2. 内蒙古自治区土壤质量与养分资源重点实验室, 呼和浩特 010018;
3. 农业生态安全与绿色发展自治区高等学校重点实验室, 呼和浩特 010018;
4. 清华大学环境学院, 北京 100084
土壤作为陆地生态系统中最大的碳储存库,其碳储量是大气与植被总和的3倍多[1],土壤碳库的微小变化可对全球气候产生重要影响。农田生态系统作为陆地生态系统的重要组成部分,是陆地表层系统中最为活跃的碳库,极易受到人类活动和气候变化等多重因素的干扰[2]。大量研究表明,农田固碳减排存在巨大潜力,提高农田土壤固碳水平,对于提高农业生产、发挥碳汇作用以及缓解气候变化具有重要意义[3]。资料显示,我国现存盐碱地总面积达9.94×107 hm2,约占国土面积的10%。盐碱地作为重要的后备耕地资源,其利用和改良是提高我国粮食生产的重要途径[4]。但盐碱地自身的障碍因素,导致该类型土壤物理结构和生物活性较差[5],不利于作物生长,严重制约了盐渍化农田的生产和生态功能。因此,高效开发利用盐碱地对于提高农业生产和改善生态环境极为重要[6]。
土壤有机碳(SOC)是土壤肥力的关键因子[7],对土壤的物理及生物学性质有着很大影响,而外源碳输入是提高农田土壤碳库储量的重要途径[8]。全球尺度Meta分析结果显示,秸秆还田能够有效提高土壤碳含量10.5% ~ 12.0%、碳氮比2.51% ~ 13.42%,在减少土壤有机质矿化的前提下能够很好地维持土壤化学计量平衡[9]。秸秆还田措施通过加强土壤团聚体的物理保护以及矿物的化学吸附作用可以有效改善土壤物理环境,表现出较大的固碳潜力[10]。此外,秸秆还田可通过促进土壤中微团聚体向大团聚体的转化,使大团聚体有机碳含量提高,进而显著提高盐碱地SOC含量[11-12]。目前,已探明秸秆还田固碳机制主要是秸秆施入土壤中对微生物的繁殖起促进作用,提高微生物活性,微生物在分解秸秆的过程中所释放的可溶性有机物质是土壤中不稳定碳组分的主要来源,进而提高SOC含量,还有一部分有机碳是以颗粒态的形式存在,被团聚体包裹[13]。
在水资源丰富地区,灌溉洗盐是抑制土壤盐分在土壤表层聚集的重要措施,但大水漫灌条件下,土壤盐分的迁移必然伴随着土壤中可溶性有机物质的淋溶[14]。有研究表明,灌溉通过驱动可溶性有机物质的迁移而影响土壤中SOC含量[15]。全球尺度Meta分析结果表明,灌溉农业增加了5.9% 的有机碳储量[16]。有学者认为,充足的灌溉可以刺激土壤微生物活性,增加土壤碳源,促进外源有机物料的分解和固定,减少SOC矿化[17]。但当前针对盐碱地改良措施的研究,忽略了灌水作用对SOC的影响,且对灌水过程中盐分运移和SOC相互作用过程缺乏深入探究。因此,本研究在盐碱地上设置不同用量秸秆还田试验,对盐碱地灌水前后SOC动态变化以及SOC和盐分的耦合关系进行了探讨,以为改进盐渍化土壤改良措施和优化农田管理实践提供思路,为实现盐碱地高效固碳和地力提升提供理论支持。
1 材料与方法 1.1 试验区概况试验区位于内蒙古农业大学海流图科研教学示范基地(40°38′N,111°28′E)。该区位于土默川平原,地势平坦,属典型大陆性半干旱季风气候,年平均气温7.5℃,无霜期135 d左右,年日照时数平均3 095 h,年平均降水量346 mm,降雨主要集中在7—9月,年蒸发量约1 900 mm,地下水位2 ~ 3 m。土壤类型为碱化潮土,碱化程度为轻度,质地类型为壤质黏土。供试耕层土壤基本理化性质为:有机碳8.17 g/kg,全氮0.82 g/kg,容重1.52 g/cm3,碱化度5.21%,pH 8.42。
