2. 重庆师范大学山区生态系统碳循环与碳调控重庆市重点实验室, 重庆 401331;
3. 重庆地质矿产研究院重大地质事件与资源环境效应重庆市重点实验室 重庆 401120;
4. 遵义师范学院, 贵州遵义 563006
硒(Se)是人体和动物生理活动所必需的生命微量元素,对维持人体正常生命活动发挥着重要作用,但人体所需硒的合理剂量与毒理剂量差异较小(40 ~ 400 μg/d)[1]。土壤是粮食作物中硒的主要来源,间接影响人体硒的摄入量。因此,土壤硒含量、赋存形态、来源及其迁移转化是硒生物地球化学循环的研究热点[2-3]。土壤硒含量,特别是土壤硒的赋存形态决定整个食物链中硒生物地球化学循环的强弱[4]。
土壤硒的赋存形态转化和迁移,受土壤物化性质(如土壤pH[5]、土壤有机质[6])等的影响最为深刻和广泛。土壤硒含量则主要受成土母岩影响[7],如由黑色岩系风化形成的土壤中硒含量可达30 mg/kg[8]。成土母岩也是土壤化学和矿物成分的主要来源,因而也可调控土壤物化性质[9],进而间接影响土壤硒的迁移和富集。
随着社会经济发展,人为活动对土壤物化性质影响越来越深刻。土地覆被变化是人为活动的重要体现形式,也是反映全球环境变化的重要因子,已导致陆地生态系统发生了深刻改变,直接或间接影响甚至威胁人类的生存环境[10]。土地覆被变化也在深刻影响土壤物化性质[11],从而影响土壤中营养元素(如氮、磷、钾、硫等)[12]和污染物(如重金属等微量元素)[13]的赋存形态、生物有效性及其迁移转化过程。
因此,本研究以实施“退耕还林”近20年的重庆江津区为例,探究土壤硒含量及其赋存形态对土地覆被变化的响应以及土地覆被变化影响土壤硒含量和赋存形态的主要因素。研究结果将有助于评估和预测土地覆被变化背景下土壤质量变化对作物硒累积的影响,从而为富硒农业生产和调控居民硒营养提供科学依据。
1 材料与方法 1.1 研究区概况重庆市江津区位于四川盆地东南部,属于亚热带湿润季风气候区,年均气温18.4 ℃,年均降水量1 001 mm。总体地势南高北低,境内地貌类型分为河谷阶地、丘陵和山地。其中河谷阶地主要分布在长江沿岸,丘陵主要分布在江津区向斜谷地,山地主要分为背斜低山和倒置中低山。
江津区是重庆市实施“退耕还林”的重点区县。经过退耕还林工程的实施和社会经济的快速发展,江津区土地覆被已发生巨大变化(图 1),林地面积由2000年的1 581.74 km2(占比49.21%)增加至2020年的1 810.90 km2(占比56.34%),对应的耕地面积由1 508.21 km2(占比46.93%)下降至913.35 km2(占比28.42%),表明江津区土地覆被变化十分显著。
|
图 1 研究区位置图(A)、土壤样点分布图(B)、2000年(C)和2020年(D)土地利用/覆被图 Fig. 1 Location of research area (A), distributions of soil sampling sites(B), and land use/cover in 2000 (C)and 2020(D) |
以土地覆被类型为采样单元,在江津区采集90份表层土壤(0 ~ 20 cm)样品(图 1B),其中旱地土样40份,水田10份,林地40份(天然林24份,次生林16份)。实地调研和询问当地居民退耕还林的次生林地位置(至少退耕还林5年以上,且未施用化肥)并采集相应土壤样品。因现今“退耕还林”前的旱地土壤已无法获取,采取以下原则:①就近原则,即旱地与对应的次生林地距离近,且长期耕种;②地理环境相似原则,即旱地和次生林地层岩性、地形地貌等地理环境相似。所有土壤样品在室内自然风干,剔除土壤中植物根系、小碎石等杂质,研磨棒打碎土壤团块,过10目筛;取一定量10目样品,研磨至100目待测。取100 mg 100目土壤样品,采用氢氟酸、浓硝酸和高氯酸(体积比为3∶3∶1)消解样品,用电感耦合等离子体发射光谱仪(ICP-OES)测定主量元素(CaO、MgO、Na2O、K2O、Al2O3和Fe2O3);碱熔融法溶解SiO2,用ICP-OES测定含量;高温燃烧马弗炉法测定烧失量(LOI);土壤总硒(Setotal)含量用氢化物发生原子荧光光度计(HF-AFS)测定。以超纯水为浸提液,采用玻璃电极法测定土壤pH;SOM含量采用重铬酸钾滴定法测定。样品测定过程中通过标准物质(GBW07401、GBW07403和GBW07406)控制实验质量,同时做空白样以消除试剂影响。实验空白结果低于仪器检测限,标准物质元素回收率为90% ~ 110%,样品检测相对标准偏差绝对值小于10%。
