2. 中国科学院大学, 北京 100049;
3. 河北省农林科学院滨海农业研究所, 河北唐山 063299
土壤结构是土壤中固、液、气三相空间排列所产生孔隙状况的综合体现,作为土壤物理、化学和生物过程相互转化的桥梁和前提,在调节土壤肥力与功能方面起着至关重要的作用[1-2]。土壤团聚体则是反映土壤结构稳定性、肥力和质量的重要指标,较好的团聚体稳定性能够为植被生长提供更适宜的水分、空气和养分等条件[3]。土壤团聚体作为土壤结构的基本单元,其形成和稳定通过土壤中矿物、金属氧化物、有机质和生物间的相互作用实现[4]。根据土壤团聚体粒径大小可将其分为大团聚体和微团聚体等[5]。土壤微团聚体主要由有机矿物复合体和微生物及其代谢物作用生成,随后在有机质、细根、菌丝和微生物分泌物的介入下,微团聚体与砂粒、粉砂粒结合成为土壤大团聚体[4]。平均重量直径(MWD)是评价团聚体分布及稳定性的重要指标,其值越大,表明团聚体结构越稳定[6]。成土母质、气候分布带、耕作方式、地面植被类型等都是影响土壤团聚体分布及其稳定性的重要因素[7-8]。
为改善土壤环境,提高土壤可耕性,众多学者研究了各种物料对土壤结构的影响。目前,主流的土壤结构改良剂主要包括天然矿物、有机物料和人工合成高分子聚合物等。天然矿物包括泥炭、石膏、沸石、蛭石、珍珠岩等[9];有机物料包括有机肥、生物质炭、秸秆类物质、多糖类物质等[9-11];人工合成高分子聚合物包括聚丙烯酰胺、聚乙烯醇、聚谷氨酸等[9, 12]。这些改良剂在提升土壤肥力、改善土壤结构等方面均取得了显著的成效,但针对重黏土等原生结构极差的土壤质地,已有的改良方案存在成本高、适用性差和产品生产力不足等问题[13]。鉴于此,在农业种植中被用作生物杀菌剂的哈茨木霉与植物促生剂的酶解鱼蛋白引起了研究者的关注[14-15]。王小姣等[16]在土壤中接种单细胞微生物,发现哈茨木霉等丝状微生物能够促进土壤大团聚体的形成。酶解鱼蛋白是海洋生物废弃物经低温酶解技术提炼出的含有丰富蛋白质、小分子多肽、多糖与壳聚寡糖的物质,其推广应用被认为可以改善长期施用化肥所造成的土壤环境恶化、农副产品安全威胁等问题[17]。由此可见,上述两种生物质物料具有改良土壤结构的潜力,但相关研究较少,缺乏足够的证据。此外,添加秸秆是一种常见的土壤改良手段,而关于玉米秸秆腐解过程中重黏土水稳性团聚体的变化鲜有报道。因此,本研究以金湖县重黏耕地为对象,研究玉米秸秆、哈茨木霉和酶解鱼蛋白单施与配施对供试土壤水稳性团聚体组成的影响,优选最佳改良方案,为重黏土团粒结构改良提供新的思路与理论基础。
1 材料与方法 1.1 供试材料供试土壤取自江苏省淮安市金湖县由河湖底泥形成的新增耕地(119.134110°E,32.928018°N)。土壤pH为7.69,电导率为248.53 μS/cm,有机质、全氮和全磷含量分别为16.33、0.66和0.30 g/kg,有效磷和速效钾含量分别为7.28和188.69 mg/kg。土壤砂粒、粉粒和黏粒质量分数分别为1.37%、24.20% 和74.23%,土壤质地为极重黏土。土壤大团聚体(粒径 > 0.25 mm)、微团聚体(粒径为0.053 ~ 0.25 mm)和黏粉粒(粒径 < 0.053 mm)质量分数分别为61.65%、18.04% 和20.31%。
供试生物质物料包括玉米秸秆、哈茨木霉和酶解鱼蛋白。玉米秸秆来自联丰农产品深加工场,粉碎为1 ~ 2 cm大小;哈茨木霉来自北海亦强生物科技有限公司,为T-22型,有效活菌数≥10亿/g。酶解鱼蛋白来自银海化工有限公司,总蛋白含量≥90%,小分子多肽≥80%,游离氨基酸≥10%。
