2. 自然资源部高原山地地质灾害预报预警与生态保护修复重点实验室, 昆明 650000;
3. 云南省高原山地地质灾害预报预警与生态保护修复重点实验室, 昆明 650093
土壤磁学是将现代岩石磁学理论、技术方法应用到土壤学而产生的分支学科,利用物质磁性特征及其反映的环境内涵研究不同时空尺度的环境问题、环境过程和作用机制[1]。许多学者开展土壤磁学理论及其应用研究,例如:有学者对不同区域土壤类型中磁性矿物的特征、生成转化机制进行探讨[2-3];研究土壤磁性分布规律及磁性变化的影响因素[4-5];对土壤载磁矿物的提取与鉴别[6];将磁学方法用于土壤分类[4]、污染调查[7]、土壤侵蚀状况评估[8]等。
土壤中磁性矿物的生成和转化受母质、地形、土壤类型、海拔、气候等自然因素[1]和耕作、施肥、污染等人为活动因素[9-10]影响。土壤母质对土壤磁性的影响表现为对磁性矿物的初始含量及类型的影响,并且母质的岩性也会影响其风化速率及土壤发育程度,进而影响磁性的强弱[11-12]。除此之外,土壤母质类型还会影响不同土地利用方式下土壤的磁性变化程度,富含强磁性母质的土壤在土地利用转化时,土壤磁性变化较大,而富含弱磁性母质的土壤在土地利用变化过程中磁性变化相对较小[13-14]。地形则是通过海拔高度、坡度、坡向间接影响成土过程,进而影响土壤中磁性矿物的形成和转化[10, 15];气候因子(降水、湿度、温度等)是控制土壤形成过程及其理化性质的关键要素,从而影响土壤磁化率[12, 16];多数研究表明土壤中磁性矿物与有机碳含量相关,磁性参数与有机碳含量正相关[17]。
研究表明不同的土地利用方式也会对土壤磁性产生影响[8],其中,土地利用类型包括森林、牧场、农田、草地、茶园等。Taghdis等[18]研究了伊朗南部法尔斯省不同土地利用中土壤磁参数与土壤性质的关系,结果表明,农田、贫瘠地和牧场3种利用方式的土壤磁化率平均值差异显著,分别依次为45.31× 10–8、31.68×10–8和17.84×10–8 m3/kg。Cao等[19]在中国西南某喀斯特地区建立3个样区对比其磁性特征,农田、草地和森林的土壤磁化率平均值差异显著,自然植被覆盖区土壤磁性高于农业区。Zhao等[20]研究发现贵州高原南部的农田和草地土壤具有不同的磁性特征。Wang等[21]通过对上海市的交通区、居住和商业区、无污染区和工业区4个不同功能区的表土磁性进行系统研究,发现土壤土壤磁化率在工业区和交通区较高,在无污染区、居住和商业区较低。Ouallali等[22]通过对摩洛哥北部里夫地区的灌丛、林地、草地、农田等土地利用类型进行土壤磁性对比,发现土壤磁化率的差异与土地利用类型有关。
目前有关土地利用方式对土壤磁性影响的研究多集中在某一局部地区的不同利用方式下土壤磁性特征的对比分析,已有研究结果显示出不同土地利用方式土壤磁性强弱的相对关系较为复杂,如农田土壤与森林土壤对比,二者磁性相对强弱在不同研究区不一致。另外,不同土地利用方式下土壤磁性特征与环境因子之间的关系研究目前尚未见报道。因此,本文在云南省大尺度范围内选择森林和农田两种样地,分析探讨两种土地利用方式下土壤磁性特征以及土壤磁性与环境因子的关系。
1 材料和方法 1.1 研究区概况研究区位于我国西南部云南省,分布范围大致为21.8°N ~ 29.15°N,97.31°E ~ 106.11°E,平均海拔为1 713 m,年平均气温18 ℃,年平均降水量1 200 ~ 1 700 mm,全年降水集中在5—10月,总降水量占全年的85% ~ 90%。云南省拥有多种气候类型,南部地区主要呈现热带雨林气候,温暖湿润,降雨充沛,常年高温多雨;而北部地区则逐渐过渡到亚热带、温带和寒带气候,季风影响逐渐减弱,呈现出明显的季节性气候变化。研究区包括高山、平原、盆地、峡谷等复杂多样的地形,地势呈现西北高、东南低,自北向南呈阶梯状逐级下降。因气候、生物、地质、地形等相互作用,形成了多种多样的土壤类型,主要包括红壤、黄红壤、黄棕壤、棕壤、暗棕壤、石灰土、紫色土等,为农业生产和植被生长提供了丰富的土壤资源。
1.2 样品采集在云南省范围内设置一一对应的森林和农田对照采样点共计25组,采样点的分布如图 1所示,主要土壤类型为铁铝土,母质以弱磁性砂岩为主。在每个采样点的森林和农田各设置5 ~ 10个间隔为10 m的子样点,使用木铲采集表层0 ~ 10 cm的土壤样品,充分混匀后得到200 g混合样,放置实验室自然风干。取一部分样品经过玛瑙研钵研磨后过筛,装入体积为8 cm3的无磁立方盒中进行磁学分析测试;一部分样品用于土壤养分测定、地球化学元素测定以及不同形态氧化铁测定等;剩余样品装入密封袋后实验室留存。
|
