2. 南京农业大学生命科学学院, 南京 210095;
3. 江苏大学环境与安全工程学院, 江苏镇江 212013
土壤盐渍化是指可溶性盐在土壤中积累,破坏土壤的基本理化性质,导致其质量降低的过程[1]。土壤盐渍化问题在世界范围内普遍存在,据联合国粮食及农业组织(FAO)不完全统计,全球有超过8.33亿hm2盐渍化土壤,约占世界农业用地面积的20%,严重影响了世界粮食安全生产和灌溉农业的可持续发展[2]。中国是世界上盐渍土分布面积最广的国家之一,各类可利用盐渍土总面积达3.69×107 hm2[1],其成因各异,分布广泛,其中,滨海盐渍土面积约为5×106 hm2,主要分布在环渤海及沿黄海地区。盐渍化土壤盐分含量高、土壤结构板结、肥力低下、微生物多样性与酶活性较低,影响土壤养分的分解与释放,阻碍植物健康生长[3]。因此,合理地改良利用滨海盐渍土对我国耕地质量提升和维持生态系统可持续发展具有重要意义。
近年来,随着人们对生态农业和可持续农业的重视,有机物料在盐渍土改良中的应用日益广泛。外源有机物料的输入可显著降低土壤盐碱度[4],增加土壤有机质和养分含量[5],提高土壤微生物活性[6],促进作物生长[7]。前人研究表明,秸秆还田可显著提升盐渍土壤有机质的含量,提高盐渍土大团聚体占比,改善土壤团聚结构,增强盐渍土壤有机碳的稳定性[8];同时,秸秆降解过程中可为微生物提供丰富的碳氮源,刺激微生物生长,从而促进土壤养分周转积累,改善作物根系的生长环境,促进作物生长[9]。有研究表明,施用酒糟可使土壤碱化度和pH显著降低,有机质含量显著提升[10-11]。酒糟中大量的有机酸能够与土壤中的OH–发生反应,从而改善盐渍土的酸碱环境[10];其次,酒糟含有丰富的蛋白质、氨基酸、微量元素和微生物活性物质,这些营养成分在酶的催化作用下转化释放,可有效增加盐渍土有机质和养分含量[11]。菌菇渣具有疏松多孔的结构,能够改善土壤的透水通气性,有助于土壤盐分淋洗;同时菌菇渣中残留大量的食用菌菌丝体和可溶性有机营养,能有效提高土壤养分供应能力[12]。王春霞等[13]研究表明,菌菇渣的施用可显著降低盐渍土壤容重和pH,提高土壤酶活性,促进土壤有机质积累。天然腐殖质(MT材料)含有丰富的腐殖酸钾和惰性有机碳等,能高效提升土壤有机质[14];同时MT材料疏松多孔、比表面积大,可有效改善土壤结构[15],但MT材料在盐渍土改良中的研究还较为欠缺。总之,不同有机物料针对盐渍土的改良效果各有侧重,但不同种类的有机物料在滨海盐渍土壤改良和作物生长中的作用效果有何差异未见报道,不同有机物料的最佳施用量也仍需要进一步研究。
大豆作为我国重要的粮食作物和油料作物,其产量仅次于水稻、小麦和玉米,是我国农业生产中的重要支柱。大豆种子含丰富的油脂和植物蛋白,具有极高的经济价值,且大豆属于中度耐盐植物,具有一定的抗逆能力[16]。因此,本研究选取玉米秸秆、酒糟、金针菇菌渣、双孢菇菌渣和MT材料5种有机物料开展大豆盆栽试验,通过对比分析不同有机物料种类及施用量处理下滨海盐渍土的理化性质、生物活性以及大豆生长等指标,旨在揭示不同有机物料对滨海盐渍土改良和大豆生长的作用效果,以期为滨海盐渍土的改良与地力提升提供有力的科学依据和理论支撑。
1 材料与方法 1.1 供试材料供试土壤采自江苏省盐城市新洋农业试验站(120.262°E,33.322°N),土壤类型为滨海盐渍土,采集后将土壤风干,去除植物根系和小石砾等,过2 mm筛备用。供试土壤基本理化性质如下:pH为9.15,含盐量为2.37 g/kg,有机质为11.58 g/kg,全氮为0.59 g/kg,全磷为0.36 g/kg,全钾为16.74 g/kg,速效氮为4.68 mg/kg,有效磷为12.26 mg/kg,速效钾为167.5 mg/kg。供试有机物料为玉米秸秆、酒糟、金针菇菌渣、双孢菇菌渣、MT材料。其中酒糟、金针菇菌渣和双孢菇菌渣由南京宁粮生物工程有限公司提供,MT材料由江苏省中向旭曜科技有限公司提供。将5种有机物料风干粉碎(< 0.5 cm)后备用。供试有机物料的基本理化性质如表 1所示。供试大豆品种为“苏豆37”,由江苏省农业科学院经济作物研究所提供。