1.2 试验设计与样品采集室内培养试验于2022年1月20日至7月20日进行,设置不施加物料(CK)、玉米秸秆(MS)、哈茨木霉(TH)、酶解鱼蛋白(FP)、哈茨木霉+酶解鱼蛋白(TH+FP)、玉米秸秆+哈茨木霉(MS+TH)、玉米秸秆+酶解鱼蛋白(MS+FP)和玉米秸秆+哈茨木霉+酶解鱼蛋白(MS+TH+FP)共8个处理,每个处理重复9次。试验中,玉米秸秆用量为9.0 t/hm2,,哈茨木霉和酶解鱼蛋白用量均为1.125 t/hm2。各处理均施入N 240 kg/hm2、P2O5 120 kg/hm2、K2O 80 kg/hm2作为基肥,即尿素(N,46%)、过磷酸钙(P2O5,12%)和氯化钾(K2O,60%)用量分别为521.74、1 000.00和133.33 kg/hm2。试验时,称取过2 mm筛的土样150 g,与设计的物料和基肥充分混匀后放入梅森瓶,加去离子水维持水分在田间持水量的65% ± 5%,于实验室25℃恒温培养箱中培养,并分别于45、90、180 d进行破坏性取样。
1.3 测定项目与方法土壤水稳性团聚体分为大团聚体(粒径 > 0.25 mm)、微团聚体(粒径为0.053 ~ 0.25 mm)和黏粉粒(粒径 < 0.053 mm),采集的土样根据其纹理掰成约8 mm的小块,用湿筛法进行测定[10]。团聚体稳定性用平均重量直径(MWD)表示。
| $ \text{MWD} =\sum\limits_{i = 1}^n {{D_i}{W_i}} $ | (1) |
式中:Di为i级土壤团聚体平均直径(mm);Wi为i级土壤团聚体的质量分数(%)。
各级团聚体有机碳和总有机碳含量采用重铬酸钾氧化–外加热法测定[18]。团聚体有机碳对总有机碳含量的贡献率计算方方法如公式(2)。
| $ \text{CR}_{i }=\frac{{{W_i} \times {\text{SOC}}}}{{{\text{SO}}{{\text{C}}_{\text{T}}}}}×100% $ | (2) |
式中:CRi为i粒级团聚体有机碳对总有机碳含量的贡献率(%);SOCi为i粒级有机碳含量(g/kg);SOCT为全土总有机碳含量(g/kg)。
1.4 数据处理与分析本研究数据处理、分析、绘图均在R 4.3.1中完成。其中,采用单因素方差分析(One-way ANOVA) 及最小显著性差异法(LSD)进行各处理间差异显著性检验,显著性水平为P < 0.05;采用皮尔逊(Pearson)法进行团聚体分布及稳定性与有机碳各指标间的相关性分析;采用冗余分析探究有机碳对团聚体分布及稳定性的影响。文中所有图表内的数据均以平均值±标准差的形式表示。
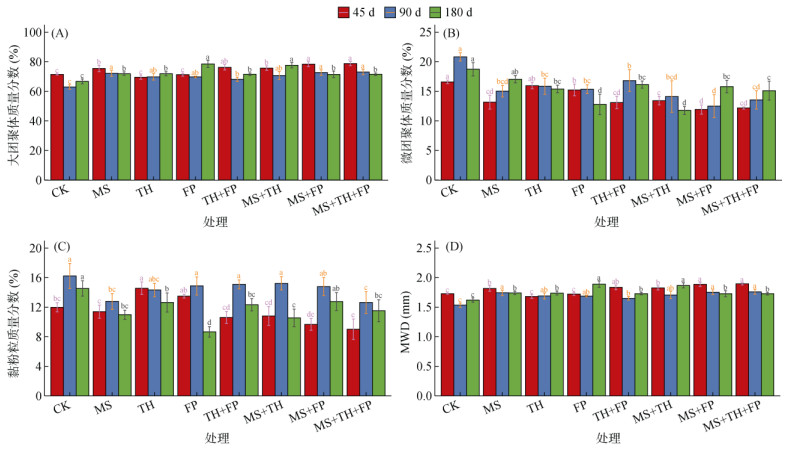
2 结果与分析 2.1 生物质物料添加条件下土壤水稳性团聚体分布及稳定性变化不同处理土壤水稳性团聚体分布及稳定性差异显著(图 1,P < 0.05)。与CK处理相比,培养至90 d和180 d时所有处理的大团聚体含量与团聚体稳定性(MWD)均显著提高;FP与MS+TH处理在180 d时的团聚体稳定性分别提高16.55% 和15.25%,显著高于其他处理。在整个培养周期内,CK、FP、TH+FP与MS+TH处理呈现大团聚体含量先减后增、微团聚体与黏粉粒含量先增后减的规律;有秸秆添加的处理(除MS+TH外)呈现大团聚体含量持续减少、微团聚体含量持续增加且黏粉粒含量先增后减的规律;仅TH处理呈现大团聚体含量持续增加、微团聚体与黏粉粒含量持续减少的规律。各处理的团聚体稳定性与大团聚体含量的变化规律一致。
|