(该图基于国家测绘地理信息局标准地图服务网站下载的审图号为云S(2021)48号的标准地图制作,底图无修改) 图 1 采样点分布图 Fig. 1 Distribution of topsoil sampling sites |
样品自然风干后,研磨成粉状,使用捷克Agico公司生产的MFK1-FA型多频磁化率仪分别测量在低频976 Hz和高频15 616 Hz下的体积磁化率κlf和 κhf,根据公式χ=κ/ρ计算出样品的质量磁化率χlf和χhf值,并计算频率磁化率百分比(χfd%=(χlf-χhf)/χlf× 100%)。使用ASC公司生产的D-2000交变退磁仪(交变磁场峰值100 mT,直流磁场0.1 mT)与JR-6A旋转磁力仪测量样品的非磁滞剩磁(ARM),并计算非磁滞剩磁磁化率(χarm=ARM/H,H=0.04 mT)。磁滞回线(Hysteresis loop)使用美国Lake Shore公司生产的VSM3902型变梯度磁力仪测量,并得到磁滞参数。
使用HANNA HI8424型酸度计测定土壤样品的pH[23],通过测定样品风干前后的质量计算得到含水率(swc),并采用Walkley-Black法测定土壤有机碳(SOC)含量[24],全氮(TN)、全碳(TC)等主要养分指标采用土壤养分测定仪(OK-Q10,欧柯奇)测定[25]。
土壤中铁(Fe)、铝(Al)、硅(Si)、钾(K)、钙(Ca)、镁(Mg)、钠(Na)、磷(P)等主量元素使用高能偏振X射线荧光光谱仪(HE-P-EDXRF)测定[26],并通过公式计算得到土壤硅铝率(Sa)、硅铝铁率(Saf)、风化淋溶系数(Ba)和化学蚀变指数(CIA)。
土壤中的游离铁(Fed)采用citrate–bicarbonate–dithionite (CBD)法测定[27],活性铁(Feo)采用acid–ammonium–oxalate (AAO)法测定[28]。
1.4 数据处理土壤各指标数据使用SPSS Statistics 23软件进行相关性分析和单因素方差分析(ANOVA),采用Origin 2021绘制基础图表,使用Cannon 5完成冗余分析,利用ArcGis 10.7绘制采样点分布图。所有统计分析均在α = 0.05水平下进行。
2 结果与分析 2.1 森林和农田磁性参数变化特征土壤磁化率(χlf)是衡量物质在外加磁场下被磁化难易程度的物理量,反映样品中磁性矿物含量的大小[29]。频率磁化率百分比(χfd%)指示样品在成壤或风化过程产生的超顺磁(SP)颗粒中亚铁磁性矿物含量的变化[30]。非磁滞剩磁磁化率(χarm)对细粒稳定单畴(SSD)磁性矿物颗粒含量反映敏感[31]。χarm/χlf可以指示磁性矿物颗粒大小的变化[31],高值代表样品中磁性矿物以稳定单畴(SSD)为主,低值反映样品中磁性矿物以粗粒假单畴(PSD)和多畴(MD)为主。Mrs/Ms与Bcr/Bc对剩磁载体的粒度灵敏,Day等[32]提出用这两个参数作图(Day-plot)来指示磁性矿物的粒度。
由表 1可知,森林表土的χlf 介于(13.04 ~ 1 023.2)×10–8 m3/kg,均值为152.71×10–8 m3/kg;农田表土的χlf 介于(10.90 ~ 828.94)×10–8 m3/kg,均值为144.46×10–8 m3/kg。森林表土的χfd% 介于5.12% ~ 27.35%,均值为13.04%;农田表土的χfd% 介于4.39% ~ 22.51%,均值为12.31%。森林表土的χarm介于(36.16 ~ 8 248.91)×10–8 m3/kg,均值为949.23×10–8 m3/kg;农田表土的χarm介于(47.63 ~ 4 956.67)×10–8 m3/kg,均值为586.25×10–8 m3/kg;森林表土的χarm/χlf介于1.78 ~ 62.64,均值为8.05;农田表土的χarm/χlf介于0.66 ~ 26.37,均值为5.03。图 2为森林和农田同一组采样点的磁性参数对比,显示两种土地利用方式下同一对比组的磁性参数相对大小无统计规律性,森林大于农田、森林小于农田和两者数值较为接近的3种相对关系均存在。通过单因素方差分析可得,25个对比组的各类磁性参数均值不存在显著性差异。
|
|
表 1 表土磁性参数 Table 1 Statistical descriptions of topsoil magnetic parameters |
|
图 2 森林和农田采样点磁性参数对比图 Fig. 2 Comparison of magnetic parameters between forest and farmland topsoils |
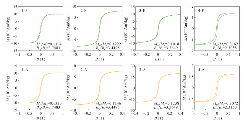
