2. 西北农林科技大学黄土高原土壤侵蚀与旱地农业国家重点实验室, 陕西杨凌 712100;
3. 山西农业大学生态环境产业技术研究院, 太原 030024;
4. 石家庄学院碳中和研究中心, 石家庄 050035
玉米(Zea mays L.)是重要的粮食作物。据联合国粮食及农业组织报告,预计到2050年全球玉米产量将增加40%[1],而更高的生产效率将产生巨量的秸秆。过去,秸秆常被就地焚烧,导致大气环境的严重污染。秸秆还田不仅可以减少秸秆焚烧,也可以为土壤提供丰富的有机质和其他营养元素[2]。研究表明,与单秸秆还田或单施氮肥相比,秸秆还田配施氮肥更有利于提高作物产量和养分利用效率[3]。秸秆还田配施氮肥能提高土壤氮库,改善耕层土壤质量[4]。土壤氮库提升反过来也有助于减少氮肥投入,降低氮淋溶对环境的污染[5]。因此,秸秆还田对于环境保护和土壤培肥具有重要意义。
土壤全氮(TN)背景值较高,变化幅度较小,在反映土壤氮库变化上不够敏感[6]。因此,TN中含量相对较少、活性较高的组分成为反映土壤氮库变化的重要指标[7]。TN由无机氮和有机氮组成,其中,无机氮主要是铵态氮(NH4+-N)和硝态氮(NO3--N)。NH4+-N是以铵根离子形式存在的氮素,易与碱性物质发生反应导致氨挥发;NO3--N是作物吸收和利用氮的主要形式,具有高流动性[8]。有机氮主要由活性组分和稳定组分构成。活性有机氮组分主要有水溶性有机氮(WSN)、热水浸提有机氮(HWN)和颗粒有机氮(PON)等,它们对管理措施变化的响应比TN更敏感,可以作为监测土壤氮库变化的早期指标[7]。有机氮是复杂的异质化合物,同时测定多个活性有机氮组分可以更全面地评估管理措施引起的土壤氮库变化[7]。矿物结合态有机氮(MAON)是有机氮库中相对稳定的组分,构成了土壤氮库的主体,在一定程度上决定了土壤供氮能力[9]。碳库管理指数是评价不同管理措施对土壤碳库影响的重要指标[10],后人在其基础上改进和引申出氮库管理指数(NPMI),来反映土壤供氮能力[11-12]。因此,研究秸秆还田配施氮肥对NPMI的影响,有助于评价其提高土壤氮库的效果。此外,长期秸秆还田配施氮肥可能导致土壤氮饱和,掌握土壤氮饱和亏缺有助于合理施用氮肥。
地膜覆盖是我国旱作农业区提高玉米产量的有效措施,但长期覆膜会导致表层土壤碳氮含量下降[13],而秸秆还田能够有效补充土壤碳氮库。目前,关于覆膜秸秆还田对土壤碳库影响的研究较多[14-15],但对氮库和氮饱和亏缺影响的研究较少。因此,本研究提出“长期覆膜秸秆还田能够提高土壤氮库并减少氮饱和亏缺”的研究假设,并基于2014年开始的田间定位试验,以黄土高原春玉米农田土壤为研究对象,对无机氮库和有机氮库进行了分库研究,明确了长期覆膜秸秆还田下土壤TN及其组分和土壤氮饱和亏缺的变化特征,以期为旱作农田土壤培肥提供科学参考。
1 材料与方法 1.1 试验地概况田间定位试验开始于2014年,在西北农林科技大学陕西长武黄土高原国家农业生态试验站(35°12' N,107°40' E,海拔1 200 m) 进行。该地区为暖温带半湿润大陆性季风气候,年均降水量584 mm,年均温9.1℃,全年无霜期171 d,地下水深达50 ~ 80 m,属典型旱作农业区。地带性土壤为黑垆土。2019年和2020年春玉米生育期月均气温和月均降雨量见表 1。2014年4月试验开始前,表层(0 ~ 20 cm)土壤的基本理化性质为:pH 8.2,容重1.30 g/cm3,有机碳7.71 g/kg,全氮1.10 g/kg,矿质氮21.6 mg/kg,有效磷21.5 mg/kg,速效钾147.8 mg/kg[16]。
|
|
表 1 2019年和2020年春玉米生长期的月均降水量(mm) |