|
|
表 1 供试有机物料的基本理化性质 Table 1 Basic physiochemical properties of tested organic materials |
试验共设置5种不同有机物料处理,每种有机物料以等碳量为基准设置低、中、高3种施用量梯度,分别为C 1、2、4 g/kg土[17],以不添加有机物料为对照,共16个处理,每个处理设置4次重复。试验处理与有机物料施用量详见表 2。称取风干过筛的土壤0.5 kg(烘干基重),并按照处理加入相应量的有机物料,将有机物料与土壤混匀,装入塑料盆钵中(盆钵上口径10 cm,底直径7.8 cm,高8.5 cm),充分浇水并放置48 h后种植大豆。
|
|
表 2 不同有机物料的施用量(g) Table 2 Application amounts of different organic materials |
选择饱满且大小一致的大豆种子用去离子水清洗干净,随后用75% 酒精浸泡30 s,再用5% 次氯酸钠溶液浸泡5 min,最后用清水冲洗3次,以达到除菌效果[18]。大豆萌发阶段,将其均匀铺于1% 水琼脂平板上,28 ℃催芽2 d后进行播种。以五点法播种大豆,每盆播种5粒,埋种深度为2 cm,生长至三叶期进行定苗,每盆保留2株长势相同的大豆幼苗。盆栽置于江苏省农业科学院农业资源与环境研究所温室大棚中生长,后期适时适量浇水,维持土壤水分在60% 田间持水量。
1.3 样品采集大豆生长42 d后进行破坏性取样,将每盆植株连根取出,用于测定作物生长及生理指标。将土壤分成两份,其中一份风干后用于土壤理化性质测定,另一份于4 ℃保存,用于土壤微生物生物量碳与碳氮磷周转相关酶活性测定。
1.4 测定项目与方法 1.4.1 植物指标测定生物量:将植株洗净用滤纸吸干表面水分后放入烘箱中,105 ℃杀青30 min后于75 ℃烘干至恒重,测定干物质量。
脯氨酸:将新鲜叶片用3% 的磺基水杨酸提取后测定[19]。Na+、K+:将大豆地上部烘干样粉碎后用2 mol/L盐酸浸提,随后用火焰光度计测定。
1.4.2 土壤指标测定土壤相关指标的测定参照《土壤农化分析》[20]进行。pH采用pH计测定土水质量比1∶5。土壤含盐量采用残渣烘干–质量法测定。有机质采用重铬酸钾–外加热法测定;有效磷采用碳酸氢钠–钼锑抗比色法测定;硝态氮和铵态氮用2 mol/L的KCl溶液浸提后用流动分析仪测定,将土壤硝态氮和铵态氮之和作为速效氮;微生物生物量碳采用氯仿熏蒸–硫酸钾浸提后用TOC仪测定,其中未熏蒸样品用于表征可溶性有机碳。β-葡萄糖苷酶、N-乙酰氨基葡萄糖苷酶、碱性磷酸酶分别以对硝基苯-β-D-吡喃葡萄糖苷、对硝基苯乙酰基氨基葡萄糖苷和对硝基苯磷酸二钠盐为底物进行测定[21]。
1.5 数据统计分析采用SPSS 26软件对数据进行处理与分析,使用GrapHPad Prism 8.0.2软件作图。采用单因素方差分析和最小显著差异法(LSD)比较各处理间的差异显著性。
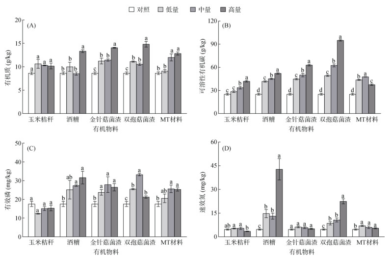
