2. 中国科学院大学, 北京 100049;
3. 波恩大学作物科学与资源保护研究所, 波恩 53115;
4. 南京林业大学化学工程学院, 南京 210037
土壤是作物生长发育的物质基础,土壤质量的高低不仅直接决定着作物的稳产增产而且关乎土壤生态系统功能的维持。土壤质量作为土壤物理、化学和生物性质相互作用的综合体现,其评价体系不再是单一的土壤指标的描述,而是朝着全方位指标化、定量化发展[1]。土壤质量指数法因其适应性广、可操作性强等优点在土壤质量评价过程中被广泛使用。然而土壤质量评价指标众多,研究者很难同时对所有土壤质量指标进行测定分析。构建最小数据集(MDS)可以通过精简数据,降低数据分析的难度,因此被广泛运用于土壤质量评价[2]。MDS的构建方法主要分为专家经验法和多元统计法两类,其中多元统计法中的主成分分析在农田土壤质量评价中应用较为广泛[3]。如袁野等[4]通过主成分分析与Norm值相结合的方法对测定的26个土壤理化及生物学指标进行筛选,最终确定6个主要指标构建MDS,准确评价了35年间长期不同耕作方式对黑土农田土壤质量的影响。李雨晨等[5]采用主成分分析选取全氮含量、饱和导水率、脲酶活性、过氧化氢酶活性4个指标构建MDS并对土壤质量指数进行分级,发现宁都区果园优化整地模式下土壤质量指数最高。目前,MDS指标筛选和构建尚无统一的方法,不同方法构建出的MDS存在较大差异,因此选择合适的构建方法与指标对土壤质量评价至关重要。
施肥是改善土壤肥力、提高作物产量的关键因素。然而长期过量施用化肥导致土壤酸化、团粒结构破坏、肥力下降、微生物活性降低、微生物多样性减少甚至丧失[6-7]等一系列土壤退化问题,严重影响了作物的产量和品质。因此在现代农业生产中,为了调节土壤养分平衡,实现土地的用养结合,在施用化肥基础上增施有机物料成为有效的解决方法[8]。Schlüter等[9]发现有机肥的施用可以通过增加土壤有机质含量,提升土壤腐殖化程度,改变土壤孔隙大小分布和连通性;长期施用有机肥引起的土壤有机质含量和组成的变化能显著增加土壤微生物生物量和土壤酶活性[10],同时伴随着土壤微生物群落物种丰度和群落功能的变化[11]。但现有的研究主要聚焦于不同施肥处理对某些单一类型的土壤肥力指标的影响,或比较两两之间的关系,鲜有结合土壤物理、化学和生物性质综合评价长期不同施肥对土壤质量影响的研究。
潮土作为我国主要的粮食主产区土壤之一,在其养分的形成和保育过程中,人为耕作和种植制度是关键的影响因素[12]。因此,本研究以封丘长期定位施肥试验潮土为研究对象,综合土壤物理、化学、生物指标,采用主成分分析结合Norm值的方法构建两种MDS,再分别通过线性和非线性评分方法计算相对应的土壤质量指数(SQI),并通过与基于总数据集的SQI以及作物产量进行相关性分析,对不同施肥处理潮土土壤质量进行综合评价,以期为该地区选择合理的施肥模式以及促进农田生态系统可持续发展提供科学依据。
1 材料与方法 1.1 供试土壤供试土壤采集于位于中国科学院封丘农业生态实验站的有机物料提升潮土地力长期定位施肥试验点(35°00'N,114°24'E)。该地区属于暖温带大陆性季风气候,年均气温为13.9 ℃,年均降水量为615.1 mm。土壤为黄河冲积物发育的潮土,土壤质地为砂壤土[13]。试验初始时土壤有机碳含量为5.8 g/kg,全氮含量为0.56 g/kg,全磷(以P2O5计)含量为0.88 g/kg,全钾(以K2O计)含量为29. 3 g/kg,pH(土水质量比1∶2.5)为8.5,土壤养分供应特点为缺氮、缺磷、富钾[13]。
1.2 试验设置该长期定位试验始于2011年夏季,采用夏玉米–冬小麦一年两熟轮作。在随机选择的16个小区上设置了4种不同施肥处理:不施肥处理(CK)、常规施化肥处理(NPK)、菇渣化肥配施处理(MRF)和鸡粪化肥配施处理(CMF),每个处理4个重复,小区面积为30 m2。试验施肥设置和施用量详见姚童言等[13]。