磁滞回线常被用作获取土壤样品中磁性矿物的相对含量等信息[33],亚铁磁性矿物在100 ~ 300 mT外加磁场上饱和,反铁磁性矿物在1 T及以上的外加磁场上才能达到饱和状态。图 3中横坐标代表场强(B),纵坐标代表磁化强度(M),由图可知,森林和农田表土样品的磁滞回线在对应采样点的特征相同。云南表土的大部分磁滞回线变化基本一致,总体形态呈现高而窄的“S”型,且在300 mT前闭合,指示出样品中主要的载磁矿物是低矫顽力亚铁磁性矿物。4-F和4-A样品的磁滞回线呈现出明显的“蜂腰”型特征,且在接近1 T时闭合,表明样品主要载磁矿物为亚铁磁性矿物,同时可能含有反铁磁性矿物。通过对研究区表土样品的磁滞回线分析,表明云南地区表土载磁矿物主要以亚铁磁性矿物为主,一些样品中含有少量反铁磁性矿物,同一对比组的森林和农田表土中磁性矿物类型一致。
|
图 3 表土样品的磁滞回线(F:森林;A:农田) Fig. 3 Magnetic hysteresis loops of topsoils (F: forest; A: farmland) |
此外,森林和农田表层土壤绘制Day-plot图可用来指示磁性矿物的磁畴状态[34]。将研究区森林和农田表土样品的Mrs/Ms和Bcr/Bc投影至Day-plot图中(图 4),表土样品大部分落在PSD(假单畴)和SP+SD(超顺磁+单畴)区域,个别样品落在SD+MD(单畴+多畴)曲线之间。以上可推断出表土样品中磁性矿物的磁畴状态以SP、SD和PSD颗粒为主,农田与森林土壤中磁性矿物的磁畴状态差别较小。
|
图 4 森林和农田表土的Day-plot图 Fig. 4 Day-plot of forest and farmland topsoils |
对研究区森林和农田表层土壤的χlf、χfd%、χarm与各环境因子进行相关性分析。由图 5可知,森林土壤χlf与Ba、SOC、TC、Fed呈显著正相关(P < 0.05),与CIA呈显著负相关(P < 0.01);农田土壤χlf与SOC、TC、TN、TP、Fed呈显著正相关(P < 0.05)。森林土壤χfd% 与TP呈显著负相关(P < 0.05),农田土壤χarm与SOC、TC、Fed呈显著正相关(P < 0.05)。因此,森林和农田表土中细粒(SP+SD)亚铁磁性矿物含量与环境因子之间的关系不同。
|
(图中*、**表示相关性达P<0.05和P<0.01显著水平) 图 5 土壤磁性参数与各环境因子的相关关系图(左:森林;右:农田) Fig. 5 Correlation of soil magnetic parameters and environmental factors (left: forest; right: farmland) |
冗余分析(Redundancy analysis,RDA)从统计学角度评价一个变量与多变量数据之间的相关关系,其最大优势在于能独立保持各个变量对环境的贡献率。把指示细粒亚铁磁性矿物含量的磁性参数作为一组变量,环境因子作为另一组变量,通过分析两组变量之间的关系既可以揭示环境因子对细粒亚铁磁性矿物含量的影响,也可以直观地看出环境因子对各磁性参数的影响程度。图 6为土壤磁性与环境因子间的RDA排序图,将环境因子作为响应变量,指示细粒亚铁磁性矿物含量的磁性参数作为环境解释变量。
|
图 6 土壤磁性与环境因子的RDA排序图(左:森林;右:农田) Fig. 6 RDA sequence between soil magnetism and environmental factors (left: forest; right: farmland) |
结果表明,森林土壤磁性与环境相关关系在第1轴和第2轴的解释量分别为43.97% 和25.51%,即第1轴和第2轴共解释了69.48% 的指示细粒亚铁磁性矿物含量的磁性参数与环境因子之间的关系;农田土壤磁性与环境相关关系在第1轴和第2轴的解释量分别为60.90% 和11.90%,即第1轴和第2轴共解释了72.80% 的指示细粒亚铁磁性矿物含量的磁性参数与环境因子之间的关系。图中绿色和黄色的箭头分别代表森林和农田的环境因子,箭头的长短代表该环境因子对指示细粒亚铁磁性矿物含量的磁性参数的解释量的大小;土壤磁性参数与各环境因子之间的夹角代表了它们之间的相关性,夹角越小,相关性越高,反之越小。
结合表 2可知,森林环境因子中Ba、Fed、CIA对指示细粒亚铁磁性矿物含量的磁性参数有较高的贡献量,分别为25.1%、23.2%、15.4%。其中,Ba、Fed与χlf、χarm呈正相关关系,与χfd% 呈负相关关系;CIA与χlf、χarm呈显著负相关关系,与χfd% 呈正相关关系(图 5)。而农田环境因子中SOC对指示细粒亚铁磁性矿物含量的磁性参数有较高的贡献量(55.7%),SOC与χlf、χarm呈正相关关系。