本研究在2019—2020年开展,选择覆膜尿素掺混控释肥(CU,对照)和覆膜尿素掺混控释肥+秸秆还田(CS,长期覆膜秸秆还田)两个处理,每个处理3次重复,小区面积56 m2(8 × 7 m)。供试氮肥为尿素和控释氮肥按纯氮量2∶1掺混,磷肥为含12% P2O5的过磷酸钙,钾肥为含45% K2O的硫酸钾。氮磷钾肥均在播种前一次性施入,施用量分别为N 250 kg/hm2、P 40 kg/hm2和K 80 kg/hm2。供试玉米品种为先玉335,每年4月下旬播种,9月下旬收获,播种深度5 cm,密度8万株/hm2,全膜双垄沟法种植,周年覆膜,无补充灌溉。
1.3 土壤样品采集与分析2019年和2020年春玉米成熟期以五点取样法分别采集各处理表层(0 ~ 20 cm)和底层(20 ~ 40和40 ~ 60 cm)土样,混合均匀作为该土层土壤样品,带回实验室后过2 mm筛,人工去除石砾、根系等杂物,一部分土样4℃保存备用,一部分土样自然风干后备用。另外,采用环刀法采集2020年春玉米收获期各处理不同土层原状土样,用于土壤容重测定。
土壤全氮(TN)含量采用凯氏定氮法测定[17],TN储量根据容重和TN含量计算[13]。NO3--N和NH4+-N采用连续流动分析仪测定[6];水溶性有机氮(WSN)和热水浸提有机氮(HWN)采用Ghani等[18]报道的方法进行测定,WSN与HWN之和为可浸提氮(ETN);颗粒有机氮(PON)和矿物结合态有机氮(MAON)采用濮超等[9]报道的方法进行测定。土壤 < 20 µm颗粒组分(即细颗粒组分,FPF)采用物理分筛法提取[19]。土壤潜在氮饱和度(Nsat)具体计算方法为[19]:Nsat=0.40+ 0.037×FPF占比。测定FPF中氮含量即为细颗粒当前氮库(Ncur)。土壤氮饱和亏缺(Ndef)是Nsat与Ncur之差[19]。
1.4 数据处理与统计分析以CU处理不同土层的土壤作为该土层的参照土壤,计算CS处理不同土层的NPMI,具体计算方法为:氮库指数(NPI)= CS处理TN含量/CU处理TN含量[12];氮库活度(NL)=ETN含量/(TN含量–ETN含量);氮库活度指数(NLI)= CS处理NL/CU处理NL;NPMI=NPI×NLI×100。
利用SPSS 25.0软件进行单因素方差分析(One-way ANOVA),用LSD法进行多重比较,以P < 0.05为差异显著;采用Pearson相关系数法进行相关性分析。采用Origin 2021软件进行绘图。
2 结果与分析 2.1 土壤容重、全氮含量和全氮储量长期覆膜秸秆还田对不同土层土壤的容重、TN含量和TN储量的影响见表 2。与CU处理相比,CS处理降低了表层土壤容重,但对底层土壤容重影响不大;CS处理提高了各土层的TN含量,但差异大多不显著;同时,CS处理提高了各土层的TN储量,特别是显著提高了20 ~ 40 cm土层的TN储量。
|
|
表 2 覆膜秸秆还田对不同土层土壤容重、全氮含量和全氮储量的影响 |
CU和CS处理下不同土层的NO3--N和NH4+-N含量见图 1。对于NO3--N,与CU处理相比,CS处理显著提高了2019年和2020年表层土壤NO3--N含量;在20 ~ 40 cm土层,与CU处理相比,CS处理提高了这两年土壤NO3--N含量,但差异不显著;在40 ~ 60 cm土层,年际间两处理NO3--N含量变化趋势不同。对于NH4+-N,在0 ~ 20和20 ~ 40 cm土层,与CU处理相比,CS处理降低了2019年和2020年土壤NH4+-N含量;在40 ~ 60 cm土层,两处理NH4+-N含量变化趋势不同。
|
(图中不同小写字母表示同一土层深度处理间差异在P < 0.05水平显著;下同) 图 1 CU和CS处理不同土层NO3--N和NH4+-N含量 |
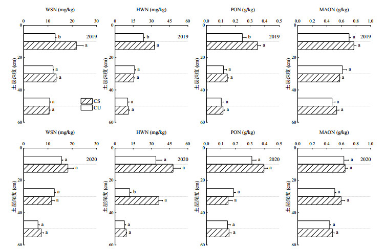