土壤硒赋存形态包括水溶态硒(SeSol)、可交换态与碳酸盐结合态硒(SeExc)、铁锰氧化物结合态硒(SeFe-Mn)、有机结合态硒(SeOr)和残渣态硒(SeRes),采用逐级浸提法测定[6]。
1.3 数据处理与分析风化淋溶系数(ba)[14]、硅铝比(SA)、硅铝铁比(SAF)[15]和化学蚀变指数(CIA)[16]用于表征土壤风化程度。计算公式如下:
| $ \text{ba}=\frac{\text{CaO}+\text{MgO}+\text{N}{\text{a}}_{2}\mathrm{O}+{\mathrm{K}}_{2}\mathrm{O}}{\text{A}{\text{l}}_{2}{\mathrm{O}}_{3}} $ | (1) |
| $ \text{Sa}=\frac{\text{Si}{\text{O}}_{2}}{\text{A}{\text{l}}_{2}{\mathrm{O}}_{3}} $ | (2) |
| $ \text{Saf}=\frac{\text{Si}{\text{O}}_{2}}{\left(\text{A}{\text{l}}_{2}{\mathrm{O}}_{3}+\text{F}{\text{e}}_{2}{\mathrm{O}}_{3}\right)} $ | (3) |
| $ \text{CIA}=\frac{\text{A}{\text{l}}_{2}{\mathrm{O}}_{3}}{\text{A}{\text{l}}_{2}{\mathrm{O}}_{3}+\text{N}{\text{a}}_{2}\text{O+}{\text{K}}_{2}\text{O+CaO*}} $ | (4) |
式(1)~(4)中:所有氧化物均为摩尔数;公式(4)中,若CaO*摩尔数大于Na2O时,则nCaO*=nNa2O,反之nCaO*=nCaO。
采用SPSS 20.0进行相关性分析和非参数检验;分别通过Mann-Whitney U和Kruskal-Wallis非参数检验对两个独立样本和多个独立样本进行分析;利用ArcGIS 10.2、OriginLab 2021和CorelDRAW X7绘制各种图形。
2 结果与分析 2.1 表层土壤基本理化性质统计特征研究区土壤pH为4.06 ~ 7.92,算术均值(简称均值,下同)为6.18(表 1)。依据全国第二次土壤普查标准,研究区有23.3%、33.3%、40.0% 和3.33% 的样品分别为极酸性(pH≤5.5)、弱酸性(5.5 < pH≤6.5)、中性(6.5 < pH≤7.5)和弱碱性(pH > 7.5),表明土壤整体呈弱酸至中性。研究区土壤有机质为4.00 ~ 58.90 g/kg,均值16.06 g/kg。根据全国第二次土壤普查养分等级,研究区有2、1、18、44、20和5件土壤样品有机质含量等级分别为极丰富(SOM > 40 g/kg)、丰富(30 < SOM≤40 g/kg)、较丰富(20 < SOM≤30 g/kg)、适量(10 < SOM≤20 g/kg)、贫乏(6 < SOM≤10 g/kg)和极贫乏(SOM≤6 g/kg)。
|
|
表 1 表层土壤基本理化性质统计特征 Table 1 Statistical characteristics of topsoil basic physicochemical properties |
研究区土壤风化淋溶系数(ba)均值0.75,一般ba值越大,表明土壤风化淋溶强度越小;硅铝比(SA) 和硅铝铁比(SAF)可反映土壤脱硅富铝铁作用,比值越小其脱硅富铝铁越明显,而研究区土壤SA均值10.28,SAF均值8.45,表明其富铝铁作用较弱。此外,化学蚀变指数(CIA)也可指示土壤风化程度[17],一般CIA值越大,其风化程度越高,研究区土壤CIA均值74,说明为中等程度化学风化(CIA=65 ~ 75)。
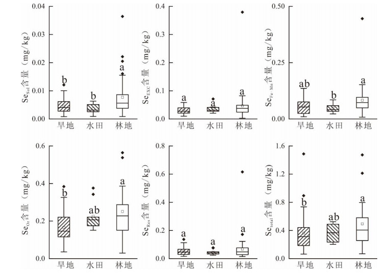