1.3 测定项目及方法2017年小麦季收获后,于各小区采集小麦样品,风干脱粒后测定其产量。以“S”形取样法采集各小区0 ~ 10 cm的耕层土壤。土壤样品采集后,一部分保存于4 ℃冰箱,用于测定土壤速效养分及酶活性;一部分保存于–20 ℃冰箱,用于提取土壤DNA;剩余部分风干后用于测定其他土壤指标。除了微生物多样性指标,其余所有土壤指标的测定方法均参考自《土壤农化分析》第三版[14]的常规方法。土壤细菌和真菌多样性采用高通量测序技术测定,通过计算Chao1指数和香农指数来表示其多样性[15]。
1.4 总数据集、重要数据集和最小数据集构建本研究首先综合选取能够反映土壤物理、化学及生物性质的指标共24项(表 1),建立土壤质量总数据集(Total data set,TDS),并利用方差分析得到包含19项指标的重要数据集(Important data set,IDS) (表 2),然后利用主成分分析(PCA)与Norm值相结合的方法构建最小数据集(Minimum data set,MDS)。MDS构建具体方法如下:首先将IDS的所有指标通过Z-score进行标准化,并进行主成分分析,选取特征值≥1的主成分;然后将各指标因子载荷大于0.5的分为一组,如果同一指标在不同主成分中的因子载荷均大于0.5,则将其并入与其他指标相关系数较低的一组[16];最后根据公式(1)计算各指标的Norm值,选取各组中Norm值最大值排名前10% 的指标,若同一组内保留多个指标时,根据相关性确定,如指标间显著相关,则选择最大Norm值指标进入MDS,反之,则均可保留[17]。
| $ {N_{ik}} = \sqrt {\mathop \sum \limits_{i = 1}^k \left( {u_{ik}^2 \times {{\text{λ }}_k}} \right)} $ | (1) |
|
|
表 1 不同施肥处理下土壤物理、化学、生物指标及作物产量指标 Table 1 Soil physical, chemical, biological indexes and crop yield under different fertilization treatments |
|
|
表 2 重要数据集(IDS)土壤指标相关系数矩阵 Table 2 Correlation coefficient matrix of soil indexes of IDS |
式中:Nik表示第i个指标在特征值≥1的前k个主成分的Norm值;uik表示第i个指标在第k个主成分中的因子载荷;λk表示第k个主成分的特征值。
本研究利用以上主成分分析方法,通过将指标进行不同分类,分别构建出两个MDS。MDS1将包含19项指标的IDS集进行主成分分析,共筛选出前4组特征值大于1的主成分,累计贡献率达85.5%(表 3)。根据各指标Norm值结合各主成分中所选指标的相关性(表 2),将所有指标分为4组(表 3),第一组包括pH、SOC、TN、TP、AP、AK、DHA、UE、ALP、TE、MBC和FA;第二组包括SP和HU;第三组包括BD和FHC;第四组包括FCI和FSI。由于第一组各指标之间显著相关,选取Norm值最大的TP进入MDS;同样地,第二、三、四组也选取Norm值最大的SP、FHC和FCI进入MDS。因此,TP、SP、FHC和FCI构成反映土壤综合指标的MDS1。MDS2将反映土壤物理、化学和生物性质的指标进行分类,并分别进行PCA分析,筛选出特征值大于1的主成分,其中,物理指标筛选出1个主成分,化学指标和生物指标各筛选出2个主成分,物理、化学、生物指标的累积贡献率分别为94.0%、83.3% 和84.0%(表 4)。此外,筛选出各主成分中载荷大于0.5的指标,在物理指标中,由于各指标之间显著相关(表 2),选择Norm值最大的FHC进入MDS;在化学指标中,第一主成分内选取Norm值最大的TN进入MDS,第二主成分中选取NO3–-N进入MDS;在生物指标中,分别选取第一主成分中Norm值最大的DHA进入MDS,第二主成分中选取FSI进入MDS。因次,FHC、TN、NO3–-N、DHA和FSI构成反映土壤物理、化学、生物指标的MDS2。