CU和CS处理不同土层的WSN和HWN、PON和MAON含量见图 2。对于WSN,与CU处理相比,CS处理提高了2019年和2020年表层土壤WSN含量,且在2019年差异达到显著水平;两处理底层土壤WSN含量差异不显著。各土层土壤HWN的变化趋势与WSN基本一致,与CU处理相比,CS处理提高了2019年和2020年表层土壤HWN含量,且在2019年差异达到显著水平;除2020年20 ~ 40 cm土层外,两处理底层土壤HWN含量差异不显著。对于PON,与CU处理相比,CS处理2019年表层土壤PON含量显著提高41.9%,2020年表层土壤PON含量提高26.6%,但差异未达显著水平,两处理底层土壤PON含量差异不显著。对于MAON,各土层两处理间差异均不显著。结果表明,长期覆膜秸秆还田能够提高表层土壤WSN和HWN及PON含量。
|
图 2 CU和CS处理不同土层水溶性氮、热水浸提氮和颗粒态氮、矿物结合态氮含量 |
长期覆膜秸秆还田对不同土层NPI、NLI和NPMI的影响见表 3。对于NPI,与CU处理相比,CS处理显著提高了2019年0 ~ 20、20 ~ 40 cm土层的NPI,显著提高了2020年40 ~ 60 cm土层的NPI。对于NLI,与CU处理相比,CS处理对2019年各土层NLI均无显著影响,而显著提高了2020年各土层的NLI。对于NPMI,与CU处理相比,CS处理提高了两年中各土层的NPMI,且两年均在0 ~ 20 cm土层、2020年在20 ~ 40和40 ~ 60 cm土层差异达显著水平。这表明长期覆膜秸秆还田能够显著提高表层土壤的NPMI,也能在一定程度上提高底层土壤的NPMI。
|
|
表 3 CU和CS处理不同土层氮库指数、氮库活度指数和氮库管理指数 |
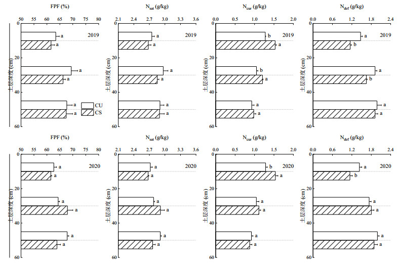
长期覆膜秸秆还田对不同土层FPF、Nsat、Ncur和Ndef的影响见图 3。对于FPF和Nsat,两处理在各土层均无显著差异。对于Ncur,在0 ~ 20 cm土层,与CU处理相比,CS处理显著提高了两年的Ncur;在20 ~ 40 cm土层,CS处理仅在2019年显著提高了Ncur;在40 ~ 60 cm土层,两处理的Ncur无显著差异。对于Ndef,在0 ~ 20 cm土层,与CU处理相比,CS处理显著降低了两年的Ndef;在20 ~ 40 cm土层,CS处理仅在2019年显著降低了Ndef;在40 ~ 60 cm土层,两处理的Ndef无显著差异。可见,长期覆膜秸秆还田能够显著提高表层土壤的Ncur和显著降低表层土壤的Ndef。
|
图 3 CU和CS处理不同土层细颗粒组分占比、潜在氮饱和度、细颗粒当前氮库及氮饱和亏缺 |
由图 4可知,TN与NO3--N、WSN、MAON、NPI、NLI、NPMI、Ncur和Ndef均显著正相关;除TN外,NPMI还与NO3--N、WSN、NPI、NLI、Ncur和Ndef显著相关;Ndef与除BD、NH4+-N和MAON外的各指标均显著相关。这表明,NO3--N、WSN和MAON是反映表层土壤氮库变化的重要组分,NPMI可有效反映表层土壤氮库变化,表层土壤Ndef的变化主要来自于活性氮库。
|
(*、**、***分别表示在P < 0.05、P < 0.01、P < 0.01水平显著相关) 图 4 CU和CS处理表层土壤全氮及氮组分与氮库管理指数和氮饱和亏缺的相关矩阵图 |
土壤TN含量是评价农田土壤质量的重要指标之一。已有研究表明,长期覆膜增加了表层土壤有机质消耗[20]。秸秆还田可以通过提高土壤有机质回归来实现土壤碳氮供应和损失平衡[21]。本研究中,与CU处理相比,CS处理提高了不同土层的TN含量和TN储量,显著提高了20 ~ 40 cm土层的TN储量。这表明秸秆还田可以弥补长期覆膜造成的土壤氮库矿化损失,而连年翻耕形成的犁底层增加了20 ~ 40 cm土层的容重,导致该土层TN储量显著提高[22]。与2019年相比,CU和CS处理0 ~ 20和20 ~ 40 cm土层的TN含量在2020年有所降低,可能是2020年春玉米生育期降水较少对土壤有机质有激发效应,加剧了有机氮的矿化[22]。本研究中,与CU处理相比,CS处理显著提高了表层土壤的NPMI,这与王开悦等[12]的研究结果一致。与2020年相比,CS处理仅在2019年显著提高了表层土壤的NPMI,这可能是两年间降水量不同造成的。相关分析显示,NPMI与TN、NO3--N和WSN显著正相关,这在一定程度上验证了NPMI是综合反映土壤氮库数量和质量变化的重要指标[12]。
