2. 云南农业大学农学与生物技术学院, 昆明 650051
溶解性有机质(Dissoved organic matter,DOM)是生态环境中极为重要且活跃的化学组分,广泛存在于土壤、水体及湖泊沉积物当中[1],在全球碳氮循环中扮演着重要作用。土壤DOM的来源十分广泛,除动植物残体、根系分泌物外,还有相当一部分来自人为活动所产生的生活污水等[2]。而土壤DOM可通过降雨淋溶等方式进入水体,对水体的化学组成和水质健康等造成一定影响[3]。
氮作为生物地球化学循环的重要元素,是植物生长和发育的必需营养元素之一,对维持土壤肥力和提高作物产量至关重要[4]。一方面,适当施加氮肥有助于提高土壤中NH4+-N和NO3--N的含量,加速凋落物的分解,促进植物对营养物质的吸收,提高作物产量与质量[5];但另一方面,过量施用氮肥不仅会破坏土壤结构,降低作物产量,甚至还会造成环境污染与生态退化,如土壤酸化、水体富营养化、温室气体排放增加等问题[6]。此外,已有研究表明,氮肥施用等农业措施除能够改变土壤环境以及微生物活性外[5],还能进一步影响土壤中DOM的化学组成与结构特征[7]。DOM因其活跃的组分特征,在土壤肥力与质量方面也起着重要作用,如向植物提供养分,促进微生物活性[8]。
近些年,光谱技术已经被众多学者应用于DOM的研究,其中紫外–可见光(Ultraviolet-visible,UV-Vis)与三维激发–发射矩阵(3D excitation-emission matrices,3D-EEMs)两种技术联合不仅具有灵敏度高、样品需求量少和操作便捷等优点,且可以快速监测DOM的相对分子量、芳香性和疏水性等[9]。现阶段,国内外利用此技术的研究多集中在农业、水体和森林土壤上,如张方方等[10]利用紫外光谱分析了农业土壤在施氮和覆膜下DOM的含量及结构组成变化;陶勇等[11]利用光谱技术探究了临江河水体DOM的来源;Zhang等[12]利用EEMs-PARAFAC研究了森林土壤荧光组分与重金属镉之间的络合作用;李帅东等[13]利用紫外光谱与荧光光谱技术结合对环滇池土壤DOM的组成结构及来源进行了探究。
洱海作为云南省九大高原湖泊之一,随着周边经济的高速发展,人类活动对洱海所产生的影响日渐加深,尤其是农业用地化肥的大量施用给洱海带来的水质污染问题已不容忽视[14]。因此,研究洱海流域不同土地利用类型下土壤氮素情况及DOM的组成结构和来源,是掌握洱海流域有机污染迁移转化的前提。
基于此,本研究以洱海流域不同土地利用类型(旱地、水田、林地、湿地)0 ~ 20 cm的表层土壤为研究对象,通过紫外吸收光谱与三维荧光光谱两种技术,结合平行因子分析法(Parallel factor analysis,PARAFAC),分析了洱海流域不同土地利用类型表层土壤氮素特征,DOM的组成结构、来源以及DOM与土壤氮素之间的相互作用,以为进一步探讨DOM对污染物迁移转化及土壤氮转化的影响提供理论依据。
1 材料与方法 1.1 研究区概况研究区位于云南省西部大理州洱源县的洱海流域(25°30' N ~ 26°00' N,100°00' E ~100°30' E,图 1)。洱海是仅次于滇池的云南省第二大湖泊,流域内属低纬高原亚热带季风气候,平均海拔为1 913.6 m,年降水量1 000 ~ 1 100 mm,年平均气温14.8 ℃,雨量充沛但不均匀,干湿季明显,95% 的降雨集中在5—10月。
|
图 1 研究区域及采样点示意 Fig. 1 Study area and sampling sites |
2023年8月于洱海流域使用“S”形布点法采集旱地、水田、林地、湿地0 ~ 20 cm的表层土壤,每个样品由四分法混合组成,共计20个样品,分别为:旱地H1 ~ H7,水田S1 ~ S7,林地L1 ~ L3,湿地SD1 ~ SD3。湿地与林地采样因存在采样困难、道路不通、湿地管制等问题,同时为避开人为活动影响较大的林地,因此选取了洱海流域具有代表性的湿地与林地进行采样,且为保证数据的可靠性,湿地与林地各采样地均使用随机采样法采取3个点。将采集后的土壤样品迅速带回实验室,一部分鲜样置于4 ℃冰箱保存,后续用于NO3--N的测定,其余土样置于干燥阴凉处风干,拣去植物根系、石块等杂物,研磨过2 mm筛,避光保存至自封袋中,待用。