(图中小写字母表示同一培养时间下不同处理间的差异在P < 0.05水平显著;下同) 图 1 生物质物料添加条件下的大团聚体(A)、微团聚体(B)、黏粉粒(C)质量分数及MWD (D)变化 Fig. 1 Changes of macroaggregates (A), microaggregates (B), clay and silt (C) contents, and MWD (D) under application of biomass materials |
添加生物质物料后,不同处理土壤总有机碳含量差异显著(表 1,P < 0.05)。培养至45 d时,MS+TH、MS+TH+FP处理的总有机碳含量较CK处理分别显著提高7.63% 和7.32%;培养至90 d和180 d时,秸秆添加所有处理(MS、MS+TH、MS+FP和MS+ TH+FP)的总有机碳含量较CK处理分别显著提高9.68% ~ 14.76% 和7.47% ~ 10.97%,而在整个培养周期内,无秸秆添加所有处理(TH、FP、TH+FP)的总有机碳含量较CK处理均无显著变化。因此,有无秸秆添加影响了各处理总有机碳的变化。
|
|
表 1 各处理不同培养时间的总有机碳含量(g/kg) Table 1 Contents of total organic carbon under different treatments at various cultivation times |
不同处理土壤各粒径团聚体有机碳含量差异显著(表 2,P < 0.05)。培养至45 d时,MS+TH处理的大团聚体有机碳含量较CK处理显著提高8.20%;秸秆添加所有处理(MS、MS+TH、MS+FP和MS+TH+FP)的土壤微团聚体有机碳含量均较CK处理显著提高。培养至90 d时,MS、MS+FP、MS+TH+FP处理的微团聚体有机碳含量较CK处理分别显著提高6.96%、8.33% 和8.52%,而各处理的土壤大团聚体与黏粉粒有机碳含量均较CK处理无显著变化。培养至180 d时,TH+FP处理的大团聚体有机碳含量与TH处理的黏粉粒有机碳含量较CK处理显著提高,同时,MS、MS+TH、MS+FP处理的大团聚体有机碳含量较CK处理显著提高5.56%、4.65% 和11.83%,MS+TH、MS+FP、MS+TH+FP处理的黏粉粒有机碳含量较CK处理显著提高15.97%、14.57% 和13.95%。由此可见,秸秆添加显著提高了各粒径团聚体有机碳含量,哈茨木霉单施或与酶解鱼蛋白配施仅分别提高了黏粉粒和大团聚体有机碳含量。
|
|
表 2 各处理不同培养时间的团聚体有机碳含量(g/kg) Table 2 Contents of organic carbon in different levels of aggregates under different treatments at various cultivation times |
整体上,总有机碳含量从培养45 ~ 90 d显著降低,从90 ~ 180 d无显著变化,各处理180 d时的有机碳含量较45 d时均显著降低(表 1);不同粒径团聚体中有机碳含量表现为:微团聚体 > 大团聚体 > 黏粉粒(表 2)。
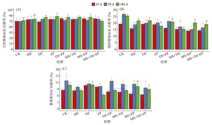