3.2 长期覆膜秸秆还田对土壤氮组分的影响长期覆膜秸秆还田对不同氮组分的影响有较大差异。无机氮是作物能够直接吸收利用的氮素,从无机氮组分来看,本研究中,与CU处理相比,CS处理在两年中均显著提高了表层土壤的NO3--N含量。这可能有两方面原因:一是CS处理秸秆中的有机氮矿化补充了部分NO3--N;二是有机碳占秸秆的大部分,覆膜提高了微生物活性,可能诱导微生物为分解秸秆而促进缓释氮肥中氮的释放[23]。有机氮是土壤氮素的主要存在形式,大多数地区表层土壤90% 以上的氮以有机形式与土壤有机碳耦合存在[24]。本研究中,与CU处理相比,CS处理在两年中表层土壤的WSN和HWN含量均有所提高。郭伟等[25]研究结果也显示,可溶性有机氮是秸秆还田配施化肥条件下影响作物产量的关键土壤性质之一。这可能是因为秸秆中含有大量的非结构性物质、半纤维素和纤维素,进入土壤后可以迅速释放大量的碳,并诱发溶解性碳氮的释放[26-27]。本研究中,与CU处理相比,CS处理仅在2019年显著提高表层土壤的WSN和HWN,这显然与两年间的降水量变化密切相关。
本研究中,与CU处理相比,CS处理在两年中均提高了表层土壤的PON和MAON含量。这是由于秸秆还田提高了氮的回归量,并促进了缓释肥中氮的释放。但也有研究表明,随着管理措施年限的增加,表层土壤有机氮含量总体不变,但活性有机氮组分在有机氮中的比例下降,即活性组分在向稳定态组分转化[28]。作为构成土壤氮库的主要组分,MAON很可能是有机氮矿化的主体[29]。相关分析显示,MAON与TN显著正相关,可能是由于MAON对TN的提高有直接贡献。此外,NO3--N、WSN也与TN显著正相关。总体上,土壤氮库构成复杂且各组分活性相异,不同管理措施下特异的土壤环境会影响土壤有机质的质量,进而影响土壤氮素在各组分间的分配。
3.3 长期覆膜秸秆还田对土壤氮饱和亏缺的影响本研究中,与CU处理相比,CS处理在两年中均提高了表层土壤的FPF占比,这与江恒[30]的研究结果相同。这是由于秸秆还田能够改善土壤结构,降低表层土壤容重,提高表层土壤大团聚体比例,降低表层土壤粉黏粒比例[30]。由于Nsat是根据FPF占比进行计算的,这也导致CS处理相对于CU处理在两年中表层土壤的Nsat均有一定程度的下降。本研究中,与CU处理相比,CS处理在两年中均显著提高了表层土壤的Ncur,原因可能在于两方面:一是FPF具有很大的比表面积和电荷密度等特性,能够较强地吸附土壤有机质[31];二是FPF土壤孔隙细小且易充水导致通气不畅,好气性微生物活动受到抑制,土壤有机质分解缓慢[32]。因此,FPF通常被认为是土壤有机质含量较高的组分。但这会导致理论上过高的测算Nsat和过低的测算Ndef。本研究中,与CU处理相比,CS处理在两年中表层土壤Ndef分别显著降低21.9% 和20.5%,原因有两方面:一是秸秆还田改善了土壤结构,降低了FPF占比,进而导致Nsat的降低;二是还田秸秆中含有的氮素可以补充部分土壤氮素损失。本研究中,连续秸秆还田6年和7年后,CS处理表层土壤的Ncur分别达到Nsat的42.8% 和48.6%,即每年土壤氮饱和度提高约5.8%,这表明覆膜秸秆还田不会在短期内导致土壤氮饱和,达到土壤氮饱和至少需要16年。
4 结论长期覆膜秸秆还田能够降低表层土壤容重,提高不同土层的TN含量和TN储量,显著提高表层土壤的NPMI,有效改善表层土壤氮库。长期覆膜秸秆还田在不同程度上提高表层土壤除NH4+-N外的各种氮组分,降低表层土壤潜在氮饱和度,并显著降低表层土壤的氮饱和亏缺。因此,覆膜秸秆还田是提高土壤质量和增加土壤氮养分的长期可持续管理措施。
| [1] |
Dorin B, Caron P. How to feed the world in 2050[M].