2 结果与分析 2.1 不同有机物料对滨海盐渍土pH和含盐量的影响施用5种有机物料均能在一定程度上降低土壤pH(图 1A),与未施有机物料的对照相比,不同施用量的酒糟、双孢菇菌渣对pH降低的效果最显著,可使土壤pH降低0.29 ~ 0.75和0.28 ~ 0.83。此外,高量的玉米秸秆和中量的MT材料处理也能显著降低滨海盐渍土pH,但金针菇菌渣处理下土壤pH无显著变化。
|
(图中小写字母不同表示同一有机物料不同用量及对照处理间差异达P < 0.05显著水平,下同) 图 1 不同有机物料对滨海盐渍土壤pH和含盐量的影响 Fig. 1 Effects of different organic materials on soil pH and salinity |
与对照相比,施用低量的玉米秸秆、酒糟、金针菇菌渣、双孢菇菌渣均能显著降低土壤含盐量,其降低幅度为26.2% ~ 45.6%;然而,随着施用量的增加,这些有机物料对土壤的降盐效果减弱(图 1B)。与此相反,MT材料处理对土壤含盐量的降幅随着施用量的增加而增大,高量施用MT材料可使土壤含盐量由2.4 g/kg降至0.9 g/kg。各有机物料处理对土壤的降盐效果表现为:高量MT材料 > 中量玉米秸秆 > 低量金针菇菌渣 > 低量酒糟 > 低量双孢菇菌渣。
2.2 不同有机物料对滨海盐渍土有机质与氮磷养分含量的影响滨海盐渍土有机质和可溶性有机碳含量总体表现出随有机物料施用量的增加而上升的趋势(图 2A,2B),但不同有机物料种类及其施用量对有机质和可溶性有机碳含量的影响有所差异。不同施用量的金针菇菌渣和双孢菇菌渣处理均显著提高土壤有机质含量,提升幅度分别为29.9% ~ 63.0% 和22.2% ~ 71.6%;高量酒糟和中高量MT材料的施用也显著增加土壤有机质含量;而不同施用量的玉米秸秆对滨海盐渍土有机质含量均无显著影响,但仍能提升17.7% ~ 23.0%。双孢菇菌渣处理下土壤可溶性有机碳含量显著高于其他有机物料处理,相较于对照处理,低、中、高量双孢菇菌渣处理可溶性有机碳含量的提升幅度为1.0倍、1.5倍和2.8倍。
|
图 2 不同有机物料对滨海盐渍土壤养分含量的影响 Fig. 2 Effects of different organic materials on soil nutrient contents |
金针菇菌渣、双孢菇菌渣和MT材料的施用能显著提升滨海盐渍土有效磷含量,随着施用量的梯度增长,土壤有效磷含量呈先增加后降低的趋势(图 2C),其中,中量施用双孢菇菌渣对土壤有效磷提升效果最佳,较对照相比,有效磷含量提升了89.4%。酒糟、双孢菇菌渣和MT材料的施用可显著提升土壤速效氮含量,玉米秸秆和金针菇菌渣施用对土壤速效氮含量的影响不显著(图 2D)。酒糟和双孢菇菌渣处理下,速效氮含量随着施用量的增加而增加,分别增加了1.8倍~ 8.1倍和0.8倍~ 3.8倍;而MT材料处理下,土壤速效氮含量呈先增加后降低的趋势。
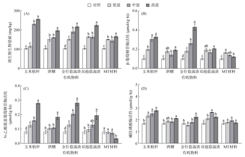
2.3 不同有机物料对滨海盐渍土土壤微生物活性的影响不同有机物料种类及其施用量均能不同程度地提高土壤微生物生物量碳含量以及β-葡萄糖苷酶、N-乙酰氨基葡萄糖苷酶和碱性磷酸酶活性(图 3)。土壤微生物生物量碳含量随着有机物料施用量的增加而显著提升,其中高量玉米秸秆处理对于提升土壤微生物活性的效果最显著,可使土壤微生物生物量碳含量较对照提高1.5倍;高量酒糟、金针菇菌渣、双孢菇菌渣和MT材料处理则分别比对照处理提高90.9%、110.7%、117.5%、61.2%(图 3A)。除MT材料处理外,β-葡萄糖苷酶和N-乙酰氨基葡萄糖苷酶活性均随有机物料施用量的增加呈上升趋势(图 3B、3C)。与对照处理相比,高量金针菇菌渣处理土壤β-葡萄糖苷酶和N-乙酰氨基葡萄糖苷酶活性显著提升了3.3倍和2.6倍。而碱性磷酸酶活性在玉米秸秆和双孢菇菌渣处理下提升效果最好,分别提高了39.6% ~ 66.7% 和25.0% ~ 57.6%(图 3D)。