1.3 指标测定 1.3.1 土壤理化指标测定土壤基本理化指标参照鲍士旦的《土壤农化分析》[15]进行测定。土壤溶解性有机碳(DOC)采用总有机碳/总氮分析仪Multi N/C 3100(德国耶拿)测定;全氮(TN)采用半微量凯氏法测定;NH4+-N采用靛酚蓝比色法于630 nm波长下比色测定;NO3--N采用1 mol/L KCl溶液浸提后于220 nm和275 nm下比色测定。
1.3.2 土壤DOM提取土壤DOM的提取采用水土振荡法[16],即按照10∶1的水土质量比,准确称取4.00 g土样,置于50 mL离心管当中,同时加入40 mL超纯水,遮光放入摇床以180 r/min振荡24 h。振荡结束后取出,采用高速冷冻离心机8 000 r/min离心10 min,取上清液过0.45 μm滤膜,滤液于4 ℃下黑暗保存待测。
1.3.3 紫外光谱测定紫外–可见光谱采用UV- 5500PC测定,以超纯水为空白,扫描范围为200 ~ 600 nm,波段间隔1 nm,石英比色皿光程路径为10 mm。其中,紫外光谱参数a(355)根据式(1)计算,SUVA254和SUVA260根据式(2)计算,SR根据式(3)进行计算,E2/E3为波长250 nm与365 nm下的吸光度比值,即A(250)/A(365)。SR与E2/E3可以表征土壤DOM的相对分子量,且与分子量呈负相关[17]。
| $ a(\lambda)=2.303 A(\lambda) / r $ | (1) |
式中:λ为波长(nm);a(λ)为波长λ处的吸收系数(m-1);A(λ)为吸光度;r为比色皿光程路径(m)。
| $ {\rm SUVA}_{λ}=a(λ)/c_{\rm DOC} $ | (2) |
式中:SUVAλ为DOM在波长λ处的平均摩尔吸收率;a(λ)为波长λ处的吸收系数(m-1);cDOC为溶解性有机碳含量(mg/kg)。
| $ S_{\rm R}=S_{275-295}/S_{350-400} $ | (3) |
式中:SR为光谱斜率比值;S275-295为波长275 ~ 295 nm范围下的斜率;S350-400为350 ~ 400 nm范围下的斜率。
1.3.4 荧光光谱测定三维荧光光谱通过配备1 cm四通石英比色皿的日立F7100荧光光谱仪进行测定[15]。激发波长(Ex)扫描范围200 ~ 450 nm,发射波长(Em)扫描范围250 ~ 600 nm,波长间隔5 nm,速度2 400 nm/min,PMT电压为700 V。样品进行三维荧光平行因子分析时,需扣除空白水样,并通过MATLAB R2018a使用DOM Fluor程序包和drEEM-0.6.3程序包去除拉曼散射以及瑞利散射的影响。相关的三维荧光光谱参数详见表 1。
|
|
表 1 三维荧光光谱参数描述 Table 1 Three-dimensional fluorescence spectroscopic parameters description |
所有土样数据均使用Excel 2019进行处理,使用SPSS 27.0对数据先进行正态性检验再进行单因素方差分析(One-way ANOVA)与Pearson相关分析,使用Origin 2021进行绘图;使用MATLAB R2018a进行荧光光谱数据的处理、分析及荧光组分的绘制。本研究中紫外光谱及荧光光谱特征参数图表数据均为平均值±标准差。
2 结果与分析 2.1 不同土地利用类型土壤氮素特征如图 2所示,水田的TN含量为1.47 ~ 2.47 g/kg,平均值为1.93 g/kg,显著高于旱地(1.16 g/kg)、林地(0.71 g/kg)和湿地(0.97 g/kg),此外,旱地与林地之间TN含量同样具有显著差异,湿地与旱地、林地无显著性差异。本研究区土壤TN含量从高到低表现为水田 > 旱地 > 湿地 > 林地。
|
(图中不同小写字母表示不同土地利用类型之间差异显著(P < 0.05)) 图 2 洱海流域不同土地利用类型土壤氮素含量 Fig. 2 Soil nitrogen contents of different land use types in Erhai Lake Basin |