1.2 试验设计试验于2020年3月开始,采用随机区组设计,分别设置CK(0 kg/hm2)、ST1(2 100 kg/hm2)、ST2 (4 200 kg/hm2)、ST3(6 300 kg/hm2)、ST4(8 400 kg/hm2)、ST5(10 500 kg/hm2)6个秸秆还田量处理,每个处理3个重复,小区面积为5 m×8 m =40 m2。秸秆为上一年秋收玉米秸秆,晒干后进行粉碎,播种前均匀施入土壤中,再利用旋耕机进行机械混匀,旋耕机工作深度约20 cm。各处理施肥量为:N 210 kg/hm2(尿素)、P2O5 33.6 kg/hm2(过磷酸钙)、K2O 43.2 kg/hm2(硫酸钾),种植玉米品种为“新玉12”,其他田间管理措施与当地农民相同。灌水方式为地表喷灌。整个生育期分别在玉米的出苗期、拔节期和喇叭口期进行灌水,灌水时间分别为2023年6月2日、6月28日、7月25日,灌水量每次每亩约80 m3。
1.3 样品采集与预处理2023年4月开始种植玉米,随后在灌水前后分别采集土壤原状土,每个小区分别按照0 ~ 15、15 ~ 30、30 ~ 60、60 ~ 90 cm的土层随机采取5点混合成1个土壤样品,装于自封袋中。样品采集后,先将新鲜土样手动去除大块的石砾和动植物残体,称取部分土样用于含水量测定,然后充分混匀后风干,去除其中的作物根系及小石块等异物,再研磨过2 mm以及0.15 mm筛,保存,用于后续土壤理化性质、盐分指标以及SOC含量的测定。
1.4 测定项目与方法土壤物理指标、化学指标及盐分指标测定方法参考《土壤农化分析》第三版[18],具体方法如表 1所示。
|
|
表 1 土壤物理指标、化学指标及盐分指标测定方法 Table 1 Determination methods of soil physiochemical and salt indexes |
采用Excel 2024对数据进行初步整理,运用SPSS 20.0对不同指标进行单因素方差分析(One-way ANOVA)及相关分析,运用Duncan法进行处理间差异显著性检验,显著性水平为P < 0.05。采用Origin 2022进行绘图。
2 结果与分析 2.1 秸秆还田条件下灌水前后土壤有机碳、全氮及碳氮比的变化如表 2所示,灌水前,不同秸秆还田处理的SOC含量与CK处理相比在0 ~ 15及15 ~ 30 cm土层中均呈增加趋势,增幅分别为7.2% ~ 11.5% 和1.8% ~ 23.8%。秸秆还田还能够提高0 ~ 15 cm土层TN含量以及C/N;与CK处理相比,30 ~ 90 cm土层中各秸秆还田处理TN含量均呈增加趋势,平均增幅为3.3% ~ 26.7%;15 ~ 30 cm土层中ST4处理与CK相比C/N显著增加,增幅为49.4%。
|
|
表 2 不同用量秸秆还田条件下盐碱地灌水前SOC、TN含量及C/N Table 2 Contents of SOC and TN, and C/N ratios before irrigation in saline-alkali farmlands under different rates of straw returning |
如表 3所示,灌水后,0 ~ 15及15 ~ 30 cm土层中各秸秆还田处理的SOC含量与CK处理相比均有提高,其中,在15 ~ 30 cm土层中ST4、ST5处理与CK相比显著增加了61.8%、71.2%。在30 ~ 60 cm土层中,ST4和ST5处理与CK相比,SOC含量也显著增加了313.2% ~ 461.8%。TN含量表现为在15 ~ 30 cm土层ST4和ST5处理与CK处理相比增加了25.9% 和41.4%。C/N表现为在60 ~ 90 cm土层ST3处理与CK处理相比显著增加了62.4%。
|
|