|
图 3 不同有机物料对滨海盐渍土土壤微生物活性的影响 Fig. 3 Effects of different organic materials on soil microbial activities |
不同有机物料种类及施用量对大豆生物量及脯氨酸含量的影响如图 4所示,低量金针菇菌渣和双孢菇菌渣处理大豆干物质量分别增加20.9% 和16.2%。值得注意的是,随着双孢菇菌渣施用量的增加,大豆生物量呈显著降低趋势。玉米秸秆、酒糟、金针菇菌渣和MT材料处理下植物体内脯氨酸含量均呈降低趋势,高量MT材料的施用使脯氨酸含量显著降低了53.3%。与此相反,施用低量双孢菇菌渣处理脯氨酸含量降低21%,但随着双孢菇菌渣施用量增加,植物体内脯氨酸含量显著提升1.7倍。
|
图 4 不同有机物料对大豆生长与渗透调节物质的影响 Fig. 4 Effects of different organic materials on soybean growth and osmoregulatory substances |
不同有机物料的施用可显著提高大豆地上部K+含量,降低地上部Na+/K+的比值(图 4C,4D)。MT材料和金针菇菌渣处理显著增加了K+含量,但不同施用量间差异不显著,而其余有机物料处理下大豆K+含量均随着施用量的增加呈增长趋势。与对照处理相比,有机物料低施用量下,金针菇菌渣处理的K+含量提升效果最佳,K+含量达11.8 mg/g;而中、高施用量下,双孢菇菌渣处理的K+含量最高,分别为12.8 mg/g和13.5 mg/g。低、高施用量下金针菇菌渣处理和低施用量下双孢菇菌渣处理对Na+/K+的比值降低效果最明显,降低幅度分别为64.5%、73.1% 和59.3%;而中施用量的情况下,不同有机物料之间Na+/K+的比值无显著差异。
2.5 不同有机物料处理下大豆生长与土壤理化性质和微生物活性指标的相关性通过对作物生长类指标与土壤理化性质和微生物活性指标的相关性分析(表 3)发现,大豆干物质量和土壤含盐量呈显著负相关,与土壤pH呈显著正相关(P < 0.05)。K+含量与土壤有机质、微生物生物量碳含量、β-葡萄糖苷酶呈显著正相关,与可溶性有机碳、N-乙酰氨基葡萄糖苷酶呈极显著正相关(P < 0.01),Na+/K+与土壤有效磷含量呈显著负相关。
|
|
表 3 大豆生长与土壤理化性质和微生物活性指标的相关性 Table 3 Correlation between soybean growth with soil physicochemical properties and microbial activity indexes |
土壤含盐量是限制作物生长的障碍因素,土壤pH直接影响土壤中养分的存在形态、转化过程及有效性,并与土壤含盐量存在潜在关联[22]。本研究表明,施用不同有机物料对土壤含盐量和pH的影响有较大差异。MT材料处理能显著降低土壤含盐量,并且随着施用量的增加,降盐效果越好。这是由于MT材料富含多种有机官能团,这些官能团能够与土壤中的盐分发生离子交换作用,从而降低土壤中的可溶性盐含量;同时MT材料也具有高度发达的孔隙结构,能够吸附和固定土壤中的盐分,减少盐分在土壤中的迁移和积累,进而降低土壤含盐量[23]。酒糟和双孢菇菌渣的施用能显著降低滨海盐渍土pH,且随着施用量的增加,降低效果更加明显。这主要归因于酒糟和双孢菇菌渣在土壤中分解有机酸或释放阳离子,置换盐渍土壤胶体的Na+,抑制了强碱弱酸盐的形成,改变土壤化学形态,从而降低土壤pH[4]。然而,尽管酒糟和双孢菇菌渣在降低土壤pH方面表现出积极效果,但随着它们施用量的增加也导致了土壤盐分的积累。这是因为酒糟和双孢菇菌渣本身含有较高的盐分,即使能在一定程度上置换Na+,但置换量远小于其本身带入的盐基离子含量;且由于盆栽试验的局限,这些盐分难以通过淋溶作用流失,因此最终导致土壤中的盐分增加。