|
|
表 2 环境因子的贡献量和P值 Table 2 Contributions and P-values of environment factors |
以上分析表明了森林表土磁性与风化成土作用相关性最强,而农田表土磁性与土壤有机碳含量相关性最强。
3 讨论 3.1 云南地区森林和农田表土磁性特征森林和农田25个对比组表土的各类磁性参数均值无显著差异,同一对比组的各类磁性参数相对大小无统计规律性,显示出森林大于农田、森林小于农田和两者数值较为接近3种相对关系;样品中的载磁矿物主要以细粒(SP+SD)亚铁磁性矿物为主,一些样品含有少量反铁磁性矿物,同一对比组的森林和农田表土中磁性矿物类型一致。
Cao等[19]研究中我国西南某喀斯特地区的磁性特征表现为森林土壤磁化率高于农田;Zhao等[20]发现贵州高原南部地区的农田土壤磁性高于森林;Zhou等[35]研究发现我国北方的森林表土磁性高于农田表土;Bouhsane和Bouhlassa[4]通过评估摩洛哥北部不同区域下表土的磁化率,发现农田土壤磁性低于森林;Bouhlassa和Bouhsane[36]研究表明摩洛哥小流域的农田表土磁性高于森林表土。可见,森林与农田土壤磁性的相对强弱在不同研究区显示出不同结果。
磁学参数可以作为土壤形成和发育的代用指标[37],本研究中森林与农田表土磁性相差较小,且二者不存在显著性差异的结果与上述研究不同。土壤中不同大小的磁畴颗粒指示的环境意义不同,粗颗粒(MD+PSD)磁性矿物以原生磁性矿物为主,其成土作用弱,而细粒组分(SP+SD)主要在土壤发育过程中产生[30]。森林和农田表土样品中磁性矿物的磁畴状态均以SP、SD和PSD颗粒为主,二者磁性矿物的磁畴状态差别较小。前人研究表明,云南地区载磁矿物以亚铁磁性矿物为主,同时含有少量反铁磁性矿物,小部分区域载磁矿物以反铁磁性矿物为主[14]。本研究采集的森林和农田土壤样品中含有的载磁矿物与上述研究相一致,因此,可以推断森林和农田表土主要载磁矿物为细粒亚铁磁性矿物。
3.2 土壤磁性与环境因子之间的关系一般来说,土壤磁性发生变化与母岩差异[11]、成土作用[37]以及磁性物质的人为贡献[38-39]有关。在本研究区内,森林和农田25组对应采样点的气候和母质相同,同一组采样点间的相对高差较小。因此,排除研究区的母质、气候、海拔等因素,分别讨论森林和农田表土的磁性特征与环境因子之间的关系。
森林是地球上最常见的生态系统之一,它由大量的树木、植物、动物和微生物组成,构建了一个相互依存的生态网络。土壤磁化率(χlf)与SOC含量呈显著正相关,主要是由于森林环境中存在大量的有机物质(如落叶、枯木等)对SOC浓度产生影响,从而引起土壤磁性发生改变[1]。研究区森林表土的环境因子中风化淋溶系数(Ba)、化学蚀变指数(CIA)和游离铁(Fed)对指示细粒亚铁磁性矿物含量的磁性参数有较高的贡献量。根据成土作用可将土壤中的全铁(Fet)分为活性铁(Feo)和游离铁(Fed)两类。Feo主要包含的铁氧化物为水铁矿,水铁矿在常温下具有顺磁性并且对磁性贡献较小,土壤磁性主要是由组成Fed的各种氧化铁、氢氧化铁所贡献[40]。此外,土壤的风化成土作用通常用风化参数来反映,包括Ba和CIA,同时Fed能够反映土壤成土过程的特点,常被用作土壤风化度的指标之一[6]。Ba用来衡量土壤风化程度和土壤淋溶程度,CIA主要指示风化过程中脱盐基过程及硅酸盐矿物的形成程度[41]。冗余分析中土壤磁性与Ba呈正相关关系,与CIA呈负相关关系,这与Lyu等[42]研究结果一致,即随着土壤风化程度的增强,从含铁硅酸盐中游离出的铁也会增多,土壤磁性增强。因此,森林表土磁性不仅与土壤中有机物质的含量有关,而且与风化成土作用相关性最强。
农田土壤的磁学性质与许多自然和人为因素有关,例如母质、土壤类型、成土过程、耕作方式、灌溉类型等[17, 37]。在农业利用条件下,土壤中含有磁性成分的人为污染物增加,可导致土壤表层磁性增强[43];长期的农业耕作加强了土壤颗粒机械运动,增强了风化作用产生次生的磁性矿物(如磁铁矿、磁赤铁矿),从而引起土壤磁性发生变化[44];不同的农业管理方法(如施肥、耕作方式和作物轮作)会影响土壤有机碳的积累,进而影响土壤的磁性特征[17];而漫灌和其他灌溉类型地区的土壤磁性明显降低,主要归因于内涝引起的磁性矿物损失[37]。