|
|
表 3 基于PCA分析的MDS1各指标载荷矩阵和Norm值 Table 3 Load matrix and Norm value of MDS1 based on PCA analysis |
|
|
表 4 基于PCA分析的MDS2各指标载荷矩阵和Norm值 Table 4 Load matrix and Norm value of MDS2 based on PCA analysis |
将确定的MDS各指标数值通过线性和非线性评分模型标准化为0 ~ 1的无量纲值,其中线性评分模型见公式(2),非线性评分模型见公式(3):
| $ {P_{{\text{L}}i}} = \frac{{{P_i} - {\text{min}}\left( {{P_i}} \right)}}{{\max \left( {{P_i}} \right) - {\text{min}}\left( {{P_i}} \right)}} $ | (2) |
式中:PLi为线性标准化的土壤指标i;Pi、max(Pi)和min(Pi)分别为土壤指标的实际值、最大值和最小值[18]。
| $ {P_{{\text{NL}}i}} = a/\left[ {1 + {{\left( {{P_i}/{P_0}} \right)}^b}} \right] $ | (3) |
式中:PNLi为非线性标准化的土壤指标i;Pi和P0分别为土壤指标的实际值和平均值;a表示最大得分,被确定为1;b表示方程的斜率,“越多越好”指标为–2.5,“越少越好”指标为2.5[19],本文中“越少越好”指标为pH、BD和HU,其余指标均为“越多越好”。
根据主成分分析计算的各指标的公因子方差占所有指标公因子方差之和的比例计算各指标的权重[20],并根据公式(4)分别计算基于TDS、MDS1和MDS2的土壤质量指数(SQI)。
| $ {\text{SQI}} = \mathop \sum \limits_{i = 1}^n {W_i} \times {S_i} $ | (4) |
式中:SQI为土壤质量指数;Wi为第 i项土壤指标的权重;Si为第i项土壤指标的评分;n为参评的土壤指标数量。
1.6 数据处理与统计分析采用Office 2016进行数据的初始处理。采用SPSS 25对数据进行相关性分析和单因素方差分析(One-way ANOVA),并用邓肯检验(Ducan)进行多重比较。采用R语言的psych包进行主成分分析。采用Office 2016和Origin2017进行作图。
2 结果与分析 2.1 长期不同施肥对土壤物理、化学、生物性质以及作物产量的影响由表 1可以看出,长期不同施肥显著影响了土壤SP、BD和FHC这3个反映土壤物理性质的指标。MRF和CMF处理的SP分别为47.52% 和47.82%,显著高于CK和NPK处理;MRF处理的土壤BD和FHC分别为4种施肥处理中的最小和最大值,表明菇渣和化肥配施处理能够显著提升土壤的物理性质。
对于11个土壤化学指标,除了土壤TK、HA含量在4种不同施肥处理间无显著性差异,其余9个指标均受到4种不同施肥处理的显著影响(表 1)。土壤TN和TP含量均表现为MRF > CMF > NPK > CK,各处理间差异显著;SOC和AP含量均表现为MRF处理显著高于CMF处理,并且两处理均显著高于NPK和CK处理;MRF处理的土壤pH显著低于CK处理,HU含量显著低于其他3种施肥处理,而其AK和FA含量显著高于其他处理;CK处理的NO3–-N含量显著低于其他3种施肥处理。
对于10个土壤生物指标,除了MBN、BSI和BCI在4种不同施肥处理间无显著性差异,其余7个指标均受到4种不同施肥处理的显著影响(表 1)。土壤DHA活性表现为MRF > CMF > NPK > CK,各处理间差异显著;土壤UE和ALP活性均表现为CK处理显著低于其他3种施肥处理;土壤TE活性表现为MRF和CMF处理显著高于NPK和CK处理;MRF处理的MBC含量显著高于其他3种处理,与最低的CK处理相比,MRF处理的MBC含量增加了47.3%;CMF处理的FSI显著低于其他3种处理;MRF处理的FCI相对于CK处理显著增加了12.9%。