2.3 各处理团聚体有机碳对总有机碳含量的贡献由图 2可知,不同处理土壤各级团聚体有机碳对总有机碳含量的贡献率差异显著(P < 0.05)。随着培养时间的增加,各处理土壤大团聚体有机碳对总有机碳含量的贡献率均较CK处理提高,微团聚体与黏粉粒有机碳对总有机碳含量的贡献率则相反。培养至180 d时,FP、TH+FP、MS+TH与MS +FP处理的大团聚体有机碳对总有机碳含量的贡献率较CK处理显著提高14.88%、11.52%、11.80% 和11.62%;所有处理的微团聚体有机碳对总有机碳含量的贡献较CK处理均显著降低,其中FP与MS+TH处理降幅最大,分别降低30.60% 和39.40%;除TH和MS+FP处理外,其余处理黏粉粒有机碳对总有机碳含量的贡献率较CK处理均显著降低,降幅最大仍为FP与MS+TH处理,分别降低41.39% 和22.18%。综上,单施酶解鱼蛋白和玉米秸秆配施哈茨木霉对各级团聚体有机碳贡献率的影响大于其他处理。
|
图 2 生物质物料添加条件下的大团聚体(A)、微团聚体(B)、黏粉粒(C)有机碳对土壤总有机碳含量的贡献 Fig. 2 SOC contributions in macroaggregates (A), microaggregates (B), clay and silt (C) to total SOC under biomass material application conditions |
通过冗余分析(图 3A)可以进一步探究整个培养周期内有机碳对团聚体分布及稳定性的影响,结果发现,总有机碳、团聚体有机碳及其对总有机碳含量的贡献率对团聚体分布及稳定性有显著影响(P < 0.001),累计解释率为99.36%,其中RDA前两个排序轴的特征值分别解释了88.95% 和10.41% 的团聚体分布及稳定性差异,解释量最高的3个指标分别为微团聚体有机碳对总有机碳含量的贡献率(88.09%,P < 0.001)、黏粉粒有机碳对总有机碳含量的贡献率(82.72%,P < 0.001)和微团聚体有机碳含量(40.33%,P < 0.001)。有秸秆添加处理主要分布在第一、三、四象限,无秸秆添加处理主要分布在第二、三、四象限,两者有所分开。结合相关性分析(图 3B),发现MWD与大团聚体含量显著正相关(P < 0.001),与微团聚体含量和黏粉粒含量显著负相关(P < 0.001);MWD和大团聚体含量与有机碳各指标间的相关性呈现一致,均表现为与大团聚体有机碳含量(P < 0.01)、微团聚体有机碳含量(P < 0.001)、黏粉粒有机碳含量(P < 0.05)、总有机碳含量(P < 0.01)和大团聚体有机碳对总有机碳含量的贡献率(P < 0.05)显著正相关,与微团聚体有机碳对总有机碳含量的贡献率(P < 0.001)和黏粉粒有机碳对总有机碳含量的贡献率(P < 0.001)显著负相关。
|
(图中*、**、***分别表示在P < 0.05、P < 0.01、P < 0.001水平显著相关;MS.F和MS.T分别表示无秸秆添加处理和有秸秆添加处理;Macroaggregate、Microaggregate和Clay-silt分别表示大团聚体、微团聚体和黏粉粒的含量;Macro.SOC、Micro.SOC、Cas.SOC和Total.SOC分别表示大团聚体、微团聚体、黏粉粒和总有机碳的含量;Co.C.Ma、Co.C.Mi和Co.C.Cas分别表示大团聚体有机碳、微团聚体有机碳和黏粉粒有机碳对总有机碳含量的贡献率) 图 3 团聚体分布及稳定性与有机碳各指标间的冗余分析(A)和相关性分析(B) Fig. 3 Redundancy analyses (A) and Pearson correlation coefficients (B) between distribution and stability of aggregates with various indicators of organic carbon |