NH4+-N含量从高到低依次为水田 > 湿地 > 旱地 > 林地,其中,旱地为1.38 mg/kg,水田为2.29 mg/kg,林地为1.23 mg/kg,湿地为1.47 mg/kg,水田与林地之间差异显著,其余土地利用类型之间则无显著差异。NO3--N含量表现为旱地 > 湿地 > 水田 > 林地,其中,旱地为32.47 mg/kg,显著高于水田(4.43 mg/kg)、林地(4.00 mg/kg)和湿地(8.62 mg/kg),其余三者间无显著差异。
2.2 不同土地利用类型土壤DOM紫外光谱特征DOC作为DOM的主要组分,常用来表示土壤DOM的含量[16]。如表 2所示,不同土地利用类型土壤DOC含量大小依次为水田 > 湿地 > 林地 > 旱地。其中,旱地的DOC含量在12.03 ~ 24.91 mg/kg,均值为17.87 mg/kg;水田的DOC含量在16.17 ~ 43.28 mg/kg,均值为31.94 mg/kg;林地的DOC含量在16.36 ~ 20.38 mg/kg,均值为18.56 mg/kg;湿地的DOC含量在15.58 ~ 34.05 mg/kg,均值为22.25 mg/kg。
|
|
表 2 不同土地利用类型土壤DOM描述性统计 Table 2 Description statistics of soil DOM of different land use types |
CDOM与FDOM分别表示土壤DOM的紫外吸收部分与荧光吸收部分,即a(355)与Fn(355)。林地的CDOM最高,平均含量为43.67 m-1,湿地最低,平均含量为17.28 m-1;旱地(2 818.86 A.U.)与水田(2 910.29 A.U.)的FDOM明显高于林地(1 035.80 A.U.)与湿地(1 811.67 A.U.)。由此来看,DOC、CDOM与FDOM之间的含量变化趋势也存在一定差异。
紫外光谱斜率比值(SR)与E2/E3可以表征土壤DOM的相对分子量,且与分子量呈负相关[17]。由表 3可知,4种土地利用类型的SR在2.31 ~ 3.10,E2/E3在3.59 ~ 5.91,其中湿地的SR与E2/E3最大,分别为3.10与5.91,表明湿地土壤DOM中含有更多的小分子量物质(单糖、富里酸等);旱地(2.31)的SR最小,林地(3.59)的E2/E3值最小,说明旱地与林地土壤DOM的分子量相对较高,含有更多的大分子量物质(多糖、胡敏酸等)。
|
|
表 3 不同土地利用类型土壤DOM紫外–可见光谱特征参数 Table 3 Characteristic parameters of ultraviolet-visible spectra of soil DOM of different land use types |
SUVA254与SUVA260在一定程度上与土壤DOM的芳香化程度与疏水性组分含量呈正相关[17]。二者数值的大小呈现出相同的变化趋势,依次为旱地 > 林地 > 湿地 > 水田,表明较高的芳香化程度往往伴随着较多的疏水性组分。其中,旱地的SUVA254与SUVA260分别为7.58与7.21 L/(mg·m),相较于其他3种土地利用类型,旱地土壤DOM芳香化程度更高,疏水性组分更多;水田的SUVA254与SUVA260最低,分别为3.73与3.57 L/(mg·m),说明水田土壤DOM芳香化程度相对较低,疏水性组分相对较少。
2.3 不同土地利用类型土壤DOM荧光光谱特征Fn(280)可以表征DOM中的类蛋白质含量[16]。4种土地类型Fn(280)含量变化如表 4所示,水田的Fn(280)为5 144.43 A.U.,类蛋白质含量最高,林地的Fn(280)为1 544.33 A.U.,类蛋白质含量最低,整体表现为水田 > 湿地 > 旱地 > 林地。自生源指数(BIX)可以用来表征土壤DOM自生源特征的强弱[13]。本研究区土壤DOM的BIX在0.72 ~ 0.75,且不同土地利用类型间没有较大波动,整体介于0.6 ~ 0.8,说明4种土地利用类型土壤DOM的新近自生源贡献较少,微生物活动较弱,生物可利用性较低。荧光指数(FI)可以用来表示DOM的来源,外生源与自生源的阈值分别为1.4和1.9[16]。4种土地类型的FI皆处在1.4 ~ 1.9,说明其土壤DOM均主要为混合源,同时来自土壤微生物代谢活动与枯枝落叶、降雨淋溶等。腐殖化指数(HIX)与DOM的腐殖化程度呈正相关[18],本研究区域土壤的HIX介于2.57 ~ 5.65,腐殖化程度整体较低,从高到低依次为旱地 > 水田 > 湿地 > 林地。
|
|