Food and Agriculture Organization of the United Nations, Rome, 2009
( 0) |
| [2] |
刘淑军, 李冬初, 黄晶, 等. 近30年来我国小麦和玉米秸秆资源时空变化特征及还田减肥潜力[J]. 中国农业科学, 2023, 56(16): 3140-3155 ( 0) |
| [3] |
Meng X P, Guo Z Y, Yang X N, et al. Straw incorporation helps inhibit nitrogen leaching in maize season to increase yield and efficiency in the Loess Plateau of China[J]. Soil and Tillage Research, 2021, 211: 105006 DOI:10.1016/j.still.2021.105006 ( 0) |
| [4] |
刘艳, 叶鑫, 包红静, 等. 秸秆还田配施化肥对春玉米耕层土壤理化性质及产量的影响[J]. 土壤, 2023, 55(2): 254-261 DOI:10.13758/j.cnki.tr.2023.02.004 ( 0) |
| [5] |
张斯梅, 段增强, 顾克军, 等. 稻秸还田下减量化施氮对小麦产量、养分吸收及土壤理化性质的影响[J]. 土壤, 2023, 55(3): 537-543 ( 0) |
| [6] |
张方方, 马宁博, 岳善超, 等. 基于不同方法的汉中盆地稻麦轮作土壤供氮能力评价[J]. 中国农业科学, 2020, 53(19): 3996-4009 ( 0) |
| [7] |
Haynes R. Labile organic matter fractions as central components of the quality of agricultural soils: An overview[J]. Advances in Agronomy, 2005, 85: 221-268 ( 0) |
| [8] |
Andrews M, Raven J A, Lea P J. Do plants need nitrate?The mechanisms by which nitrogen form affects plants[J]. Annals of Applied Biology, 2013, 163(2): 174-199 ( 0) |
| [9] |
濮超, 刘鹏, 阚正荣, 等. 耕作方式及秸秆还田对华北平原土壤全氮及其组分的影响[J]. 农业工程学报, 2018, 34(9): 160-166 ( 0) |
| [10] |
Blair G J, Lefroy R, Lisle L. Soil carbon fractions based on their degree of oxidation, and the development of a carbon management index for agricultural systems[J]. Australian Journal of Agricultural Research, 1995, 46(7): 1459 ( 0) |
| [11] |
焦欢, 李廷亮, 高继伟, 等. 培肥措施对复垦土壤轻重组有机碳氮的影响[J]. 水土保持学报, 2018, 32(5): 208–213, 221 ( 0) |
| [12] |
王开悦, 廖育林, 鲁艳红, 等. 超级稻田碳氮库管理指数在等养分不同有机物料处理下的动态变化[J]. 农业环境科学学报, 2023, 42(8): 1758-1767 ( 0) |
| [13] |
Zhang F F, Wei Y N, Bo Q F, et al. Long-term film mulching with manure amendment increases crop yield and water productivity but decreases the soil carbon and nitrogen sequestration potential in semiarid farmland[J]. Agricultural Water Management, 2022, 273: 107909 ( 0) |
| [14] |
Li Y, Song D P, Dang P F, et al. Combined ditch buried straw return technology in a ridge–furrow plastic film mulch system: Implications for crop yield and soil organic matter dynamics[J]. Soil and Tillage Research, 2020, 199: 104596 ( 0) |
| [15] |
王钰皓, 庞津雯, 卫婷, 等. 旱作农田覆膜和秸秆碳投入对土壤团聚特性及作物产量的影响[J]. 土壤学报, 2024, 61(1): 272-284 ( 0) |
| [16] |
张方方. 旱作春玉米农田土壤碳氮库对覆盖及有机物料配施的响应[D]. 杨凌: 西北农林科技大学, 2022.