土壤有机质贮存量是有机物料在土壤环境中腐殖化及矿化过程的结果。本研究中5种不同有机物料的施用均能不同程度提高滨海盐渍土壤有机质含量。这是因为土壤中增加有机改良物质可以改善土壤结构,有利于植物生长,并且有机物料本身含有的营养成分也能提高土壤中的有机质含量[24]。此外,除玉米秸秆外,其他有机物料的施用一定程度提升了土壤速效氮和有效磷含量,这可能是由于玉米秸秆中的氮素主要以木质素的形式存在,磷素主要以离子的形式存在,秸秆在土壤中的腐解速率相对较慢,释放到土壤中的速效氮磷养分含量较低[6];而不同用量的酒糟和双孢菇菌渣施用下土壤有效磷和速效氮含量提升效果较好,且随着施用量的增加而增加,这是因为酒糟和双孢菇菌渣中本身含有丰富的有机质、蛋白质、氨基酸、易分解的磷酸盐以及交换吸附态的磷酸根离子等,并且盐渍土pH的降低也会促进速效养分的释放,因此促进了土壤中的有效磷和速效氮的积累[25]。
3.2 有机物料对滨海盐渍土微生物活性的作用土壤微生物在有机质和氮磷养分循环转化过程中有着关键作用,微生物生物量和酶活性是表征土壤微生物生化过程的重要指标[26]。本研究表明,有机物料施用量的增加显著提升了土壤微生物生物量碳含量,尤其是中、高量玉米秸秆处理效果最为显著。这是因为秸秆C/N较高,秸秆中的碳在腐解过程中转化成微生物生物量碳,促进微生物生长代谢,从而增加了微生物生物量及活性[6]。此外,中、高量有机物料还会改良盐渍土壤物理结构,改善微生物栖息地环境,从而间接促进了微生物生物量的积累[5]。
土壤β-葡萄糖苷酶和N-乙酰氨基葡萄糖苷酶作为参与碳循环和氮循环的关键酶,其活性的提升对于提高土壤养分转化效率至关重要。本研究发现,不同施用量的秸秆、酒糟和菌菇渣均促进了两种酶活性的提升,这是因为秸秆、酒糟、菌菇渣富含纤维素和半纤维素[8, 10, 12],容易被微生物分解利用,有效刺激了碳氮周转相关的胞外酶的产生。碱性磷酸酶在土壤磷素循环中扮演重要角色,其活性变化往往与土壤磷的有效性密切相关。本研究中,碱性磷酸酶活性和有效磷含量对双孢菇菌渣不同施用量的响应一致,表明微生物分泌的磷酸酶通过水解含磷的有机化合物释放磷酸盐,从而增加土壤有效磷含量[27]。
3.3 有机物料对滨海盐渍土大豆促生抗逆的作用植物叶片中的渗透调节物质有助于增强植物对盐胁迫的耐受能力和抗逆性[28]。脯氨酸含量是衡量作物抗渗透胁迫性能和作物抗盐碱性能的重要指标,在盐胁迫条件下,植物会主动积累脯氨酸等渗透调节物质,以减轻Na+对细胞的毒害,维持正常的生理功能,从而适应高盐环境[29]。但过高的脯氨酸含量也会影响作物体内生长激素的合成与分泌,从而影响作物的生长发育。本研究发现,低量和中量施用有机物料处理均能有效降低土壤含盐量,从而减轻盐胁迫对作物的影响,降低作物体内的脯氨酸含量,进而提高了大豆生物量。值得注意的是,由于双孢菇菌渣本身含有大量盐分,随着其施用量的增加,会导致土壤盐分的累积,增强对植物的盐胁迫,使得植物体内产生大量的脯氨酸用于抵抗盐胁迫,从而抑制了作物生长,导致植物生物量显著降低。