以往的研究表明,土壤中大团聚体的数量越多,土壤结构越稳定[19]。本研究中,供试重黏土团聚体以 > 0.25 mm粒级的大团聚体为主,不同生物质物料施用均能够促进大团聚体的形成,且培养90 d和180 d时,单施哈茨木霉、酶解鱼蛋白和两者配施处理均显著提高了土壤大团聚体含量(图 1A),这一现象与Abdelhameed和Metwally[20]及王小姣等[16]的研究结果相似。这是因为一方面酶解鱼蛋白自身富含蛋白质等团聚体胶结物质,另一方面其施入土壤能够促进产胞外聚合物(Extracellular polymeric substances,EPS)丰富的微生物生长,如芽胞杆菌[21],其分泌的EPS-多糖、EPS-蛋白质等是团聚体形成与稳定的重要胶结剂[4, 16]。哈茨木霉虽然能够在土壤中形成菌丝体,通过菌丝缠绕土壤颗粒和有机物形成团聚体,但仅被菌丝缠绕的团聚体易受外力干扰而崩解,其稳定性弱于由EPS黏结的团聚体[16],因此,在培养180 d时单施酶解鱼蛋白处理大团聚体含量的提升显著高于单施哈茨木霉处理(图 1A)。而两者配施处理的团聚体稳定性显著低于单施酶解鱼蛋白处理(图 1D),可能是因为哈茨木霉与产EPS丰富的微生物竞争底物,导致EPS分泌降低,团聚作用减弱。
在整个培养周期内,有玉米秸秆添加的处理均显著提高了土壤大团聚体含量(图 1A),与王威等[22]和王钰皓等[11]的研究结果一致。这是由于秸秆吸附土壤中的细小黏粒形成大团聚体,同时秸秆腐解形成的颗粒有机质能够充当团聚体的核心[23]。随着培养时间的增加,除MS+TH处理外,有秸秆添加的所有处理团聚体稳定性逐渐降低。在石艳香等[24]的研究中也发现了相同的现象,这可能是因为大颗粒秸秆分解为小颗粒引起了团聚体的崩解[23]。也有研究表明,新形成的小颗粒具有更高的有机碳含量和更大的黏结能力[25],更容易“黏”在真菌菌丝网络中,重新形成大团聚体[4]。因此,从培养90 ~ 180 d,MS+TH处理的大团聚体含量不减反增(图 1A)。
3.2 生物质物料施用对土壤有机碳含量及分布特征的影响土壤有机碳既存在于团聚体中,也是团聚体的胶结物质,能够与黏粒、多价阳离子形成复合体,成为团聚体的核心,其分解与积累会影响团聚体的崩解与形成[4, 26]。大量研究表明,有机碳主要分布在大团聚体和微团聚体(> 0.053 mm)中[24, 27],本研究结果与之一致(表 2),表明土壤团聚体结构对有机碳具有重要的保护作用。从培养45 ~ 90 d,各处理的总有机碳含量均有不同程度的降低且45 d时的有机碳含量均显著高于180 d时(表 1),这可能是因为有机碳被微生物分解利用,造成了矿化损失[24]。郎冬梅等[28]和李艾蒙等[29]通过室内培养试验发现,无论是否有外源有机物料添加,培养90 d后,土壤有机碳的矿化速率均较低且随时间的增加逐渐趋向于零,因此,本研究中各处理的土壤有机碳含量从90 ~ 180 d并未出现显著变化(表 1)。
长期秸秆还田对土壤总有机碳及团聚体赋存有机碳含量具有显著影响[27]。本研究中,在整个培养周期内,有玉米秸秆添加各处理的总有机碳及各级团聚体有机碳含量较无秸秆添加各处理有不同程度的提高(表 1),表明外源秸秆输入对土壤中有机碳积累有积极影响,这与王钰皓等[11]的研究结果一致。培养至180 d时,TH+FP处理的大团聚体有机碳含量较CK、TH与FP处理显著提高(表 2),这是因为该处理大团聚体含量在整个培养周期内均显著提高(图 1A),有机碳被大团聚体保护并在其中积累[26]。