( 0) |
| [17] |
鲍士旦. 土壤农化分析(3版)[M].
中国农业出版社, 北京, 2000
( 0) |
| [18] |
Ghani A, Dexter M, Perrott K W. Hot-water extractable carbon in soils: A sensitive measurement for determining impacts of fertilisation, grazing and cultivation[J]. Soil Biology and Biochemistry, 2003, 35(9): 1231-1243 ( 0) |
| [19] |
Wiesmeier M, Hübner R, Spörlein P, et al. Carbon sequestration potential of soils in southeast Germany derived from stable soil organic carbon saturation[J]. Global Change Biology, 2014, 20(2): 653-665 ( 0) |
| [20] |
Zhang F F, Li S Q, Yue S C, et al. The effect of long-term soil surface mulching on SOC fractions and the carbon management index in a semiarid agroecosystem[J]. Soil and Tillage Research, 2022, 216: 105233 ( 0) |
| [21] |
Wingeyer A B, Walters D T, Drijber R A, et al. Fall conservation deep tillage stabilizes maize residues into soil organic matter[J]. Soil Science Society of America Journal, 2012, 76(6): 2154-2163 ( 0) |
| [22] |
钱锐. 秸秆还田对覆膜春玉米农田土壤有机碳库及温室气体排放的影响[D]. 杨凌: 西北农林科技大学, 2021.
( 0) |
| [23] |
Ventrella D, Stellacci A M, Castrignanò A, et al. Effects of crop residue management on winter durum wheat productivity in a long term experiment in Southern Italy[J]. European Journal of Agronomy, 2016, 77: 188-198 ( 0) |
| [24] |
Nieder R, Benbi D K. Carbon and nitrogen in the terrestrial environment[M].
Springer Netherlands, Cham, 2008
( 0) |
| [25] |
郭伟, 李丹丹, 徐基胜, 等. 秸秆与有机无机肥配施对不同质地潮土土壤质量和小麦产量的影响[J]. 土壤学报, 2024, 61(5): 1360-1373 ( 0) |
| [26] |
Cotrufo M F, Soong J L, Horton A J, et al. Formation of soil organic matter via biochemical and physical pathways of litter mass loss[J]. Nature Geoscience, 2015, 8(10): 776-779 ( 0) |
| [27] |
De Troyer I, Amery F, Van Moorleghem C, et al. Tracing the source and fate of dissolved organic matter in soil after incorporation of a 13C labelled residue: A batch incubation study[J]. Soil Biology and Biochemistry, 2011, 43(3): 513-519 ( 0) |
| [28] |
Spargo J T, Cavigelli M A, Alley M M, et al. Changes in soil organic carbon and nitrogen fractions with duration of No-tillage management[J]. Soil Science Society of America Journal, 2012, 76(5): 1624-1633 ( 0) |
| [29] |
张方方, 宋启龙, 高娜, 等. 长期覆盖对黄土高原春玉米产量、土壤碳氮组分和碳氮库相关指数的影响[J]. 中国农业科学, 2025, 58(3): 507-519 ( 0) |
| [30] |
江恒. 有机物输入量对黑土结构性质及其季节性变化的影响[D]. 北京: 中国科学院大学, 2019.
( 0) |
| [31] |
Tiessen H, Stewart J W B. Particle-size fractions and their use in studies of soil organic matter: Ⅱ. cultivation effects on organic matter composition in size fractions[J]. Soil Science Society of America Journal, 1983, 47(3): 509-514 ( 0) |
| [32] |
刘树林, 王涛, 屈建军. 浑善达克沙地土地沙漠化过程中土壤粒度与养分变化研究[J]. 中国沙漠, 2008, 28(4): 611-616 ( 0) |
2. State Key Laboratory of Soil Erosion and Dryland Agriculture on Loess Plateau, Northwest A & F University, Yangling, Shaanxi 712100, China;
3. Institute of Eco-environment and Industrial Technology, Shanxi Agricultural University, Taiyuan 030024, China;
4. Carbon Neutrality Research Center, Shijiazhuang University, Shijiazhuang 050035, China
2025, Vol. 57



0)