2.2 不同土地覆被类型下土壤硒赋存形态特征总体而言,不同土地覆被类型下土壤总硒呈现林地(0.495 mg/kg) > 水田(0.363 mg/kg) > 旱地(0.359 mg/kg),Kruskal-Wallis非参数检验显示林地和旱地间差异显著(P < 0.05,图 2)。研究区土壤水溶态硒和铁锰氧化物结合态硒呈现为林地(0.008、0.083 mg/kg) > 旱地(0.005、0.056 mg/kg) > 水田(0.004、0.048 mg/kg)(P < 0.05);而有机结合态硒呈现林地(0.251 mg/kg) > 水田(0.225 mg/kg) > 旱地(0.166 mg/kg)。其余两种硒赋存形态也表现为林地最高,但不同土地覆被类型间差异不显著(图 2)。依据Tan等[18]划分的土壤硒含量等级,林地、旱地和水田中分别有42.5%、37.50% 和20% 的土壤样品硒含量属于中等硒含量等级(0.175 ~ 0.40 mg/kg),而富硒含量等级(0.40 ~ 3.0 mg/kg)的样品数量分别占比35%、52.5% 和80%。
|
(SeSol:水溶态硒;SeExc:可交换态与碳酸盐结合态硒;SeFe-Mn:铁锰氧化物结合态硒;SeOr:有机结合态硒;SeRes:残渣态硒;Setotal:总硒。箱式图内中间实线表示中值,白色小方框表示平均值,箱体的下边缘线、上边缘线、下误差线、上误差线分别表示25、75、5、95百分位数;不同小写字母表示不同土地覆被下硒赋存形态存在显著差异(P < 0.05)。下图同) 图 2 不同土地覆被类型下土壤硒赋存形态特征 Fig. 2 Characteristics of soil Se forms under different land use/cover types |
土地覆被转换下,土壤总硒、水溶态硒、铁锰氧化物结合态硒和有机结合态硒均表现为次生林地(0.50、0.006、0.071和0.223 mg/kg)显著高于旱地(0.363、0.005、0.056和0.166 mg/kg)(Mann-Whitney U检验,P < 0.05,图 3),表明土壤覆被转换对土壤硒含量及其赋存形态具有显著影响。
|
图 3 旱地转林地土壤硒赋存形态变化 Fig. 3 Changes in soil Se forms after dryland transferred into forestland |
研究区林地土壤总硒及其赋存形态均高于旱地和水田(图 2),次生林地土壤硒含量及其赋存形态也均高于旱地(图 3)。前人研究表明,不同土地利用方式会对土壤基本理化性质产生影响[19–21],这可能是土地覆被变化对土壤硒含量及其赋存形态产生影响的主要因素。图 4显示,研究区土地覆被变化导致土壤pH、有机质、硅铝比和硅铝铁比具有显著性差异(Kruskal-Wallis非参数检验,P < 0.05)。
|
图 4 土地覆被变化对土壤基本理化性质的影响 Fig. 4 Impacts of land use/cover change on soil basic physicochemical properties |
土壤pH是影响土壤硒赋存形态的重要因素之一。有研究表明[22],酸性条件下,土壤中硒以易被吸附的Se(Ⅳ) 为主;随着向碱性环境转变,土壤硒赋存形态逐渐以易于迁移的Se(Ⅵ) 为主(图 5)。大量研究已揭示,局部或区域尺度的土地覆被变化能够显著影响土壤的pH[23]。特别是林地相较于旱地和水田,其更高的植被覆盖度和叶面积指数促进了更多的植被凋落物和根部分泌物的产生。在碱性土壤环境下,这些枯枝落叶层的分解过程会产生额外的H+,从而降低土壤的pH[24]。此外,植被的根部在碱性环境中会吸收更多的阳离子,并分泌一定数量的H+以维持根部土壤环境的电荷平衡[25],这也是土壤pH降低的一个重要机制。本研究中,尽管林地、旱地和水田3种土地覆被方式的土壤pH差异不显著(图 4A),均值分别为6.04、6.24和6.50,均处于弱酸性范围(5.5 ~ 6.5),但这并不排除长期土地覆被变化对土壤pH潜在影响的积累效应。事实上,研究区土壤pH与总硒、铁锰氧化态硒呈显著负相关关系(图 6),这进一步证明了土壤pH对硒含量及其赋存形态的重要影响。除此之外,土壤的pE值(指示土壤氧化还原强度)也是控制硒价态的重要因素。一般情况下,若pE+pH > 15,则土壤中主要为Se(Ⅵ)(图 5)。当pE值降低时,Se(Ⅵ)向Se(Ⅳ)、Se(0) 和Se(-Ⅱ) 转变。这种变化过程在林地(天然林和次生林)中尤为显著,因为林地土壤湿度较高,温度低,透气性较差[20],这些条件有利于硒向低价转变,从而导致硒在土壤中的累积。相反,旱地土壤温度高,透气性较好,易使硒向高价转变,增加了硒的迁移性和流失风险。