表 3 不同用量秸秆还田条件下盐碱地灌水后SOC、TN含量及C/N Table 3 Contents of SOC and TN, and C/N ratios after irrigation in saline-alkali farmlands under different rates of straw returning |
由图 1可知,施用秸秆能够有效提高各土层含水量,其中,灌水前,在15 ~ 30 cm土层ST1和ST2处理与CK处理相比分别显著增加了27.5%、26.3%。
|
图 1 不同用量秸秆还田条件下盐碱地灌水前含水量 Fig. 1 Water contents before irrigation in saline-alkali farmlands under different rates straw returning |
由图 2可知,灌水后,0 ~ 15和15 ~ 30 cm土层SOC含量比灌水前分别显著降低了7.3% 和53.0%;30 ~ 90 cm土层SOC含量与灌水前相比均有增加,尤其在60 ~ 90 cm土层显著增加了71.6%;不同土层TN含量与灌水前相比均表现增加趋势,具体为0 ~ 15、15 ~ 30、30 ~ 60 cm土层分别显著增加了30.0%、55.7%、60.6%;C/N表现为60 ~ 90 cm土层与灌水前相比显著增加了48.4%,其余土层与灌水前相比均显著下降,降幅分别为39.2%、141%、57.1%。各土层土壤含水量比灌水前显著增加了18.2% ~ 85.2%。
|
(图中*表示各指标灌水前后差异在P < 0.05水平上显著,下同) 图 2 灌水前后盐碱地含水量、SOC、TN、C/N含量差异 Fig. 2 Differences in contents of water, SOC, TN, and C/N ratios in saline-alkali farmlands before and after irrigation |
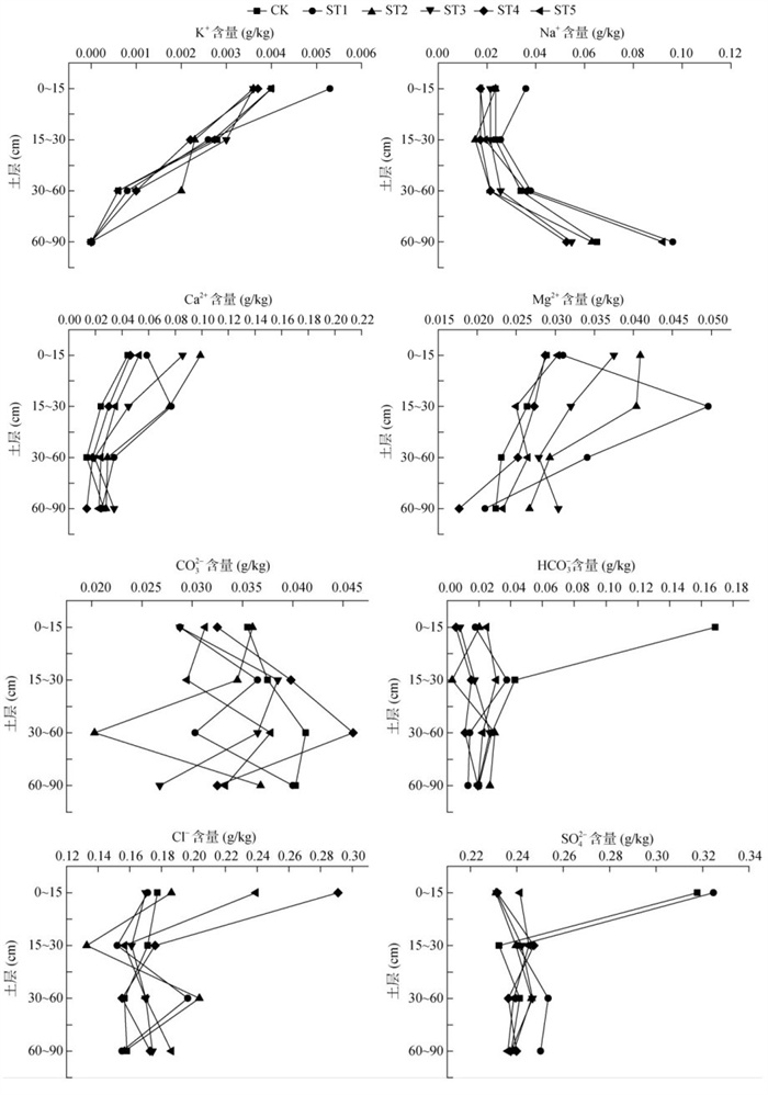
由图 3可知,秸秆还田增加了土壤中Ca2+、Mg2+的含量,具体表现为,在30 ~ 60 cm土层中,与CK处理相比,ST1、ST2处理下Ca2+含量分别显著增加150.7%、114.7%,ST1处理下的Mg2+含量显著增加2.3%。各土层的阴离子含量在施用秸秆后均表现出降低趋势,其中,在0 ~ 15 cm土层中ST2和ST3处理SO42–含量与CK处理相比显著降低22.6% 和23.0%。
|
图 3 不同用量秸秆还田条件下盐碱地灌水前盐分离子含量 Fig. 3 Salt ion contents before irrigation in saline-alkali farmlands under different rates of straw returning |
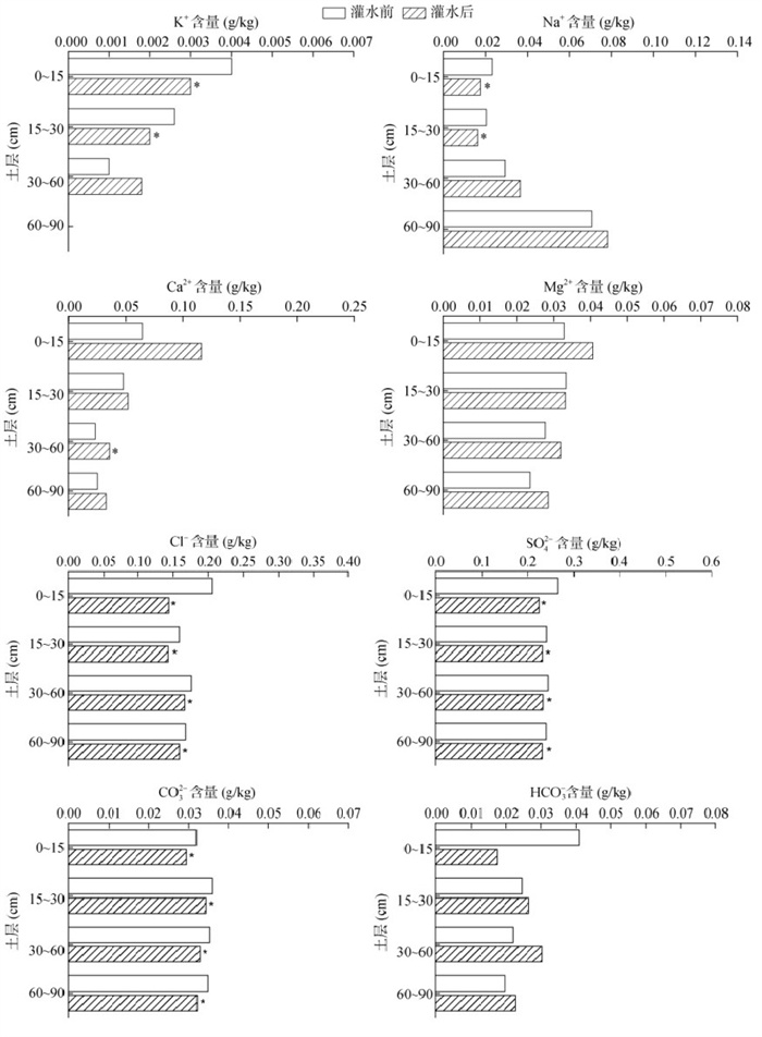
由图 4可知,灌水前,不同土层K+含量在0 ~ 15 cm土层最高,Na+含量在60 ~ 90 cm土层中含量最高。灌水后,K+和Na+含量在0 ~ 30 cm土层表层土壤中均显著下降,降幅分别为30% ~ 33.3%、25.9% ~ 31.8%。与灌水前相比,Ca2+含量在灌水后各土层中均呈现增加趋势,尤其在30 ~ 60 cm土层中显著增加,增幅为55.4%。灌水前,CO32–、HCO3–、Cl–、SO42–在各个土层中含量分布均匀,灌水后Cl–、SO42–以及CO32–含量在各土层中与灌水前相比均显著下降,降幅分别为5.5% ~ 43.1%、4% ~ 7.6%、4.7% ~ 9.0%;且各离子含量均由表层向深层迁移。
|