作物对盐胁迫的响应涉及多个生理过程,其中维持Na+和K+的稳态对抗盐胁迫有着至关重要的作用[30]。本研究发现随着有机物料施用量的增加,大豆植株体内的K+含量呈逐渐上升的趋势,而Na+/K+比值显著降低。这表明有机物料的施用促进了作物对K+的吸收利用。而Na+/K+比值的降低意味着作物能够更有效地维持植物体内的Na+和K+平衡,减少由高盐环境引起的渗透胁迫,从而改善大豆的矿物质营养状况和渗透势[31],缓解盐分对大豆生长的胁迫。其中,不同施用量的金针菇菌渣均能有效降低Na+/K+比值,表明施用金针菇菌渣能较好地缓解盐胁迫对大豆生长的不利影响。
此外,本研究表明,不同有机物料施入导致的土壤性质差异也会进一步影响植物生长。秸秆主要是通过提高与大豆植株中K+的含量呈显著正相关的土壤微生物生物量碳含量和N-乙酰氨基葡萄糖苷酶活性(表 3),促进大豆植株对K+的吸收,提升大豆的抗逆耐盐性能,从而有利于大豆的生长。酒糟通过降低盐渍土pH,提升有机质、有效磷和微生物生物量碳含量,增加大豆K+的吸收,降低Na+/K+的比值,缓解盐胁迫对大豆生长的影响。金针菇菌渣促进了土壤微生物活动,有利于改善土壤结构,增加土壤的通透性,从而有助于土壤盐分的淋洗和排出[7],降低土壤的含盐量;同时金针菇菌渣中有机物质的分解、土壤酶活性的提高也显著提升了土壤速效养分含量,促进了大豆植株对K+的吸收和耐盐碱能力,进而提升了大豆生物量。双孢菇菌渣不仅能显著提升土壤有机质含量、微生物生物量碳含量、β-葡萄糖苷酶和N-乙酰氨基葡萄糖苷酶的活性,还能通过其含有的有机酸与土壤中的碱性离子发生反应,从而降低土壤pH,促进大豆生长。但值得注意的是,高量的双孢菇菌渣会增加土壤中的含盐量,从而刺激脯氨酸的合成,显著降低大豆生物量的积累。MT材料在盐渍土降盐方面效果最显著,MT材料较高的阳离子交换能力能够吸附并减少盐渍土中的可交换性Na+含量[23],从而降低土壤的含盐量;同时其本身富含的有机质为土壤微生物提供了丰富的碳源[15],促进了微生物的生长繁殖,微生物生物量的增加进一步促进了土壤中营养物质的循环和转化,促进了大豆根系对K+的吸收和利用,有利于长效的盐渍土降盐治理与大豆的生长。
4 结论不同有机物料种类和施用量对滨海盐渍土降盐培肥和大豆促生抗逆的作用效果有所差异。MT材料的施用能显著降低土壤含盐量,且随着施用量的增加,降盐效果越好。高量的双孢菇菌渣处理对有机质和可溶性有机碳的提升效果最好,而高量的酒糟和中量的双孢菇菌渣处理对速效氮和有效磷含量的提升效果较好。中、高量玉米秸秆和金针菇菌渣处理对微生物活性提升效果最显著。从作物生长效果来看,低量的金针菇菌渣和双孢菇菌渣处理能显著提升作物生物量,增加作物体内K+含量、降低Na+/K+比值,缓解盐胁迫,促进作物生长。综上所述,适量施用双孢菇菌渣等有机物料能有效改善盐渍土壤的化学和生物性质,提升土壤肥力和作物抗盐性能,促进作物生长。但在实际应用中需根据土壤条件和作物需求合理控制施用量,以充分发挥有机物料的改良效果。
| [1] |
杨劲松, 姚荣江, 王相平, 等. 中国盐渍土研究: 历程、现状与展望[J]. 土壤学报, 2022, 59(1): 10-27 ( 0) |
| [2] |
联合国粮农组织. 世界盐渍土壤分布图发布[J]. 中国农业综合开发, 2021(10): 64 ( 0) |
| [3] |
Zhang W W, Wang C, Xue R, et al. Effects of salinity on the soil microbial community and soil fertility[J]. Journal of Integrative Agriculture, 2019, 18(6): 1360-1368 ( 0) |
| [4] |
马妍, 尹建道, 张建唐, 等. 酸性残渣对天津滨海盐碱土的改良效果[J]. 江苏农业科学, 2017, 45(23): 251-253 ( 0) |
| [5] |