|
图 5 硒的pE-pH图(25℃,1 bar,离子强度为0)[22] Fig. 5 pE-pH diagram of Se (at 25℃, 1 bar, Ionic Strength = 0) |
|
(*表示相关性达P < 0.05显著水平) 图 6 土壤硒赋存形态与土壤基本理化参数相关性热图 Fig. 6 Correlation Heatmap of soil Se forms with soil basic properties |
土壤有机质是影响硒在土壤中累积的另一个重要因素[26]。本研究中,天然林与次生林土壤有机质含量均高于旱地(图 4B)。这直接关联到土地覆被变化对土壤有机质含量的影响,因为土地覆被变化会直接影响有机质的输入量及其在土壤中的周转速率。例如,对河北省遵化县土地利用变化的研究指出,旱地经退耕还林转变为林地后,土壤的有机质含量显著提升[27]。类似地,山西省宁陕县寨沟流域的研究结果也揭示了不同退耕年限下,土地覆被方式改变后土壤有机质含量增高,且随时间的推移这种变化更显著[28]。不同土地覆被类型下,土壤有机结合态硒占比最高(均高于53%,图 7),这与多数前人研究结果一致[29–31]。土壤有机质主要通过吸附、络合和螯合等方式影响土壤硒形态[31]。土壤中小分子有机酸可溶解和释放固持在土壤颗粒表面的硒,从而增加土壤硒的生物有效性。但土壤中大分子有机物会与硒螯合,以降低土壤中硒的移动性。前人研究发现[31],有机质含量较高的土壤中多富集含氧官能团,易于硒螯合,导致土壤硒有效性下降,偏酸性土壤条件下这些官能团与硒螯合能力更强。图 6显示,土壤有机质与土壤总硒、可交换态与碳酸盐结合态硒、铁锰氧化物结合态硒、有机结合态硒和残渣态硒均有显著正相关关系。研究区天然林和次生林有机质含量均高于旱地,从而林地硒含量及其赋存形态也高于旱地。
|
图 7 土地覆被变化下土壤硒形态占比 Fig. 7 Proportions of soil Se forms under different land use/cover changes |
研究区不同土地覆被类型下,土壤中铁锰氧化物结合态硒含量占比13.5% ~ 18.6%,处于第二位(图 7),说明土壤中铁锰氧化物对土壤硒含量及其赋存形态也具有重要影响。铁锰氧化物是影响土壤环境中元素迁移转化和污染的重要成分之一,其巨大的比表面积及其表面丰富的吸附点位对土壤中的金属离子和含氧酸根有专性吸附和胶结作用[32]。并且,铁锰氧化物的含量与形态分布受土地覆被方式转变的显著影响。本研究中水田的铁锰氧化物结合态硒平均含量占比(13.5%)低于旱地(18.2%),这与湖南地区红壤土地利用变化研究中得到的结果相吻合,即水田转为旱地后,铁锰氧化物的活化度有所降低[33]。这一变化进一步证实了土地覆被变化能够直接影响土壤中铁锰氧化物的性质与活性,进而间接调控硒等元素的赋存形态与分布。前人研究表明[4, 34],土壤铁锰氧化物具有较强的吸附能力,因而对土壤硒形态具有显著影响。具体而言,Se(Ⅵ) 主要通过静电吸附于铁锰氧化物表面,而Se(Ⅳ) 与铁锰氧化物形成内层络合物[35]。当pH较低时,铁锰氧化物表面产生较多的正电荷,促进硒的吸附;随着pH升高,土壤中OH–含量增加,产生与Se(Ⅵ) 和Se(Ⅳ) 的竞争吸附,降低铁锰氧化物对硒的吸附能力。研究区广泛发育紫色碎屑岩[36-37],风化成的紫色土含铁量较高,这一地质背景很可能促进了土壤硒的富集过程,进一步强化了土地覆被变化对土壤硒含量及其形态分布的综合影响。
土壤风化过程对土壤中元素富集亏损、迁移转化具有显著影响[38-39]。研究区地处亚热带季风气候区,年均降水量1 001 mm,年均气温18.4 ℃,主要为化学和生物风化作用[40]。研究区不同土地覆被类型下,土壤硅铝比和硅铝铁比具有显著性差异(图 4),表现为旱地高于林地(天然林和次生林),说明旱地土壤风化程度弱于林地。可能原因是研究区广泛出露紫色土(紫色土为初育土),若土地长期人为活动,易产生水土流失[41],导致旱地表层土壤得不到充分风化,而林地土壤流失少,表层土壤可得到较充分风化,进而导致林地土壤硒元素富集。研究区土壤风化淋溶系数、硅铝比、硅铝铁比与土壤硒含量呈不显著负相关关系,而化学蚀变指数与土壤硒含量及其赋存形态呈显著正相关关系(图 6),进一步验证了林地(天然林和次生林)土壤风化程度较高,从而土壤硒元素较富集。