图 4 灌水前后盐碱地盐分离子含量差异 Fig. 4 Differences in salt ion contents in saline-alkali farmlands before and after irrigation |
由图 5可知,秸秆还田可以有效降低深层土壤交换性Na含量,具体表现为30 ~ 60 cm土层中添加秸秆的各处理与CK处理相比均显著下降,降幅为45.6% ~ 66.2%,60 ~ 90 cm中ST5处理与CK相比显著下降,降幅为46.2%。0 ~ 15 cm及60 ~ 90 cm土层,各添加秸秆处理CEC与CK处理相比均有提高,0 ~ 15 cm土层中增幅为2.4% ~ 10.7%,60 ~ 90 cm土层增幅为2.8% ~ 16.1%。
|
(图中不同小写字母表示不同秸秆还田处理间差异在P < 0.05水平显著) 图 5 不同用量秸秆还田条件下盐碱地灌水前盐分含量变化 Fig. 5 Changes of salt content in saline-alkali land before irrigation under different amounts of straw returning |
由图 6可知,与灌水前相比,灌水后各土层交换性Na含量均显著降低,降幅为4.3% ~ 48.9%;而CEC含量表现为在各土层中均显著增加,增幅为5.1% ~ 26.5%。
|
图 6 灌水前后盐碱地盐分含量变化 Fig. 6 Changes of salt content in saline-alkali land before and after irrigation |
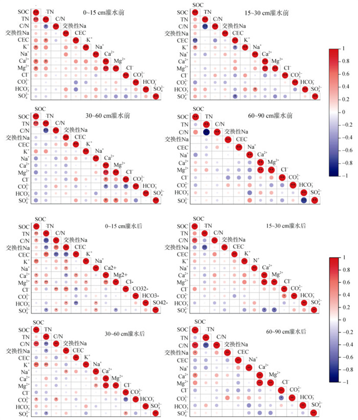
由图 7可知,灌水前,0 ~ 15 cm土层SOC与TN呈极显著正相关(P < 0.01),与Ca2+、Mg2+呈显著正相关(P < 0.05);30 ~ 60 cm土层SOC与TN呈极显著正相关(P < 0.01)。灌水后,SOC与盐分指标相关关系发生了改变,具体表现为:在0 ~ 90 cm土层SOC和TN及C/N呈极显著正相关(P < 0.01),0 ~ 15 cm土层SOC与CEC、Ca2+、Mg2+呈显著正相关(P < 0.05),60 ~ 90 cm土层SOC与Ca2+呈显著正相关(P < 0.05)。
|
(图中*表示在P < 0.05水平显著相关,**表示在P < 0.01水平极显著相关) 图 7 盐碱地灌水前后盐分与SOC相关性 Fig. 7 Correlations between salinity and SOC before and after irrigation in saline-alkali farmlands |
盐渍化土壤的SOC水平普遍较低,而秸秆作为一种外源性有机碳,施入土壤经过长时间腐解,能够提高SOC含量[19]。本研究结果(表 1)显示,与CK处理相比,不同用量的秸秆还田后,0 ~ 90 cm土层SOC含量和0 ~ 60 cm土层TN含量大多呈增加趋势,这与于淑婷等[20]研究结果一致,即秸秆施入能够增加10 ~ 40 cm土层SOC以及TN含量。其原因可能是秸秆在被微生物分解过程中释放出的营养物质,对于SOC以及TN含量有促进作用[21]。
本研究发现,灌水后,30 ~ 60 cm以及60 ~ 90 cm土层中SOC含量与灌水前相比均呈现增加趋势,且60 ~ 90 cm土层SOC含量显著增加,这表明灌溉改变了不同土层SOC的分布,SOC在深层逐渐累积。前人研究发现,灌溉是较高有机碳输入的驱动因素[22]。一方面,灌溉使得土壤浸出更多的可溶性有机碳(DOC),随着水的入渗,DOC向下淋移至深层土壤[23];另一方面,DOC又是有机碳迁移转化的主要形式,不仅容易吸附到颗粒有机碳上,防止有机碳矿化,而且能够在土壤中被微生物分解利用,然后转化成更稳定的有机碳储存在土壤中[24]。