团聚体有机碳对总有机碳含量的贡献由团聚体分布及团聚体有机碳含量共同决定[30]。本研究结果表明,各处理中大团聚体有机碳贡献率最高,其次为微团聚体,黏粉粒有机碳贡献率最低,这与石艳香等[24]的研究结果一致。大团聚体占比最大且有机碳含量较高(图 1A,表 2),因此其对总有碳的贡献率较高;虽然微团聚体的有机碳含量最高(表 2),但其占比与黏粉粒相近,均远低于大团聚体(图 1),因此其对总有碳的贡献率介于大团聚体和黏粉粒之间。
3.3 有机碳对土壤团聚体形成与稳定的影响土壤团聚体中的有机碳主要来源于动植物残体,有机残体分解过程中产生的有机颗粒与土壤矿物结合形成大团聚体和微团聚体,影响团聚体的形成与周转[4, 26]。有机碳能够增强团聚体的胶结作用,而团聚体结构也会为其提供物理保护,两者密不可分[26]。本研究发现,MWD与总有机碳和各级团聚体有机碳含量均显著正相关(图 3B),这与江可等[31]的研究结果一致,表明有机碳作为胶结物质能够促进团聚体的形成与稳定。同时,MWD与大团聚体有机碳对总有机碳含量的贡献率显著正相关,与微团聚体和黏粉粒有机碳对总有机碳含量的贡献率显著负相关(图 3B);在冗余分析中,这3项有机碳指标对团聚体的分布及稳定性影响显著(图 3A),表明生物质物料添加可能使微团聚体和黏粉粒中的有机碳向大团聚体中转移(图 2),进而促进大团聚体形成并提高团聚体的稳定性[26]。也有研究表明,外源有机物料在分解过程中首先生成较大的颗粒有机碳,以颗粒有机碳为核心形成的大团聚体结构能够为其提供保护,减缓其被微生物分解利用[32-33],有机碳首先在大团聚体内积累并促进大团聚体形成。
4 结论生物质物料的添加改变了重黏土水稳性团聚体的组成,提升了团聚体稳定性及大团聚体有机碳对总有机碳含量的贡献。有机碳对团聚体的分布及稳定性有显著影响,总有机碳和各级团聚体有机碳含量与团聚体稳定性显著正相关。培养至180 d时,单施酶解鱼蛋白处理表现较好,大团聚体含量与团聚体稳定性均为所有处理中最高;玉米秸秆配施哈茨木霉处理的大团聚体有机碳含量显著提高且具有较高的团聚体稳定性,有利于碳的固存。可见,单施酶解鱼蛋白和玉米秸秆配施哈茨木霉是改善重黏土团粒结构的优选模式。
| [1] |
Pagliai M, Vignozzi N. The soil pore system as an indicator of soil quality[J]. Advances in GeoEcology, 2002, 35: 69-80 ( 0) |
| [2] |
李保国, 任图生, 张佳宝. 土壤物理学研究的现状、挑战与任务[J]. 土壤学报, 2008, 45(5): 810-816 DOI:10.3321/j.issn:0564-3929.2008.05.007 ( 0) |
| [3] |
张钦弟, 刘剑荣, 杨磊, 等. 半干旱黄土区植被恢复对土壤团聚体稳定性及抗侵蚀能力的影响[J]. 生态学报, 2022, 42(22): 9057-9068 ( 0) |
| [4] |
刘亚龙, 王萍, 汪景宽. 土壤团聚体的形成和稳定机制: 研究进展与展望[J]. 土壤学报, 2023, 60(3): 627-643 ( 0) |
| [5] |
Tisdall J M, Oades J M. Organic matter and water-stable aggregates in soils[J]. Journal of Soil Science, 1982, 33(2): 141-163 ( 0) |
| [6] |