4 结论1) 不同土地覆被类型对土壤硒含量及其赋存形态具有显著影响。林地土壤的总硒含量显著高于旱地和水田;且林地土壤中的水溶态硒、铁锰氧化物结合态硒和有机结合态硒含量也均高于旱地和水田,尤其是有机结合态硒在林地中含量最高,而在旱地中最低。
2) 土地覆被转换对土壤硒含量及其赋存形态具有显著影响。旱地转次生林后,次生林地土壤的总硒含量及其水溶态硒、铁锰氧化物结合态硒和有机结合态硒的含量均有所增加。
3) 土壤硒赋存形态以有机结合态为主,林地(天然林和次生林)土壤硒及有机质含量显著高于旱地,体现出明显的土地利用类型差异。
| [1] |
Qu L L, Xu J Y, Dai Z H, et al. Selenium in soil-plant system: Transport, detoxification and bioremediation[J]. Journal of Hazardous Materials, 2023, 452: 131272 ( 0) |
| [2] |
Pi K F, Van Cappellen P, Gan Y Q, et al. Fluvial deposition and land use change control selenium occurrence in mollisols of cold region agroecosystems[J]. Environmental Science & Technology, 2023, 57(1): 751-760 ( 0) |
| [3] |
Kushwaha A, Goswami L, Lee J, et al. Selenium in soil-microbe-plant systems: Sources, distribution, toxicity, tolerance, and detoxification[J]. Critical Reviews in Environmental Science and Technology, 2022, 52(13): 2383-2420 ( 0) |
| [4] |
周菲, 彭琴, 王敏, 等. 土壤–植物体系中硒生物有效性评价研究进展[J]. 科学通报, 2022, 67(6): 461-472 ( 0) |
| [5] |
周鑫斌, 于淑慧, 谢德体. pH和三种阴离子对紫色土亚硒酸盐吸附–解吸的影响[J]. 土壤学报, 2015, 52(5): 1069-1077 ( 0) |
| [6] |
覃建勋, 付伟, 郑国东, 等. 广西岩溶区表层土壤硒元素分布特征与影响因素探究——以武鸣县为例[J]. 土壤学报, 2020, 57(5): 1299-1310 ( 0) |
| [7] |
刘永林, 吴梅, 刘睿, 等. 地质高背景区成土母岩对表土硒含量及其生物有效性的影响[J]. 土壤, 2022, 54(4): 834-840 ( 0) |
| [8] |
Luo K L, Xu L R, Tan J A, et al. Selenium source in the selenosis area of the Daba region, South Qinling Mountain, China[J]. Environmental Geology, 2004, 45(3): 426-432 ( 0) |
| [9] |
刘永林, 赵家宇, 刘怡, 等. 重庆侏罗纪地层区土壤硒含量分异: 以江津和石柱地区为例[J]. 现代地质, 2023, 37(6): 1644-1654 ( 0) |
| [10] |
IPCC. The physical science basis—Summary for policymakers. contribution of WG1 to the fourth assessment report of the intergovernmental panel on climate change[M].