本研究还发现,与灌水前相比,灌水后Ca2+含量在30 ~ 90 cm土层中显著增加。由于灌水,Ca2+随水由表层淋溶至深层,而Ca2+可能更倾向于以CaCO3的形式结合,因为灌溉会使得土壤接受更多的外源性碳酸氢盐和Ca2+,导致HCO3–含量的增加(图 4),促进碳酸盐的沉淀,这也就从另一方面揭示了碳酸盐介导的SOC稳定可能是灌溉条件下产生较高SOC的原因。说明灌溉有利于土壤无机碳(SIC)的形成。灌溉系统通过改变SOC和SIC的动态,驱动碳向SOC和SIC的分配[25]。有研究表明,形成的SIC可以通过阳离子桥接和碳酸盐胶结形成SIC-有机矿物复合物,为SOC提供保护以防止分解,增加SOC的稳定性[26]。而且灌水还促进了秸秆的分解,在灌水过程中秸秆碎屑向深层积累,提高了秸秆碳在深层土壤中的分配比例[27]。
3.2 秸秆还田条件下灌水前后盐分含量变化及与土壤有机碳的耦合关系秸秆还田可以降低土壤表层盐分聚集,减少返盐,抑制土壤盐碱化。本研究发现,水溶性Na+、K+、SO42–、Cl–、CO32–和HCO3–含量在秸秆还田条件下均呈减少趋势(图 3),可能的原因是一方面秸秆还田会显著降低土壤的入渗速率,使土壤含水量维持在较高的水平(图 1),从而有利于盐分的充分溶解[28];另一方面,秸秆腐解后能够促进土壤微粒团聚,吸附土壤中盐基离子的能力增强,与其结合生成腐殖酸,使得土壤中水溶性盐分离子的含量降低。灌溉之后,土壤水分下渗动力增加,土壤中可溶性盐基离子含量也能够有效降低[29],因此秸秆还田结合灌溉措施提供充足水分的情况下有效降低了土壤盐分含量。但是土壤中水溶性Ca2+、Mg2+含量却表现出增加的趋势,可见,灌溉水是Ca2+、Mg2+的来源之一。
一般来说,盐碱地土壤中Na+的存在会破坏土壤团粒结构,造成土壤高度分散,孔隙度降低,产生不透水层,最终会降低土壤保肥和保水作用。但有研究表明,土壤中的二价阳离子能够增强土壤团聚体的稳定性,灌溉结合秸秆还田促使土壤中Ca2+、Mg2+含量增加[11]。本研究表明(图 3和图 4),灌水后,60 ~ 90 cm土层SOC含量显著增加以及Ca2+和SOC呈显著正相关。因此,可以推测土壤中增加的Ca2+、Mg2+介导了SOC在矿物表面的固定过程,矿物结合态有机质在土壤中能够更好地储存[30]。灌溉条件下结合外源碳输入后增加的部分Ca2+有利于SOC增加,Ca2+可以通过调节有机化合物和矿物质之间的物理化学相互作用,稳定SOC。并且Ca2+、Mg2+可以代换多余的交换性Na+进而减少其吸附性,更好地促进土壤颗粒凝聚,改善土壤结构,增强土壤渗透性。土壤中水溶性Ca2+、Mg2+的存在不仅会加快土壤团聚体的形成,并且显著增加团聚体自身的稳定性,这将促进SOC的保护,从而增加SOC的稳定性[31]。
CEC是衡量土壤保肥能力的重要指标。土壤养分含量越高,CEC越大,土壤的保肥能力越强。汤文光等[32]研究发现,秸秆还田结合灌水增加了0 ~ 10 cm土层的CEC,增强了土壤保肥能力。刘纯利等[33]研究发现,CEC是以土壤胶体(有机质和矿质胶体)为载体、土壤有机质中的有机胶体为两性胶体,是土壤固相中CEC最大的部分,随土壤有机质含量增加,CEC也增大。本研究结果(图 5)也显示,与CK处理相比,施用不同用量秸秆均能增加0 ~ 15 cm土层的CEC,土壤表层CEC与SOC呈显著正相关。因此,土壤可以通过外源碳输入,提高土壤有机质含量和CEC,从而提高土壤的缓冲能力及保肥保水能力[34]。