云南省地形复杂,农业灌溉用水十分紧缺,农田主要种植的作物是玉米,通常施用农家肥和有机肥,土地管理方式为耕作。根据田间调查,农田每年由机械翻耕两次,耕作促进了Fed的形成,从而改变表土磁性。在种植过程中,农田施用有机肥可导致土壤养分指标(包括SOC、TC、TN、TP等)增加,这与Jiang等[45]研究一致。又因为土壤χlf与SOC、TC、TN、TP有较好的相关性,研究区农田的环境因子中SOC对指示细粒亚铁磁性矿物含量的磁性参数有较高的贡献量,同时有研究表明SOC可以通过发酵机制、燃烧机制以及生物矿物作用来引起土壤磁性的改变[46]。因此,农田表土磁性发生改变与土地管理方式(耕作)以及施用有机肥有关。
综上,森林和农田表土磁性与土壤风化程度、营养元素等多种环境因素有关。不同土地利用方式改变土壤环境因素进一步影响磁性矿物的生成与转化。风化成土作用是森林表土磁性的主要影响因素,而农田表土磁性主要受SOC含量影响。农田土壤SOC含量受施肥、耕作管理和气候条件等多种因素影响,从而导致不同对比组二者磁性强弱的相对关系较为复杂。
4 结论在云南省范围内,森林和农田25个对比组的各类磁性参数均值无显著差异,同一对比组的各类磁性参数相对大小无规律性。同一对比组的森林和农田表土中磁性矿物类型一致,森林和农田表土中载磁矿物主要以细粒(SP+SD)亚铁磁性矿物为主,一些样品中含有少量反铁磁性矿物。森林表土磁性不仅与土壤中有机物质的含量有关,还与土壤的风化成土作用有关,风化成土作用越强,土壤磁性越强;而农田表土磁性主要与土壤有机碳、全氮、全磷等含量相关,可能与人类活动有关(如施用有机肥、耕作管理等)。本文不同利用方式的土壤磁性特征及其与环境因子的关系对于磁学数据的解释和应用具有重要意义,有助于深入了解土壤磁性与环境因素的内在联系。
| [1] |
Liu Q S, Roberts A P, Larrasoaña J C, et al. Environmental magnetism: Principles and applications[J]. Reviews of Geophysics, 2012, 50(4): RG4002 DOI:10.1029/2012RG000393 ( 0) |
| [2] |
Ayoubi S, Adman V. Iron mineralogy and magnetic susceptibility of soils developed on various rocks in western Iran[J]. Clays and Clay Minerals, 2019, 67(3): 217-227 ( 0) |
| [3] |
叶玉林, 苏怀, 潘钰涵, 等. 昆明碳酸盐岩红色风化壳磁化率高于玄武岩风化壳的现象及原因探析[J]. 云南大学学报(自然科学版), 2017, 39(S2): 157-162 ( 0) |
| [4] |
Bouhsane N, Bouhlassa S. Assessing magnetic susceptibility profiles of topsoils under different occupations[J]. International Journal of Geophysics, 2018, 2018(1): 9481405 ( 0) |
| [5] |
汪彦林, 苏怀, 董铭, 等. 昆明西山山原红壤和红色石灰土的pH值与磁化率关系研究[J]. 土壤, 2012, 44(1): 107-110 ( 0) |
| [6] |
兰静, 苏怀, 董铭, 等. 昆明地区碳酸盐岩发育红土载磁矿物的提取与鉴定[J]. 土壤, 2021, 53(1): 217-219 ( 0) |
| [7] |
Karimi A, Haghnia G H, Ayoubi S, et al. Impacts of geology and land use on magnetic susceptibility and selected heavy metals in surface soils of Mashhad plain, northeastern Iran[J]. Journal of Applied Geophysics, 2017, 138: 127-134 ( 0) |
| [8] |
Ding Z H, Zhang Z D, Li Y C, et al. Characteristics of magnetic susceptibility on cropland and pastureland slopes in an area influenced by both wind and water erosion and implications for soil redistribution patterns[J]. Soil and Tillage Research, 2020, 199: 104568 ( 0) |
| [9] |