Cambridge University Press, Cambridge, UK, 2014
( 0) |
| [11] |
Smith P. Land use change and soil organic carbon dynamics[J]. Nutrient Cycling in Agroecosystems, 2008, 81(2): 169-178 ( 0) |
| [12] |
Mponela P, Snapp S, Villamor G B, et al. Digital soil mapping of nitrogen, phosphorus, potassium, organic carbon and their crop response thresholds in smallholder managed escarpments of Malawi[J]. Applied Geography, 2020, 124: 102299 ( 0) |
| [13] |
Mak-Mensah E, Zhao W C, Zhou X J, et al. Impact of maize straw biochar and tied-ridge-furrow rainwater harvesting on soil erosion and soil quality in a semiarid region[J]. Soil Use and Management, 2023, 39(4): 1304-1320 ( 0) |
| [14] |
冯志刚, 马强, 李石朋, 等. 碳酸盐岩风化壳岩–土界面风化作用机制——对岩粉层淋溶模拟的初步研究[J]. 地质学报, 2013, 87(1): 119-132 ( 0) |
| [15] |
Qiu S F, Zhu Z Y, Yang T, et al. Chemical weathering of monsoonal Eastern China: Implications from major elements of topsoil[J]. Journal of Asian Earth Sciences, 2014, 81: 77-90 ( 0) |
| [16] |
Nesbitt H W, Young G M. Early Proterozoic climates and plate motions inferred from major element chemistry of lutites[J]. Nature, 1982, 299(5885): 715-717 ( 0) |
| [17] |
陈田圆, 吕镔, 李嘉伟, 等. 化学蚀变指数(CIA)反映湿润亚热带风化壳型土壤风化强度的适用性探讨[J]. 第四纪研究, 2024, 44(2): 551-562 ( 0) |
| [18] |
Tan J A, Zhu W Y, Wang W Y, et al. Selenium in soil and endemic diseases in China[J]. Science of The Total Environment, 2002, 284(1/2/3): 227-235 ( 0) |
| [19] |
李敬杰, 杨涛, 王明国, 等. 三江平原东部土壤和农作物硒含量特征及影响因素[J]. 环境科学, 2024, 45(10): 6195-6206 ( 0) |
| [20] |
Xiao K C, Tang J J, Chen H, et al. Impact of land use/land cover change on the topsoil selenium concentration and its potential bioavailability in a karst area of southwest China[J]. Science of The Total Environment, 2020, 708: 135201 ( 0) |
| [21] |
鲁晨妮, 朱日清, 孙达, 等. 浙北地区不同土地利用方式对土壤理化性质的影响[J]. 土壤, 2024, 56(4): 906-913 ( 0) |
| [22] |
Séby F, Potin-Gautier M, Gifaut E, et al. A critical review of thermodynamic data for selenium species at 25℃[J]. Chemical Geology, 2001, 171(3/4): 173-194 ( 0) |
| [23] |
Hong S B, Piao S L, Chen A P, et al. Afforestation neutralizes soil pH[J]. Nature Communications, 2018, 9: 520 ( 0) |
| [24] |
Binkley D, Richter D. Nutrient cycles and H+ budgets of forest ecosystems[M]//Richter D. Advances in ecological research. Volume 16. Amsterdam: Elsevier, 1987: 1–51.