陈慧. 有机物料对苏打型盐碱土的改良效果研究[D]. 哈尔滨: 东北农业大学, 2023.
( 0) |
| [6] |
肖金宝, 白延倩, 杨宝平, 等. 秸秆腐解与养分释放特征对腐熟剂用量的响应[J]. 中国土壤与肥料, 2023(9): 181-191 ( 0) |
| [7] |
谢修鸿, 李玉. 姬松茸菌糠改良苏打盐碱土对土壤化学性质及牧草生长的影响[J]. 吉林农业大学学报, 2010, 32(5): 518-522 ( 0) |
| [8] |
王会, 何伟, 段福建, 等. 秸秆还田对盐渍土团聚体稳定性及碳氮含量的影响[J]. 农业工程学报, 2019, 35(4): 124-131 ( 0) |
| [9] |
马泊泊, 黄瑞林, 张娜, 等. 秸秆生物质炭对根际土壤细菌–真菌群落分子生态网络的影响[J]. 土壤学报, 2019, 56(4): 964-974 ( 0) |
| [10] |
潘保原. 土壤改良物质对盐渍化土壤改良的作用[D]. 哈尔滨: 东北林业大学, 2006.
( 0) |
| [11] |
田震, 张灿, 孙晋浩, 等. 酒糟有机肥施用对植烟土壤养分和真菌群落结构的影响[J]. 土壤, 2024, 56(3): 533-539 ( 0) |
| [12] |
王艮梅, 黄松杉, 郑光耀, 等. 菌渣作为土壤调理剂资源化利用的研究进展[J]. 土壤通报, 2016, 47(5): 1273-1280 ( 0) |
| [13] |
王春霞, 许子洁, 王晶, 等. 食用菌菌糠配施化肥改良滨海盐碱耕地的效果研究[J]. 中国土壤与肥料, 2022(4): 99-105 ( 0) |
| [14] |
郑延云, 张佳宝, 谭钧, 等. 不同来源腐殖质的化学组成与结构特征研究[J]. 土壤学报, 2019, 56(2): 386-397 ( 0) |
| [15] |
赵文慧, 马垒, 徐基胜, 等. 秸秆与木本泥炭短期施用对潮土有机质及微生物群落组成和功能的影响[J]. 土壤学报, 2020, 57(1): 153-164 ( 0) |
| [16] |
曹巍, 高惠嫣, 王鑫鑫, 等. 不同配施肥措施对滨海盐碱地大豆生长和产量的影响[J]. 江苏农业科学, 2023, 51(22): 53-60 ( 0) |
| [17] |
Fu Y Y, Luo Y, Tang C X, et al. Succession of the soil bacterial community as resource utilization shifts from plant residues to rhizodeposits[J]. Soil Biology and Biochemistry, 2022, 173: 108785 ( 0) |
| [18] |
李晓菲, 高华伟, 广慧, 等. 大豆种质资源萌发期耐莠去津鉴定评价及优异种质筛选[J]. 作物学报, 2024, 50(7): 1699-1709 ( 0) |
| [19] |
Hao L, Wang Y Q, Zhang J, et al. Coronatine enhances drought tolerance via improving antioxidative capacity to maintaining higher photosynthetic performance in soybean[J]. Plant Science, 2013, 210: 1-9 DOI:10.3969/j.issn.1009-7791.2013.01.001 ( 0) |
| [20] |
鲍士旦. 土壤农化分析(3版)[M].