4 结论长期秸秆还田不仅可以有效提高盐碱农田各土层SOC含量,而且能够降低土壤盐分含量,并且在秸秆还田用量为8 400 ~ 10 500 kg/hm2时,对盐碱地改良效果最好。但是灌水模式下,SOC分布发生改变,呈现由表层向深层逐渐累积的趋势,土壤中的盐分离子含量表现由表层向深层逐渐减少的趋势。结合两者的变化趋势可知,灌溉结合秸秆还田是提高盐碱地固碳能力以及降低土壤盐分的重要措施之一。
| [1] |
Lu F, Wang X K, Han B, et al. Soil carbon sequestrations by nitrogen fertilizer application, straw return and no-tillage in China's cropland[J]. Global Change Biology, 2009, 15(2): 281-305 ( 0) |
| [2] |
Qin Z C, Huang Y, Zhuang Q L. Soil organic carbon sequestration potential of cropland in China[J]. Global Biogeochemical Cycles, 2013, 27(3): 711-722 ( 0) |
| [3] |
Zhao X, Li R C, Liu W X, et al. Estimation of crop residue production and its contribution to carbon neutrality in China[J]. Resources, Conservation and Recycling, 2024, 203: 107450 ( 0) |
| [4] |
郭凯, 封晓辉, 伍靖伟, 等. 盐碱地肥沃耕层构建水肥盐综合调控机理与技术研究进展[J]. 土壤学报, 2024, 61(1): 29-38 ( 0) |
| [5] |
Du Y Q, Liu X F, Zhang L, et al. Drip irrigation in agricultural saline-alkali land controls soil salinity and improves crop yield: Evidence from a global meta- analysis[J]. Science of The Total Environment, 2023, 880: 163226 ( 0) |
| [6] |
周思怡, 李晓佳, 张恂, 等. 不同物料对海滨沙性盐碱地改良效果研究[J]. 土壤, 2023, 55(2): 356-362 DOI:10.13758/j.cnki.tr.2023.02.016 ( 0) |
| [7] |
Ren G C, Zhang X F, Xin X L, et al. Soil organic carbon and nitrogen fractions as affected by straw and nitrogen management on the North China Plain[J]. Agriculture, Ecosystems & Environment, 2023, 342: 108248 ( 0) |
| [8] |
王钰皓, 庞津雯, 卫婷, 等. 旱作农田覆膜和秸秆碳投入对土壤团聚特性及作物产量的影响[J]. 土壤学报, 2024, 61(1): 272-284 ( 0) |
| [9] |