Ayoubi S, Moazzeni Dehaghani S. Identifying impacts of land use change on soil redistribution at different slope positions using magnetic susceptibility[J]. Arabian Journal of Geosciences, 2020, 13(11): 426 ( 0) |
| [10] |
Rahimi M R, Ayoubi S, Abdi M R. Magnetic susceptibility and Cs-137 inventory variability as influenced by land use change and slope positions in a hilly, semiarid region of west-central Iran[J]. Journal of Applied Geophysics, 2013, 89: 68-75 ( 0) |
| [11] |
Liu Z, Guo X L, Liu X M, et al. Comparative analysis of the magnetism between Chinese and Serbian loess deposits[J]. Catena, 2022, 218: 106569 ( 0) |
| [12] |
Zhang Q, Appel E, Hu S Y, et al. Nano-magnetite aggregates in red soil on low magnetic bedrock, their changes during source-sink transfer, and implications for paleoclimate studies[J]. Journal of Geophysical Research: Solid Earth, 2020, 125(10): e2020JB020588 ( 0) |
| [13] |
郑兴芬, 吕镔, 陈梓炫, 等. 亚热带地区发育于不同母岩风化壳上的红壤磁学特征对比及其环境意义[J]. 地球物理学报, 2019, 62(9): 3509-3523 ( 0) |
| [14] |
陈宇东, 李海侠, 张小凌, 等. 云南热带亚热带发育于弱磁性砂岩的土壤磁性特征及其环境意义[J]. 热带地理, 2023, 43(11): 2229-2240 ( 0) |
| [15] |
陈雅敏, 宋效东, 刘峰, 等. 青藏高原表土磁化率空间分布特征及影响因素[J]. 土壤学报, 2024, 61(2): 361-371 ( 0) |
| [16] |
Antoine P, Coutard S, Bahain J J, et al. The last 750 ka in loess–palaeosol sequences from northern France: Environmental background and dating of the western European Palaeolithic[J]. Journal of Quaternary Science, 2021, 36(8): 1293-1310 ( 0) |
| [17] |
Frankl A L, Maxbauer D P, Savina M E. Linkages between soil organic matter and magnetic mineral formation in agricultural fields in southeastern Minnesota, USA[J]. Geoderma, 2022, 406: 115466 ( 0) |
| [18] |
Taghdis S, Farpoor M H, Mahmoodabadi M, et al. Monitoring magnetic susceptibility and spatial distribution of soil attributes in different land uses: A case study in an arid and semi-arid region, southern Iran[J]. Arabian Journal of Geosciences, 2021, 14(11): 970 ( 0) |
| [19] |
Cao Z H, Zhang K L, He J H, et al. Linking rocky desertification to soil erosion by investigating changes in soil magnetic susceptibility profiles on karst slopes[J]. Geoderma, 2021, 389: 114949 ( 0) |