表 4 不同土地利用类型土壤DOM三维荧光光谱特征参数 Table 4 Characteristic parameters of three-dimensional fluorescence spectra of soil DOM of different land use types |
利用Matlab对荧光数据做进一步的PARAFAC,共解析出图 3所示的4种组分(分别标记为C1、C2、C3、C4)。其中,C1(Ex/Em:250 nm/430 nm)与传统荧光峰中的A峰区域类似,属于类腐殖质(类胡敏酸)[18-19];C2(Ex/Em:310 nm/420 nm)属于类腐殖质(类富里酸),与传统荧光峰中的C峰区域类似,以低分子量、高荧光效率的富里酸为主[13, 16];C3(Ex/Em:225, 275 nm/350 nm)属于类蛋白质(类色氨酸)[20],其激发/发射波长与传统荧光峰中的T峰区域类似,来源于原位微生物等的微生物代谢活动[19];C4(Ex/Em:270, 365 nm/490 nm)属于类腐殖质中的长波腐殖质[17, 19],其中,270 nm/490 nm峰与传统荧光峰中的C峰区域类似,365 nm/490 nm峰相比传统峰波长更长、范围更广,这可能是因为DOM分子的高分子量及其高芳香性基团使其发生了红移现象。由以上结果可见,本研究区土壤DOM主要成分为类腐殖质(C1+C2+C4)和类蛋白质(C3)。
|
图 3 PARAFAC解析出的不同土地利用类型土壤DOM的荧光组分及其激发/发射波长位置 Fig. 3 Fluorescence components and excitation/emission wavelength positions of soil DOM of different land use types analyzed by PARAFAC |
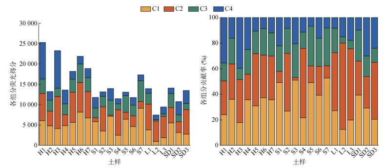
经PARAFAC输出各组分荧光得分(图 4A),并计算4个组分对洱海流域各样点荧光组分的贡献率(图 4B)。如图 4B所示,平均贡献率最高的为C1组分32.91%,其次为C2组分30.59%,C3组分18.37%,C4组分18.13%。其中,旱地平均贡献率最高的为C2组分31.30%,其次为C1组分30.03%,C4组分22.19%,C3组分16.48%;水田平均贡献率最高的为C1组分42.22%,其次为C3组分23.68%,C2组分21.08%,C4组分13.02%;林地平均贡献率最高的为C2组分53.93%,其次为C1组分21.33%,C4组分12.88%,C3组分11.86%;湿地平均贡献率最高的为C2组分32.33%,其次为C1组分29.82%,C4组分20.47%,C3组分17.38%。综上,水田平均贡献率最高的为C1组分,最低的为C4组分,旱地、林地和湿地平均贡献率最高的则是C2组分,最低的是C3组分。可见,类腐殖质(76.32% ~ 88.14%)对洱海流域不同土地利用的贡献相比类蛋白质更大。4种组分荧光得分中,相较于其他土地利用类型,林地的C3组分平均得分最低,与表 4林地的Fn(280)值最低(1 544.33 A.U.)结果一致。
|
图 4 不同土地利用类型DOM各组分荧光强度(A)和贡献率(B) Fig. 4 Fluorescence intensities (A) and contribution rates (B) of soil DOM components of different land use types |
对不同土地利用类型土壤DOC、氮素、紫外吸收光谱参数、荧光光谱参数及PARAFAC解析出的4组分进行Pearson相关性分析(图 5)。结果显示,DOC与TN呈显著正相关,与NH4+-N呈极显著正相关,与NO3--N呈负相关;NH4+-N与E2/E3、SUVA254、SUVA260呈负相关;NO3--N与E2/E3、SUVA254、SUVA260呈正相关。此外,DOC与SUVA254、SUVA260呈极显著负相关;SR与C1呈显著负相关;a(355)与SUVA254、SUVA260呈极显著正相关,与BIX、FI呈极显著负相关;SUVA254与SUVA260呈极显著正相关;SUVA254、SUVA260与BIX、FI呈极显著负相关;Fn(355)与HIX、C1呈极显著正相关,与C3呈显著正相关;HIX和FI呈显著负相关,与BIX呈极显著负相关,与C3呈显著正相关;C1与C3呈极显著正相关,其余组分间未见显著相关性。