4种不同施肥处理CK、NPK、MRF和CMF的冬小麦产量分别为2 217、5 558、8 313和6 833 kg/hm2,表现为MRF > CMF > NPK > CK,各处理间差异显著。
2.2 土壤质量指数根据表 5中MDS土壤指标的权重分别计算MDS1和MDS2的线性和非线性SQI(图 1)。对于MDS1,4种不同施肥处理CK、NPK、MRF和CMF的线性土壤质量指数(SQI1-L)范围为0.16 ~ 0.72,表现为MRF和CMF处理显著高于NPK处理,并且3种施肥处理的SQI1-L显著高于CK处理;此外,4种不同施肥处理的非线性土壤质量指数(SQI1-NL)范围为0.44 ~ 0.55,表现为MRF > CMF > NPK > CK,各处理间差异显著。对于MDS2,CK、NPK、MRF和CMF的线性土壤质量指数(SQI2-L)分别为0.20、0.44、0.75和0.46,表现为MRF处理显著高于CMF和NPK处理,并且3种施肥处理的SQI2-L显著高于CK处理);此外,4种不同施肥处理的非线性土壤质量指数(SQI2-NL)表现为MRF(0.60) > CMF(0.52) > NPK(0.48) > CK(0.36),各处理间差异显著。
|
|
表 5 各指标变异系数、公因子方差和权重值 Table 5 Coefficient of variation, communality and weight value of each indicator |
|
(SQI1-L:基于MDS1的线性土壤质量指数;SQI1-NL:基于MDS1的非线性土壤质量指数;SQI2-L:基于MDS2的线性土壤质量指数,SQI2-NL:基于MDS2的非线性土壤质量指数;下同。图中不同小写字母表示不同施肥处理间差异显著(P < 0.05)) 图 1 长期不同施肥土壤质量指数(SQI) Fig. 1 SQIs under different long-term fertilization treatments |
为了对构建的MDS进行验证,本研究对基于两个最小数据集(MDS1和MDS2)分别采用线性和非线性评分方法得到的4种SQI与基于TDS得到的SQI进行相关性分析(图 2)。结果表明,基于两个MDS的4种SQI均与基于TDS的SQI呈极显著相关(P < 0.001),说明这4种SQI均可反映供试土壤的土壤质量状况。
|
(SQIT-L:基于TDS的线性土壤质量指数集,SQIT-NL:基于TDS的非线性土壤质量指数) 图 2 基于最小数据集(MDS)与总数据集(TDS)土壤质量指数的相关性 Fig. 2 Correlations of soil quality indexes between based on MDS and based on TDS |
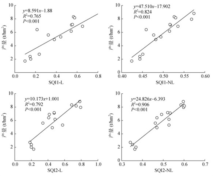
选取冬小麦的产量作为验证指标,与SQI进行相关分析,用于验证土壤质量评价体系与土壤质量状况的一致性。结果表明,基于两个最小数据集通过线性和非线性评价方法得到的4种SQI均与产量呈极显著正相关关系(图 3)(P < 0.001),其中SQI2-NL的相关系数最大(0.906),表明其能更为准确地反映供试土壤的土壤质量状况。
|
图 3 土壤质量指数与产量的相关性 Fig. 3 Correlation between SQI and crop yield |