van Bavel C H M. Mean weight-diameter of soil aggregates as a statistical index of aggregation[J]. Soil Science Society of America Journal, 1950, 14(C): 20-23 ( 0) |
| [7] |
何洁, 严友进, 易兴松, 等. 喀斯特地区土壤异质性及其与植物相互作用[J]. 应用生态学报, 2021, 32(6): 2249-2258 ( 0) |
| [8] |
Caesar-TonThat T, Sainju U M, Wright S F, et al. Long-term tillage and cropping effects on microbiological properties associated with aggregation in a semi-arid soil[J]. Biology and Fertility of Soils, 2011, 47(2): 157-165 ( 0) |
| [9] |
郭富强. 硅轻石对猕猴桃园黏重土壤的改良研究[D]. 杨凌: 西北农林科技大学, 2019.
( 0) |
| [10] |
任立军, 李金, 邹洪涛, 等. 生物有机肥配施化肥对设施土壤养分含量及团聚体分布的影响[J]. 土壤, 2023, 55(4): 756-763 DOI:10.13758/j.cnki.tr.2023.04.008 ( 0) |
| [11] |
王钰皓, 庞津雯, 卫婷, 等. 旱作农田覆膜和秸秆碳投入对土壤团聚特性及作物产量的影响[J]. 土壤学报, 2024, 61(1): 272-284 ( 0) |
| [12] |
史文娟, 梁嘉平, 陶汪海, 等. 添加γ-聚谷氨酸减少土壤水分深层渗漏提高持水能力[J]. 农业工程学报, 2015, 31(23): 94-100 ( 0) |
| [13] |
孙益权, 王美艳, 张龙, 等. "泡沫砂" 改良黏重黄壤孔隙结构的粒径效应[J]. 土壤, 2020, 52(3): 597-602 DOI:10.13758/j.cnki.tr.2020.03.025 ( 0) |
| [14] |
Zhu L X, Zhao X, Wang C H, et al. Trichoderma affects plant growth and soil ecological environment: A mini-review[J]. Zemdirbyste-Agriculture, 2022, 109(4): 341-348 ( 0) |
| [15] |
Qi R X, Lin W, Ma H, et al. Combining multiple Bacillus spp. with fish protein hydrolysates mitigates root rot (Fusarium solani) and improves cucumber seedlings growth and substrate nutrients[J]. Journal of Applied Microbiology, 2022, 132(4): 3058-3072 ( 0) |
| [16] |
王小姣, 李梦雅, 王文丽, 等. 接种单细胞微生物对土壤团聚体形成及其稳定性的影响[J]. 土壤通报, 2021, 52(2): 355-360 ( 0) |
| [17] |
周雄, 黄吉人. 鱼蛋白氨基酸水溶肥料的制备及应用研究[J]. 肥料与健康, 2021, 48(3): 52-55 ( 0) |
| [18] |
鲍士旦. 土壤农化分析(3版)[M].