Liu J, Qiu T Y, Peñuelas J, et al. Crop residue return sustains global soil ecological stoichiometry balance[J]. Global Change Biology, 2023, 29(8): 2203-2226 ( 0) |
| [10] |
Ren Z J, Han X J, Feng H X, et al. Long-term conservation tillage improves soil stoichiometry balance and crop productivity based on a 17-year experiment in a semi-arid area of northern China[J]. Science of The Total Environment, 2024, 908: 168283 ( 0) |
| [11] |
赵哲萱, 冉成, 孟祥宇, 等. 秸秆还田对苏打盐碱稻区土壤团聚体分布及有机碳含量的影响[J]. 吉林农业大学学报, 2023, 45(5): 582-591 ( 0) |
| [12] |
Kan Z R, Liu W X, Liu W S, et al. Mechanisms of soil organic carbon stability and its response to no‐till: A global synthesis and perspective[J]. Global Change Biology, 2022, 28(3): 693-710 ( 0) |
| [13] |
Zhang H, Tang J, Liang S. Effects of snow cover plus straw mulching on microorganisms in paddy soil during winter[J]. Applied Soil Ecology, 2017, 119: 339-344 ( 0) |
| [14] |
White R E, Davidson B, Lam S K, 等. A critique of the paper 'Soil carbon 4 per mille' by Minasny et al. (2017)[J]. Geoderma, 2018, 309: 115-117 ( 0) |
| [15] |
Shi Z, Allison S D, He Y J, et al. The age distribution of global soil carbon inferred from radiocarbon measurements[J]. Nature Geoscience, 2020, 13(8): 555-559 ( 0) |
| [16] |
Emde D, Hannam K D, Most I, et al. Soil organic carbon in irrigated agricultural systems: A meta‐analysis[J]. Global Change Biology, 2021, 27(16): 3898-3910 ( 0) |
| [17] |
De Soto I S, Virto I, Barré P, et al. A model for field-based evidences of the impact of irrigation on carbonates in the tilled layer of semi-arid Mediterranean soils[J]. Geoderma, 2017, 297: 48-60 ( 0) |
| [18] |
鲍士旦. 土壤农化分析. 3版[M].