中国农业出版社, 北京, 2000
( 0) |
| [21] |
Geisseler D, Horwath W R. Relationship between carbon and nitrogen availability and extracellular enzyme activities in soil[J]. Pedobiologia, 2009, 53(1): 87-98 ( 0) |
| [22] |
李擎, 吴景贵. 新型复配改良剂对苏打盐碱土改良效果研究[J]. 山东农业大学学报(自然科学版), 2023, 54(5): 746-757 DOI:10.3969/.issn.1000-2324.2023.05.015 ( 0) |
| [23] |
Akhtar S S, Andersen M N, Liu F. Biochar mitigates salinity stress in potato[J]. Journal of Agronomy and Crop Science, 2015, 201(5): 368-378 ( 0) |
| [24] |
Zhao W, Zhou Q, Tian Z Z, et al. Apply biochar to ameliorate soda saline-alkali land, improve soil function and increase corn nutrient availability in the Songnen Plain[J]. Science of The Total Environment, 2020, 722: 137428 ( 0) |
| [25] |
许子洁, 王晶, 曹子健, 等. 食用菌菌糠资源化利用的现状与研究进展[J]. 食药用菌, 2021, 29(6): 496-500 ( 0) |
| [26] |
Etesami H, Glick B R. Halotolerant plant growth–promoting bacteria: Prospects for alleviating salinity stress in plants[J]. Environmental and Experimental Botany, 2020, 178: 104124 ( 0) |
| [27] |
Acosta-Martínez V, Zobeck T M, Gill T E, et al. Enzyme activities and microbial community structure in semiarid agricultural soils[J]. Biology and Fertility of Soils, 2003, 38(4): 216-227 ( 0) |
| [28] |
Bai X F, Dai L Q, Sun H M, et al. Effects of moderate soil salinity on osmotic adjustment and energy strategy in soybean under drought stress[J]. Plant Physiology and Biochemistry, 2019, 139: 307-313 ( 0) |
| [29] |
Gao Y G, Jin Y L, Guo W, et al. Metabolic and physiological changes in the roots of two oat cultivars in response to complex saline-alkali stress[J]. Frontiers in Plant Science, 2022, 13: 835414 ( 0) |
| [30] |
王丹, 黄超, 李小东, 等. 脱硫石膏配施不同量有机物料对盐碱土壤改良效果及作物产量的影响[J]. 干旱地区农业研究, 2019, 37(1): 34-40 ( 0) |
| [31] |
Sun T J, Ma N, Wang C Q, et al. A Golgi-localized sodium/hydrogen exchanger positively regulates salt tolerance by maintaining higher K+/Na+ ratio in soybean[J]. Frontiers in Plant Science, 2021, 12: 638340 ( 0) |
2. College of Life Sciences, Nanjing Agricultural University, Nanjing 210095, China;
3. School of Environmental and Safety Engineering, Jiangsu University, Zhenjiang, Jiangsu 212013, China
2025, Vol. 57



0)