中国农业出版社, 北京, 2000
( 0) |
| [19] |
马东方, 袁再健, 吴新亮, 等. 华南花岗岩侵蚀区不同植被类型坡面土壤有机碳分布和团聚体稳定性[J]. 水土保持学报, 2020, 34(5): 137-144 ( 0) |
| [20] |
Abdelhameed R E, Metwally R A. Assessment of beneficial fungal microorganism's bio-efficacy in stimulating morphological and physiological parameters of Allium cepa plants grown in soil amended with fish wastes[J]. BMC Plant Biology, 2022, 22(1): 617 ( 0) |
| [21] |
Li J Y, Zhao X, Bailey L S, et al. Identification and characterization of proteins, lipids, and metabolites in two organic fertilizer products derived from different nutrient sources[J]. Applied Biological Chemistry, 2021, 64(1): 72 ( 0) |
| [22] |
王威, 唐蛟, 殷金忠, 等. 秸秆全量还田配施沼液对砂姜黑土水稳性团聚体及结合有机碳的影响[J]. 土壤, 2023, 55(1): 53-61 DOI:10.13758/j.cnki.tr.2023.01.007 ( 0) |
| [23] |
Six J, Elliott E T, Paustian K. Soil macroaggregate turnover and microaggregate formation: A mechanism for C sequestration under no-tillage agriculture[J]. Soil Biology and Biochemistry, 2000, 32(14): 2099-2103 ( 0) |
| [24] |
石艳香, 迟凤琴, 张久明, 等. 不同施肥处理黑土中添加秸秆对土壤团聚体稳定性及有机碳贡献率的影响[J]. 土壤通报, 2023, 54(4): 856-863 ( 0) |
| [25] |
Lehmann J, Kinyangi J, Solomon D. Organic matter stabilization in soil microaggregates: Implications from spatial heterogeneity of organic carbon contents and carbon forms[J]. Biogeochemistry, 2007, 85(1): 45-57 ( 0) |
| [26] |
周家昊, 褚军杰, 孙万春, 等. 有机碳对土壤团聚体形成的影响研究进展[J]. 河南农业科学, 2023, 52(11): 10-20 ( 0) |
| [27] |
窦莉洋. 秸秆还田对不同类型土壤团聚体稳定性、有机碳含量及其分布的影响[D]. 沈阳: 沈阳农业大学, 2018.
( 0) |
| [28] |
郎冬梅, 宫诚, 朱紫檀, 等. 麦秸配施纤维素降解细菌对果园土壤有机碳库及生化特性的影响[J]. 土壤通报, 2023, 54(2): 317-327 ( 0) |
| [29] |
李艾蒙, 李慧, 裴久渤, 等. 玉米秸秆施用对棕壤有机碳激发效应及温度敏感性的影响[J]. 农业环境科学学报, 2019, 38(12): 2788-2796 ( 0) |
| [30] |
江仁涛, 李富程, 沈凇涛. 不同年限红柳恢复川西北高寒沙地对土壤团聚体和有机碳的影响[J]. 水土保持学报, 2018, 32(1): 197-203 ( 0) |
| [31] |
江可, 贾亚男, 杨琰, 等. 西南岩溶区土地利用变化对团聚体稳定性及其有机碳的影响[J]. 环境科学, 2024, 45(5): 2840-2847 ( 0) |
| [32] |
Six J, Elliott E T, Paustian K, et al. Aggregation and soil organic matter accumulation in cultivated and native grassland soils[J]. Soil Science Society of America Journal, 1998, 62(5): 1367-1377 ( 0) |
| [33] |
彭新华, 张斌, 赵其国. 土壤有机碳库与土壤结构稳定性关系的研究进展[J]. 土壤学报, 2004, 41(4): 618-623 ( 0) |
2. University of Chinese Academy of Sciences, Beijing 100049;
3. Institutes of Coastal Agriculture, Hebei Academy of Agriculture and Forestry Sciences, Tangshan, Hebei 063299, China
2025, Vol. 57



0)