and diffusion kinetics of phosphorus at the sediment-water interface: Mechanisms and environmental implications[J]. Water Research, 2024, 250: 121086 DOI:10.1016/j.watres.2023.121086 ( 0) |
| [11] |
Hu M J, Sardans J, Le Y X, et al. Effects of wetland types on dynamics and couplings of labile phosphorus, iron and sulfur in coastal wetlands during growing season[J]. Science of The Total Environment, 2022, 830: 154460 DOI:10.1016/j.scitotenv.2022.154460 ( 0) |
| [12] |
Tuntrachanida J, Wisawapipat W, Aramrak S, et al. Combining spectroscopic and flux measurement techniques to determine solid-phase speciation and solubility of phosphorus in agricultural soils[J]. Geoderma, 2022, 410: 115677 DOI:10.1016/j.geoderma.2021.115677 ( 0) |
| [13] |
李欢, 樊慧琳, 张佳敏, 等. 坡耕地红壤剖面磷的储存容量及其流失风险研究[J]. 土壤学报, 2024, 61(1): 98-109 ( 0) |
| [14] |
Yin H B, Zhang M, Yin P, et al. Characterization of internal phosphorus loading in the sediment of a large eutrophic lake (Lake Taihu, China)[J]. Water Research, 2022, 225: 119125 DOI:10.1016/j.watres.2022.119125 ( 0) |
| [15] |
张雪, 朱波. 三峡库区支流库湾消落带土壤磷形态赋存特征及其释放风险[J]. 环境科学, 2023, 44(5): 2574-2582 DOI:10.3969/j.issn.1000-6923.2023.05.049 ( 0) |
| [16] |
Zhu B, Wang Z H, Zhang X B. Phosphorus fractions and release potential of ditch sediments from different land uses in a small catchment of the upper Yangtze River[J]. Journal of Soils and Sediments, 2012, 12: 278-290 DOI:10.1007/s11368-011-0449-x ( 0) |
| [17] |
Jalali M, Jalali M. Relation between various soil phosphorus extraction methods and sorption parameters in calcareous soils with different texture[J]. Science of The Total Environment, 2016, /566: 1080-1093 ( 0) |
| [18] |
Ding S M, Xu D, Sun Q, Yin H B, et al. Measurement of dissolved reactive phosphorus using the diffusive gradients in thin films technique with a high-capacity binding phase[J]. Environmental Science & Technology, 2010, 44(21): 8169-8174 ( 0) |
| [19] |
Xu D, Ding SM, Sun Q, et al. Evaluation of in situ capping with clean soils to control phosphate release from sediments[J]. Science of the Total Environment, 2012, 438(0): 334-341 ( 0) |
| [20] |
Li R, Gao L, Wu Q R, et al. Release characteristics and mechanisms of sediment phosphorus in contaminated and uncontaminated rivers: A case study in South China[J]. Environmental Pollution, 2021, 268: 115749 DOI:10.1016/j.envpol.2020.115749 ( 0) |
| [21] |
Gontijo E S J, Monteiro A S C, Tonello P S, et al. Analyses of colloidal, truly dissolved, and DGT-labile metal species and phosphorus in mining area surrounded by tailing dams using self-organising maps[J]. Chemosphere, 2022, 303: 135003 DOI:10.1016/j.chemosphere.2022.135003 ( 0) |
| [22] |
Wang J H, Zhou Y K, Bai X L, et al. Effect of algal blooms outbreak and decline on phosphorus migration in Lake Taihu, China[J]. Environmental Pollution, 2022, 296: 118761 DOI:10.1016/j.envpol.2021.118761 ( 0) |
| [23] |
Yuan H Z, Jia B C, Wu J, et al. How do inundation provoke the release of phosphorus in soil-originated sediment due to nitrogen reduction after reclaiming lake from polder[J]. Journal of Environmental Sciences, 2022, 118: 147-157 DOI:10.1016/j.jes.2022.01.002 ( 0) |
| [24] |
Zhou Y W, Wang H X, Zhang Y L, et al. Availability and diffusion kinetic process of phosphorus in the water– sediment interface assessed by the high-resolution DGT technique[J]. Journal of Soils and Sediments, 2021, 21(10): 3274-3288 DOI:10.1007/s11368-021-02954-7 ( 0) |
| [25] |
Pan F, Guo Z R, Cai Y, et al. Cyclical patterns and (im)mobilization mechanisms of phosphorus in sediments from a small creek estuary: Evidence from in situ monthly sampling and indoor experiments[J]. Water Research, 2020, 171: 115479 DOI:10.1016/j.watres.2020.115479 ( 0) |
| [26] |
Pan F, Liu H T, Guo Z R, et al. Effects of tide and season changes on the iron-sulfur-phosphorus biogeochemistry in sediment porewater of a mangrove coast[J]. Journal of Hydrology, 2019, 568: 686-702 DOI:10.1016/j.jhydrol.2018.11.002 ( 0) |
| [27] |
Yao Y, Wang P F, Wang C, et al. Assessment of mobilization of labile phosphorus and iron across sediment-water interface in a shallow lake (Hongze) based on in situ high-resolution measurement[J]. Environmental Pollution, 2016, 219: 873-882 DOI:10.1016/j.envpol.2016.08.054 ( 0) |
| [28] |
李红颖, 王思楚, 高孟宁, 等. 渗漏是三峡库区砂质土橘园氮磷流失的主要途径[J]. 土壤学报, 2022, 59(4): 1078-1088 ( 0) |
| [29] |
Liu Q, Ding S M, Chen X, et al. Effects of temperature on phosphorus mobilization in sediments in microcosm experiment and in the field[J]. Applied Geochemistry, 2018, 88: 158-166 DOI:10.1016/j.apgeochem.2017.07.018 ( 0) |
| [30] |
郭燕, 程瑞梅, 肖文发, 等. 三峡库区消落带土壤化学性质年际变化特征[J]. 林业科学, 2019, 55(4): 22-30 ( 0) |
| [31] |
Wu Z H, Wang S R, Ji N N. Phosphorus (P) release risk in lake sediment evaluated by DIFS model and sediment properties: A new sediment P release risk index (SPRRI)[J]. Environmental Pollution, 2019, 255: 113279 DOI:10.1016/j.envpol.2019.113279 ( 0) |
| [32] |
Harper M P, Davison W, Zhang H, et al. Kinetics of metal exchange between solids and solutions in sediments and soils interpreted from DGT measured fluxes[J]. Geochimica et Cosmochimica Acta, 1998, 62(16): 2757-2770 DOI:10.1016/S0016-7037(98)00186-0 ( 0) |
| [33] |
Yang J J, Ma Y M, Li S Z, et al. Phosphorus release flux and mechanism at the sediment–water interface of the Three Gorges Reservoir in the Yangtze River basin, China[J]. Journal of Soils and Sediments, 2024, 24(4): 1814-1825 DOI:10.1007/s11368-023-03591-y ( 0) |
| [34] |
孔维苇, 王晓锋, 卢虹宇, 等. 三峡库区消落带4种典型草本植物的生态化学计量特征[J]. 生态学报, 2020, 40(13): 4493-4506 ( 0) |
2. University of Chinese Academy of Sciences, Beijing 100049, China
2025, Vol. 57



0)