|
(*表示在P < 0.05水平显著相关;**表示在P < 0.01水平极显著相关) 图 5 土壤DOC、氮素、紫外光谱和荧光光谱参数间的相关性 Fig. 5 Correlations among DOC, nitrogen, and ultraviolet and fluorescence spectrum parameters |
洱海流域农田旱地以种植蔬菜、玉米、烤烟等为主,水田以种植水稻为主,基于文献[14]、《大理白族自治州2023年环境状况公报》[21]及当地农户的施肥习惯调研,2023年全州化肥使用量为94 010 t,其中,洱海流域旱地氮肥施用量为N 100 ~ 350 kg/hm2,水田平均氮肥施用量为N 222 kg/hm2,平均活性氮损失为N 55.1 kg/hm2,氮肥施用量处在较高水平。本研究中,旱地和水田的TN含量显著高于林地和湿地,整体表现为水田 > 旱地 > 湿地 > 林地。外源化肥的施入为土壤提供了丰富的养分,促进了死亡根系等有机残体的腐解,有助于提高土壤有机质含量[22],在碳源充足的情况下,反过来促进了土壤微生物对氮的固定与吸收,这可能成为水田与旱地氮素含量升高的一大原因。
旱地的NO3--N含量显著高于水田、林地和湿地,而后3个土地利用类型之间并无显著差异,这可能与施肥量及土壤的通气状况有关。施氮肥后,因氨化作用会产生大量NH4+-N,当土壤通气状况良好时,这些NH4+-N会通过硝化作用转化为NO3--N[23]。同时,为了保证产量,氮肥的不断施入致使NO3--N不断累积,最终造成旱地的NO3--N含量远高于其他土地利用类型,这与姚卫举等[24]的研究结果一致。而水田的NO3--N含量并未因此发生太多变化,这是因为水田处在长期淹水状况下,土壤通气性受到极大抑制,厌氧条件下硝化作用减弱,反硝化作用增强,其中的NO3--N被还原成N2O与N2而挥发损失,进而减少了NO3--N的积累[25]。本研究发现,4种土地利用类型之间的NH4+-N含量仅水田与林地之间具有显著性差异,整体表现为水田 > 湿地 > 旱地 > 林地,这是因为水田处在长期淹水的厌氧状态下,氨化作用被削弱,进而降低了NH4+-N的转化[24],加之水田常年施用氮肥,进一步致使NH4+-N的积累,使得水田NH4+-N含量高于其他土地利用类型。除此之外,尽管湿地没有像水田那样施入氮肥,但它的NH4+-N和NO3--N含量仅次于水田和旱地,这可能是因为湿地常年处在干湿交替的环境下,微生物活性受到促进,微生物可利用性提高[26]。同时,研究区湿地植被茂密,群落丰富,植物凋落时将生长过程中吸收的碳、氮又归还于土壤,使得湿地表层土壤中的TN含量得以增加[27]。
本研究还发现,林地的TN、NH4+-N与NO3--N含量皆低于其他3种土地利用类型,这可能是因为采样区域内的林地是新生林,年限较短,枯枝落叶等凋落物覆盖层密度较小,无法向微生物提供充足的有机质,微生物(如氨氧化细菌(AOA))的活性因此受到抑制[28];另一方面,新生林有机质矿化过程缓慢,使得对氨亲和力较低的氨氧化古菌(AOB)生长缓慢[29],加之林地TN含量低,相关微生物活性减退,微生物氨化、硝化作用被进一步削弱[26]。此外,本研究采样时间集中在雨量充沛的时间段,大量的雨水对地面的枯枝落叶进行冲刷,淋溶作用会带走土壤中的部分氮,最终使得林地表层土壤中的氮素含量降低[30]。
3.2 不同土地利用类型土壤DOM光谱差异本研究结果显示,水田DOC含量最高,其次为湿地和林地,旱地最低,这可能与土地利用方式、土壤含水量、植被类型和微生物活性等有关[31]。水田与旱地DOC含量的差异可能与水分状况有关,而水分状况又影响着土壤中DOC的去向与转化,水田由于淹水的状态,既能促进土壤和植物源DOC的溶解释放,又能制其好氧分解并限制其淋失[16],加上藻类和浮游生物等对植物凋落物和根系分泌物的分解作用,进而增加了水田土壤DOC含量。相比之下,高碳周转的旱地土壤DOC则会相对更低[31]。有研究表明,土壤有机质与DOM之间关系密切[32]。本研究区域林地为新生林,年限较低,有机质积累较少,因此DOC含量相对较低;而湿地植被覆盖密集,物种繁多,植物凋落物等不断积累增加了其对土壤DOC的贡献。DOC与紫外光谱参数相关性分析结果显示,DOC与SUVA254、SUVA260两者呈极显著负相关关系(P < 0.01),这与李帅东等[13]和申慧彦等[16]的研究结果一致。