| [20] |
Zhao W J, Wang H Y, Zhang Z Y, et al. Discrimination of soil magnetism enhanced by land use and its implications for inferring alterations in sediment sources and soil erosion in a homogeneous watershed: An example from the Guizhou Plateau, SW China[J]. Catena, 2022, 217: 106476 ( 0) |
| [21] |
Wang G, Chen Y Y, Zhang W G, et al. Magnetic response of urban topsoil to land use type in Shanghai and its relationship with city gross domestic product[J]. Journal of Applied Geophysics, 2022, 200: 104623 ( 0) |
| [22] |
Ouallali A, Bouhsane N, Bouhlassa S, et al. Rapid magnetic susceptibility measurement as a tracer to assess the erosion–deposition process using tillage homogenization and simple proportional models: A case study in northern of Morocco[J]. International Journal of Sediment Research, 2023, 38(5): 739-753 ( 0) |
| [23] |
叶俊民, 任二慧, 罗鑫, 等. 云南景洪茶园土壤重金属分布特征及其与磁化率的相关性研究[J]. 中国土壤与肥料, 2025(1): 62-72 ( 0) |
| [24] |
Nelson D W, Sommers L E. Total carbon, organic carbon, and organic matter: Laboratory methods[M]//Sparks D L. Methods of soil analysis. Part 3. Chemical methods. Madison, Wisconsin: Soil Science Society of America, 1996: 961–1010.
( 0) |
| [25] |
闵江艳. 外源褪黑素对苦荞干旱胁迫的缓解效应研究[D]. 贵阳: 贵州师范大学, 2024.
( 0) |
| [26] |
袁静, 刘建坤, 郑荣华, 等. 高能偏振能量色散X射线荧光光谱仪特性研究及地质样品中主微量元素分析[J]. 岩矿测试, 2020, 39(6): 816-827 ( 0) |
| [27] |
孙玉兵, 陈天虎, 谢巧勤. 西峰剖面高分辨记录指标研究及古气候重建[J]. 高校地质学报, 2009, 15(1): 126-134 ( 0) |
| [28] |
王小红, 杨智杰, 刘小飞, 等. 中亚热带山区土壤不同形态铁铝氧化物对团聚体稳定性的影响[J]. 生态学报, 2016, 36(9): 2588-2596 ( 0) |
| [29] |
Thompson R, Stober J C, Turner G M, et al. Environmental applications of magnetic measurements[J]. Science, 1980, 207(4430): 481-486 ( 0) |
| [30] |
Zhou L P, Oldfield F, Wintle A G, et al. Partly pedogenic origin of magnetic variations in Chinese loess[J]. Nature, 1990, 346(6286): 737-739 ( 0) |
| [31] |
Dearing J. Environmental magnetic susceptibility: Using the bartington MS2 system[M].