中国农业出版社, 北京, 2000
( 0) |
| [19] |
Bernal B, McKinley D C, Hungate B A, et al. Limits to soil carbon stability; Deep, ancient soil carbon decomposition stimulated by new labile organic inputs[J]. Soil Biology and Biochemistry, 2016, 98: 85-94 ( 0) |
| [20] |
于淑婷, 赵亚丽, 王育红, 等. 轮耕模式对黄淮海冬小麦—夏玉米两熟区农田土壤改良效应[J]. 中国农业科学, 2017, 50(11): 2150-2165 ( 0) |
| [21] |
马子钰, 马文林. 秸秆还田对中国农田土壤固碳效应影响的研究[J]. 土壤, 2023, 55(1): 205-210 DOI:10.13758/j.cnki.tr.2023.01.025 ( 0) |
| [22] |
Zhou X H, Zhou L Y, Nie Y Y, et al. Similar responses of soil carbon storage to drought and irrigation in terrestrial ecosystems but with contrasting mechanisms: A meta-analysis[J]. Agriculture, Ecosystems & Environment, 2016, 228: 70-81 ( 0) |
| [23] |
Ball K R, Malik A A, Muscarella C, et al. Irrigation alters biogeochemical processes to increase both inorganic and organic carbon in arid-calcic cropland soils[J]. Soil Biology and Biochemistry, 2023, 187: 109189 ( 0) |
| [24] |
Wang D, Yi W B, Zhou Y L, et al. Intercropping and N application enhance soil dissolved organic carbon concentration with complicated chemical composition[J]. Soil and Tillage Research, 2021, 210: 104979 ( 0) |
| [25] |
Rowley M C, Grand S, Spangenberg J E, et al. Evidence linking calcium to increased organo-mineral association in soils[J]. Biogeochemistry, 2021, 153(3): 223-241 ( 0) |
| [26] |
Rowley M C, Grand S, Verrecchia É P. Calcium-mediated stabilisation of soil organic carbon[J]. Biogeochemistry, 2018, 137(1–2): 27-49 ( 0) |
| [27] |
Xie W J, Wu L F, Zhang Y P, et al. Effects of straw application on coastal saline topsoil salinity and wheat yield trend[J]. Soil and Tillage Research, 2017, 169: 1-6 ( 0) |
| [28] |
李芙荣, 杨劲松, 吴亚坤, 等. 不同秸秆埋深对苏北滩涂盐渍土水盐动态变化的影响[J]. 土壤, 2013, 45(6): 1101-1107 ( 0) |
| [29] |
Tavakkoli E, Rengasamy P, Smith E, et al. The effect of cation–anion interactions on soil pH and solubility of organic carbon[J]. European Journal of Soil Science, 2015, 66(6): 1054-1062 ( 0) |
| [30] |
Georgiou K, Jackson R B, Vindušková O, et al. Global stocks and capacity of mineral-associated soil organic carbon[J]. Nature Communications, 2022, 13(1): 3797 ( 0) |
| [31] |
Zhang K J, Wang X J, Wu L P, et al. Impacts of salinity on the stability of soil organic carbon in the croplands of the Yellow River Delta[J]. Land Degradation & Development, 2021, 32(4): 1873-1882 ( 0) |
| [32] |
汤文光, 肖小平, 唐海明, 等. 长期不同耕作与秸秆还田对土壤养分库容及重金属Cd的影响[J]. 应用生态学报, 2015, 26(1): 168-176 ( 0) |
| [33] |
刘纯利, 田文平, 刘宇辉. 农田土壤阳离子交换量与理化性质的相关性探析[J]. 种子科技, 2021, 39(10): 36-37 ( 0) |
| [34] |
王文艳, 张丽萍, 刘俏. 黄土高原小流域土壤阳离子交换量分布特征及影响因子[J]. 水土保持学报, 2012, 26(5): 123-127 ( 0) |
2. Key Laboratory of Soil Quality and Nutrient Resources, Inner Mongolia Autonomous Region, Hohhot 010018, China;
3. Key Laboratory of Agricultural Ecological Security and Green Development of Colleges and Universities in Autonomous Region, Hohhot 010018, China;
4. School of Environment, Tsinghua University, Beijing 100084, China
2025, Vol. 57



0)