大量试验研究表明,有机物料施用能够提高土壤有机碳及其含量组分、改善土壤物理结构、提升土壤微生物数量以及改善微生物群落多样性与功能性[21],对提高土壤质量、促进植物生长具有积极的作用。本研究结果表明,有机肥料的施用尤其是菇渣化肥配施(MRF)通过促进土壤团聚体及有机无机复合体的形成,提高土壤持水性、导水性和总孔隙度[22],显著提升了潮土的物理性质。在土壤化学性质方面,相对于不施肥对照,MRF处理显著提升了土壤有机碳及氮、磷、钾等养分含量,显著降低了封丘潮土pH。菇渣作为微生物“过腹”后的有机物料,质地疏松,含有丰富的有机质和养分[23]。施入的有机质首先进行矿质化过程,将输入的大量有机质彻底分解为CO2、H2O和氮磷钾等养分元素;在环境条件适宜的一定时间后,腐殖化过程逐渐发展,逐渐产生能改善土壤理化性质的腐殖物质[24]。富里酸是土壤腐殖质中最为活跃的小分子有机碳,可以提高土壤微生物代谢,从而促进农田生态系统的物质循环和能量流动[25]。本研究发现,在组成腐殖质组分的碳量分配中,MRF处理相对于其他3种处理显著降低了胡敏素碳量占腐殖质碳量的百分比,提升了相对活跃的富里酸碳量的占比(表 1),活化了土壤碳库。同时有机质分解产生的有机酸也能够较好地中和潮土碱性,降低了土壤pH。此外,在土壤生物指标上,有机物料中大量的有机养分、微生物和酶促基质能够通过增加土壤有机质和微生物生物量碳、氮含量,促进微生物的生长繁殖以及胞外酶的分泌,优化了土壤微生物群落的结构[26]。在本研究中,两种有机物料(菇渣和鸡粪)结合无机肥配施相较于CK和NPK处理均对土壤理化和微生物性质以及作物产量有一定的提升效果,但是MRF处理的提升效果要优于CMF处理,这可能与两种有机物料的组分及降解速率有关[27]。
3.2 不同施肥处理对潮土土壤质量指数的影响本研究初选土壤物理、化学和生物指标共19项,利用主成分分析结合Norm值方法进行两种不同MDS的筛选,MDS1包含全磷含量、孔隙度、田间持水量、真菌Chao1指数;MDS2包含全氮含量、硝态氮含量、田间持水量、脱氢酶活性、真菌香农指数,指标筛选过滤率分别达到78.95% 和73.68%,极大地简化了评价指标。MDS1中的全磷、孔隙度、田间持水量和MDS2中的全氮、硝态氮、田间持水量、脱氢酶活性均属于农田土壤重要物理、化学和生物指标[28];真菌Chao1指数和真菌香农指数指标分别入选本研究的两个MDS,虽然这两个指标不属于前人研究土壤质量的重要指标[28],但是也说明随着生物信息技术的快速发展,土壤微生物群落多样性指标在长期不同施肥潮土的土壤质量评价中的重要性[29]。
通过计算SQI,基于两种MDS的线性和非线性SQI与基于TDS的SQI均呈极显著相关,说明MDS选取的各项指标能够很好地表征土壤质量。此外,通过对基于MDS的4种SQI与作物产量进行相关分析验证,相关系数表现为MDS2 > MDS1,非线性 > 线性。这可能是因为在MDS1中选取的指标反映了土壤全量养分(全磷含量)、物理指标(孔隙度、田间持水量)及微生物指标(真菌Chao1指数),而MDS2中的指标还补充了土壤速效养分指标(硝态氮含量)和生物活性指标(脱氢酶活性),能更为综合地评价土壤质量状况,这在与基于TDS的SQI的相关系数上也有所反映(图 2)。此外,本研究通过线性和非线性评分法对长期不同施肥潮土的SQI进行计算,结果表明这2种评分方法均具有较好的效果;然而从不同处理间得分的差异(图 1)及相关系数的大小(图 3)可以看出,非线性评分法优于线性评分法,这与Raiesi等[19]和徐用兵等[30]的研究结果一致。线性评分法所需要的先验条件较少,结果在很大程度上受到每个指标方差的影响,更依赖于各指标的最大值和最小值,后续计算的指数可能会不合理地倾斜,具有一定的局限性;而非线性评分函数则需要更深入了解每个指标内在的行为和功能以及外在对土壤环境的影响,每个指标的上下限受到约束,相对来说更为复杂和精准[31]。本研究中,MDS2采用非线性评价法计算得到的土壤质量指数(SQI2-NL)与小麦产量的相关系数最大,表明SQI2-NL能够更真实地反映供试土壤的土壤质量状况。此外,SQI2-NL中MRF处理的SQI最高,在土壤质量指数上同样说明了菇渣和化肥配施可在一定条件下改善封丘潮土区的土壤质量。