Chi Publishing, Kenilworth, 1999
( 0) |
| [32] |
Day R, Fuller M, Schmidt V A. Hysteresis properties of titanomagnetites: Grain-size and compositional dependence[J]. Physics of the Earth and Planetary Interiors, 1977, 13(4): 260-267 ( 0) |
| [33] |
Roberts A P, Cui Y L, Verosub K L. Wasp-waisted hysteresis loops: Mineral magnetic characteristics and discrimination of components in mixed magnetic systems[J]. Journal of Geophysical Research: Solid Earth, 1995, 100(B9): 17909-17924 ( 0) |
| [34] |
Dunlop D J. Theory and application of the Day plot (Mrs/Ms versus Hcr/Hc) 2. Application to data for rocks, sediments, and soils[J]. Journal of Geophysical Research: Solid Earth, 2002, 107(B3): EPM5–1-EPM5–15 ( 0) |
| [35] |
Zhou Y X, Zhang Z D, Rao J W, et al. Predicting and mapping soil magnetic susceptibility in an agro-pastoral transitional zone: Influencing factors and implications[J]. Soil and Tillage Research, 2022, 219: 105352 ( 0) |
| [36] |
Bouhlassa S, Bouhsane N. Assessment of the impacts of land-use change and slope position on soil loss by magnetic susceptibility-based models[J]. International Journal of Sediment Research, 2023, 38(3): 455-468 ( 0) |
| [37] |
Liu C C, Dupont-Nivet G, Wang W, et al. Magnetic response to pedogenesis in aerobic soils of different weathering degree[J]. Palaeogeography, Palaeoclimatology, Palaeoecology, 2021, 567: 110240 ( 0) |
| [38] |
Wang M C, Li F R, Li H X, et al. Changes in the magnetic properties of a tropical red soil following the conversion of forest into agricultural land[J]. Journal of Applied Geophysics, 2024, 228: 105471 ( 0) |
| [39] |
王新栋, 胡雪峰, 张延硕, 等. 大气颗粒沉降对城市土壤性状的影响: 道路灰尘的磁学证据[J]. 土壤学报, 2023, 60(6): 1832-1840 ( 0) |
| [40] |
Michel F M, Barrón V, Torrent J, et al. Ordered ferrimagnetic form of ferrihydrite reveals links among structure, composition, and magnetism[J]. Proceedings of the National Academy of Sciences of the United States of America, 2010, 107(7): 2787-2792 ( 0) |
| [41] |
Li G Q, Zhang X L, Li H X, et al. Relationship between magnetic properties and weathering in red soil profiles developed on weakly magnetic parent rock in the tropical and subtropical region of Yunnan, China[J]. Acta Geophysica, 2024, 72(6): 4063-4077 ( 0) |
| [42] |
Lyu H, Watanabe T, Kilasara M, et al. Effects of climate on distribution of soil secondary minerals in volcanic regions of Tanzania[J]. Catena, 2018, 166: 209-219 ( 0) |
| [43] |
李勇, 徐炜. 水泥厂周边稻田土壤剖面磁学性质及其环境意义[J]. 土壤, 2021, 53(2): 411-420 ( 0) |
| [44] |
Dearing J A, Dann R J L, Hay K, et al. Frequency- dependent susceptibility measurements of environmental materials[J]. Geophysical Journal International, 1996, 124(1): 228-240 ( 0) |
| [45] |
Jiang Y, Yi X T, Liu M Y, et al. Dynamic responses of soil enzymes at key growth stages in rice after the in situ remediation of paddy soil contaminated with cadmium and arsenic[J]. Science of The Total Environment, 2022, 830: 154633 ( 0) |
| [46] |
胡鹏翔, 刘青松. 磁性矿物在成土过程中的生成转化机制及其气候意义[J]. 第四纪研究, 2014, 34(3): 458-473 ( 0) |
2. Key Laboratory of Geohazard Forecast and Geoecological Restoration in Plateau Mountainous Area, Ministry of Natural Resources, Kunming 650000, China;
3. Key Laboratory of Geological Hazard Prediction and Early Warning and Ecological Protection and Restoration in Plateau Mountainous Areas of Yunnan Province, Kunming 650093, China
2025, Vol. 57



0)