结合SR、E2/E3、SUVA254和SUVA260 4个指标来看,旱地、林地的SR和E2/E3值相对较低,SUVA254和SUVA260值相对较高;水田、湿地的SR与E2/E3值相对较高,SUVA254与SUVA260值相对较低,说明较高的分子量往往伴随着高芳香化程度与多疏水性组分[33]。此外,本研究区域土壤DOM从整体来看,SUVA254与SUVA260呈极显著正相关关系(P < 0.01),说明芳香化结构主要存在于疏水性组分当中,这与申慧彦等[16]和Xi等[34]的研究结果一致。
有研究表明,当SR > 1时,DOM主要为生物源且分子量相对较小[13]。本研究中,FI指示研究区土壤DOM主要为混合源,且更靠近外生源,BIX也表明本研究区域土壤DOM主要来源于旧的植物残体、凋落物等输入,受微生物活动等影响相对较小,与SR的研究结果相反。这可能是因为采样时虽为雨季,但洱海地处云贵高原,光照充足且紫外辐射较强,土壤DOM易受到光漂白的影响[35]。在光漂白的影响下,土壤DOM的光化学降解过程增强,大分子有机物质降解为微生物更易利用的小分子物质,导致DOM分子量减小,SR与E2/E3增大,进而使得SR和E2/E3的指示结果与BIX和FI的指示结果出现较大偏差[1],荧光组分C4荧光峰发生的红移更好地解释了这一现象。因此,本研究中洱海流域不同土地利用类型土壤DOM更可能同时受到陆源与微生物的共同作用,这与祁延明等[36]的“典型农业流域耕地与林地等的土壤DOM多为混合源”研究结果一致。
3.3 不同土地利用类型土壤氮素与DOM的关系已有报道指出,DOM含量(包括DOC与DON)与氮添加量有关[37],但具体影响仍然存在争议[38]。如,有学者认为,施氮能够增加土壤DOC含量[39];亦有学者认为,施氮对DOC的影响较小,甚至可能降低其含量[37]。本研究中,土壤DOC与NH4+-N呈极显著正相关关系(r=0.70,P < 0.01),与NO3--N呈负相关关系(r= –0.42,P > 0.05),说明NH4+-N含量会对土壤DOM含量及结构特征等产生极大影响,且相较于NO3--N影响更为显著,这与姚卫举等[24]和Hui等[5]的研究结果一致。同时,本研究还发现,洱海流域不同土地利用类型土壤NH4+-N与E2/E3、SUVA254、SUVA260呈负相关关系,而NO3--N与三者呈正相关关系,这可能是因为施氮会增加NH4+-N与NO3--N的含量,氮源的输入加速了土壤微生物对凋落物等的分解,进而降低了土壤DOM结构上的复杂化与腐殖化[10]。除NH4+-N与NO3--N外,土壤TN含量不同情况下,添加氮也会对土壤DOM产生不同的影响[40]。本研究中,水田TN含量显著高于旱地,此时施加氮肥能够诱导微生物活性,促进水田土壤对DOC的吸收,符合“化学计量分解理论”。此外,前人研究多集中在氮添加对土壤DOM的影响,有关DOM添加对土壤氮循环所产生的影响研究则相对较少,但DOM作为土壤中极其活跃的化学组分,在土壤氮循环方面发挥着至关重要的作用,如朱砚涛等[41]认为作为电子供体的DOM是影响土壤反硝化速率的重要因素,因此,土壤氮对DOM添加的响应机制有待后续进一步研究。
4 结论1) 洱海流域水田TN与NH4+-N含量最高,旱地NO3--N含量显著高于其他土地利用类型,林地的TN、NH4+-N、NO3--N含量最低。
2) 紫外吸收光谱参数表明,水田土壤DOC含量最高,旱地最低;相对于其他土地利用类型,旱地和林地的DOM分子量较大、芳香化水平较高、疏水性组分较多,水田和湿地的DOM中小分子物质相对较多。
3) 平行因子分析显示,洱海流域不同土地利用类型土壤DOM主要由类腐殖质(类富里酸与类胡敏酸)和类蛋白质(类色氨酸)组成,其中,以类腐殖质的平均贡献率最高。此外,荧光光谱参数BIX、FI与HIX共同指示,研究区土壤DOM由混合源组成且偏向于外源输入,自生源特征不显著,整体腐殖化程度较低。
| [1] |
梁栋, 周巧林, 张辉, 等. 生物质炭和有机肥配施对水稻土溶解性有机质光谱学特征的影响[J]. 土壤学报, 2024, 61(4): 1123-1133 ( 0) |