4 结论本研究表明,基于最小数据集的土壤质量评价方法可以对封丘潮土小麦种植区在不同施肥方式下的土壤质量进行评价。有机肥和无机肥配施尤其是菇渣和化肥配施处理相较于不施肥和施化肥处理显著提升了土壤物理、化学性质和生物活性,提高了土壤质量和作物产量。将土壤物理、化学和生物性质分别进行PCA筛选的最小数据集2(MDS2)包含全氮含量、硝态氮含量、田间持水量、脱氢酶活性、真菌香农指数这5个指标,在MDS2的基础上通过非线性评分计算的土壤质量指数(SQI2-NL)与基于总数据集计算的土壤质量指数及作物产量具有较好的一致性,能更准确地评价封丘潮土土壤质量;不同施肥处理间的SQI2-NL表现为MRF > CMF > NPK > CK,表明在土壤质量指数上菇渣和化肥配施更有利于维持和提升封丘潮土土壤质量。
| [1] |
陈超, 杨丰, 赵丽丽, 等. 贵州省不同土地利用方式对土壤理化性质及其有效性的影响[J]. 草地学报, 2014, 22(5): 1007-1013 ( 0) |
| [2] |
陈广银, 曹海南, 吴佩, 等. 稻麦轮作下施用猪粪水对作物生长及农田土壤质量的影响[J]. 土壤学报, 2023, 60(3): 893-903 ( 0) |
| [3] |
李鑫, 张文菊, 邬磊, 等. 土壤质量评价指标体系的构建及评价方法[J]. 中国农业科学, 2021, 54(14): 3043-3056 DOI:10.3864/j.issn.0578-1752.2021.14.010 ( 0) |
| [4] |
袁野, 王浩, 罗洋, 等. 基于最小数据集评价耕作方式对黑土农田土壤质量的影响[J]. 玉米科学, 2023, 31(4): 148-157 ( 0) |
| [5] |
李雨晨, 熊翱宇, 平原, 等. 基于最小数据集的宁都县不同整地方式下果园土壤质量评价[J]. 水土保持学报, 2023, 37(4): 342-350 ( 0) |
| [6] |
赵金花, 陈林, 段衍, 等. 秸秆还田配合化肥减施对潮土作物产量及土壤肥力的影响[J]. 土壤学报, 2023, 60(1): 189-200 ( 0) |
| [7] |
且天真, 武迪, 张德健, 等. 不同年限施用有机肥对土壤理化性质的影响[J]. 安徽农业科学, 2023, 51(12): 135–141, 170 ( 0) |
| [8] |
吴宪, 张婷, 孔云, 等. 配施有机物料对华北小麦-玉米轮作体系土壤节肢动物的影响[J]. 生态学杂志, 2019, 38(12): 3689-3696 ( 0) |
| [9] |
Schlüter S, Weller U, Vogel H J. Soil-structure development including seasonal dynamics in a long-term fertilization experiment[J]. Journal of Plant Nutrition and Soil Science, 2011, 174(3): 395-403 ( 0) |
| [10] |
刘威, 陈小龙, 赵园园, 等. 有机肥施用对植烟土壤氮素矿化及土壤酶和微生物群落的影响[J]. 土壤, 2023, 55(5): 1025-1034 ( 0) |
| [11] |
Giacometti C, Demyan M S, Cavani L, et al. Chemical and microbiological soil quality indicators and their potential to differentiate fertilization regimes in temperate agroecosystems[J]. Applied Soil Ecology, 2013, 64: 32-48 ( 0) |
| [12] |
曹志洪, 周健民. 中国土壤质量[M].
科学出版社, 北京, 2008
( 0) |
| [13] |
姚童言, 黄绵松, 宋亚康, 等. 长期施用菇渣与化肥对潮土地区玉米和小麦产量及稳定性的影响[J]. 生物加工过程, 2021, 19(1): 79-84 ( 0) |
| [14] |
鲍士旦. 土壤农化分析(3版)[M].