( 0) |
| [25] |
Dakora F D, Phillips D A. Root exudates as mediators of mineral acquisition in low-nutrient environments[M]// Adu-Gyamfi J J. Food security in nutrient-stressed environments: exploiting plants' genetic capabilities. Dordrecht: Springer Netherlands, 2002: 201–213.
( 0) |
| [26] |
Li Z, Liang D L, Peng Q, et al. Interaction between selenium and soil organic matter and its impact on soil selenium bioavailability: A review[J]. Geoderma, 2017, 295: 69-79 ( 0) |
| [27] |
傅伯杰, 郭旭东, 陈利顶, 等. 土地利用变化与土壤养分的变化——以河北省遵化县为例[J]. 生态学报, 2001, 21(6): 926-931 ( 0) |
| [28] |
李根明, 孙虎, 耿海波, 等. 南水北调中线水源区土地利用变化对土壤物理性质影响的研究[J]. 农业系统科学与综合研究, 2008, 24(2): 143-147 ( 0) |
| [29] |
Qin H B, Zhu J M, Su H. Selenium fractions in organic matter from Se-rich soils and weathered stone coal in selenosis areas of China[J]. Chemosphere, 2012, 86(6): 626-633 ( 0) |
| [30] |
Wang D, Dinh Q T, Anh Thu T T, et al. Effect of selenium-enriched organic material amendment on selenium fraction transformation and bioavailability in soil[J]. Chemosphere, 2018, 199: 417-426 ( 0) |
| [31] |
Dinh Q T, Cui Z W, Huang J, et al. Selenium distribution in the Chinese environment and its relationship with human health: A review[J]. Environment International, 2018, 112: 294-309 ( 0) |
| [32] |
龙灵芝. 不同水分管理方式下磷酸盐对水稻土中镉吸附和转化的影响[D]. 长沙: 湖南大学, 2017.
( 0) |
| [33] |
张秋. 土地利用方式转变对重金属在土壤中吸附特征和形态分布的影响研究[D]. 长沙: 湖南大学, 2019.
( 0) |
| [34] |
冯璞阳, 李哲, 者渝芸, 等. 我国18种不同理化性质的土壤对硒酸盐的吸附解吸作用研究[J]. 环境科学, 2016, 37(8): 3160-3168 ( 0) |
| [35] |
刘宏芳, 连夏雨, 张静慧. 纳米铁锰氧化物对硒Se(Ⅳ)的吸附研究[J]. 中北大学学报(自然科学版), 2021, 42(1): 50-55 ( 0) |
| [36] |
刘才泽, 王永华, 曾琴琴, 等. 成渝典型地区土壤硒地球化学特征及其成因分析[J]. 物探与化探, 2018, 42(6): 1289-1295 ( 0) |
| [37] |
Wen Y B, Li W, Yang Z F, et al. Enrichment and source identification of Cd and other heavy metals in soils with high geochemical background in the karst region, Southwestern China[J]. Chemosphere, 2020, 245: 125620 ( 0) |
| [38] |
Barreto M S C, Elzinga E J, Rouff A A, et al. Zinc speciation in highly weathered tropical soils affected by large scale vegetable production[J]. Science of The Total Environment, 2024, 916: 170223 ( 0) |
| [39] |
Liu Y L, Zhao J Y, Tian X L, et al. Stratum affects the distribution of soil selenium bioavailability by modulating the soil physicochemical properties: A case study in a Se-enriched area, China[J]. Journal of Environmental Management, 2024, 358: 120838 ( 0) |
| [40] |
孙国新, 李媛, 李刚, 等. 我国土壤低硒带的气候成因研究[J]. 生物技术进展, 2017, 7(5): 387-394 ( 0) |
| [41] |
徐露, 张丹, 向宇国, 等. 不同耕作措施下金沙江下游紫色土区坡耕地产流产沙特征[J]. 山地学报, 2020, 38(6): 851-860 ( 0) |
2. Chongqing Key Laboratory of Carbon Cycle and Carbon Regulation of Mountain Ecosystem, Chongqing Normal University, Chongqing 401331, China;
3. Chongqing Key Laboratory of Major Geological Events and Resource Environmental Effects, Chongqing Institute of Geology and Mineral Resources, Chongqing 401120, China;
4. Zunyi Normal University, Zunyi, Guizhou 563006, China
2025, Vol. 57



0)