中国农业出版社, 北京, 2000: 30-183
( 0) |
| [15] |
Cong P, Wang J, Li Y Y, et al. Changes in soil organic carbon and microbial community under varying straw incorporation strategies[J]. Soil and Tillage Research, 2020, 204: 104735 ( 0) |
| [16] |
戈悦, 刘悦秋, 丛一蓬, 等. 颐和园绿地表层土壤肥力质量评价[J]. 南京林业大学学报(自然科学版), 2023, 47(3): 182-190 ( 0) |
| [17] |
Liu L K, Zhao G J, An Z F, et al. Effect of grazing intensity on alpine meadow soil quality in the eastern Qinghai-Tibet Plateau, China[J]. Ecological Indicators, 2022, 141: 109111 ( 0) |
| [18] |
Wei L, Li Y H, Zhu Z K, et al. Soil health evaluation approaches along a reclamation consequence in Hangzhou Bay, China[J]. Agriculture, Ecosystems & Environment, 2022, 337: 108045 ( 0) |
| [19] |
Raiesi F. A minimum data set and soil quality index to quantify the effect of land use conversion on soil quality and degradation in native rangelands of upland arid and semiarid regions[J]. Ecological Indicators, 2017, 75: 307-320 ( 0) |
| [20] |
陈艺文, 李红丽, 董智, 等. 3种固沙材料与风沙土复配后土壤改良效应及其质量评价[J]. 水土保持研究, 2022, 29(5): 48-54 ( 0) |
| [21] |
任立军, 李金, 邹洪涛, 等. 生物有机肥配施化肥对设施土壤养分含量及团聚体分布的影响[J]. 土壤, 2023, 55(4): 756-763 DOI:10.13758/j.cnki.tr.2023.04.008 ( 0) |
| [22] |
张艳, 刘彦伶, 李渝, 等. 长期施用化肥与有机肥对黄壤物理特性的影响[J]. 贵州农业科学, 2021, 49(2): 34-40 ( 0) |
| [23] |
Fidanza M A, Sanford D L, Beyer D M, et al. Analysis of fresh mushroom compost[J]. HortTechnology, 2010, 20(2): 449-453 ( 0) |
| [24] |
楼涛, 汪学军, 何昆鹏, 等. 腐殖质的光化学降解及其对环境污染物环境行为的影响[J]. 生态环境学报, 2014, 23(4): 716-720 ( 0) |
| [25] |
Chari N R, Taylor B N. Soil organic matter formation and loss are mediated by root exudates in a temperate forest[J]. Nature Geoscience, 2022, 15(12): 1011-1016 ( 0) |
| [26] |
Kaur K, Kapoor K K, Gupta A P. Impact of organic manures with and without mineral fertilizers on soil chemical and biological properties under tropical conditions[J]. Journal of Plant Nutrition and Soil Science, 2005, 168(1): 117-122 ( 0) |
| [27] |
Liu Y H, Li C, Cai G, et al. Meta-analysis on the effects of types and levels of N, P, and K fertilization on organic carbon in cropland soils[J]. Geoderma, 2023, 437: 116580 ( 0) |
| [28] |
俞琦, 胡劭骥, 申欣凯, 等. 基于CNKI文献分析下不同生态系统土壤质量评价研究[J]. 安徽农学通报, 2023, 29(4): 104-113 ( 0) |
| [29] |
朱永官, 彭静静, 韦中, 等. 土壤微生物组与土壤健康[J]. 中国科学: 生命科学, 2021, 51(1): 1-11 ( 0) |
| [30] |
徐用兵, 张天鹏, 雷秋良, 等. 华北典型潮土区土壤质量综合评价[J]. 土壤通报, 2023, 54(6): 1271-1281 ( 0) |
| [31] |
叶子壮, 王松燕, 陆潇, 等. 秸秆还田、覆膜和施氮对旱地麦田土壤质量的影响[J]. 环境科学, 2024, 45(4): 2292-2303 ( 0) |
2. University of Chinese Academy of Sciences, Beijing 100049, China;
3. Institute of Crop Science and Resource Conservation, University of Bonn, Bonn 53115, Germany;
4. College of Chemical Engineering, Nanjing Forestry University, Nanjing 210037, China
2025, Vol. 57



0)