| [2] |
苗敏, 吴浩浩, 韩琳, 等. 温带森林土壤渗漏液DOM含量与组分及光谱特性[J]. 环境科学与技术, 2018, 41(12): 169-178 ( 0) |
| [3] |
Sheng M, Chen S, Liu C Q, et al. Spatial and molecular variations in forest topsoil dissolved organic matter as revealed by FT-ICR mass spectrometry[J]. Science of The Total Environment, 2023, 895: 165099 DOI:10.1016/j.scitotenv.2023.165099 ( 0) |
| [4] |
刘学彤, 郑春莲, 曹薇, 等. 长期定位施肥对土壤有机质、不同形态氮含量及作物产量的影响[J]. 作物杂志, 2021(4): 130-135 ( 0) |
| [5] |
Hui K L, Xi B D, Tan W B, et al. Long-term application of nitrogen fertilizer alters the properties of dissolved soil organic matter and increases the accumulation of polycyclic aromatic hydrocarbons[J]. Environmental Research, 2022, 215(Pt 2): 114267 ( 0) |
| [6] |
陈丽铭, 吴月颖, 李财生, 等. 土壤溶解性有机质分子特征对不同来源有机肥分解的响应[J]. 土壤学报, 2023, 60(4): 1101-1112 ( 0) |
| [7] |
Man M L, Deen B, Dunfield K E, et al. Altered soil organic matter composition and degradation after a decade of nitrogen fertilization in a temperate agroecosystem[J]. Agriculture, Ecosystems & Environment, 2021, 310: 107305 ( 0) |
| [8] |
Zhang F F, Zhang W W, Wu S Z, et al. Analysis of UV–Vis spectral characteristics and content estimation of soil DOM under mulching practices[J]. Ecological Indicators, 2022, 138: 108869 DOI:10.1016/j.ecolind.2022.108869 ( 0) |
| [9] |
缪闯和, 吕贻忠. 黑土、潮土和红壤可溶性有机质的光谱特征及结构差异[J]. 土壤, 2021, 53(1): 168-172 DOI:10.13758/j.cnki.tr.2021.01.023 ( 0) |
| [10] |
张方方, 高娜, 吴锁智, 等. 长期施氮和覆膜对土壤溶解性有机质含量及其结构特征的影响[J]. 环境科学学报, 2023, 43(11): 300-313 ( 0) |
| [11] |
陶勇, 张瑾, 张亚辉, 等. 临江河水体溶解性有机质荧光光谱特征解析[J]. 农业环境科学学报, 2023, 42(12): 2711-2720 DOI:10.11654/jaes.2023-0404 ( 0) |
| [12] |
Zhang X Q, Li Y, Ye J, et al. The spectral characteristics and cadmium complexation of soil dissolved organic matter in a wide range of forest lands[J]. Environmental Pollution, 2022, 299: 118834 DOI:10.1016/j.envpol.2022.118834 ( 0) |
| [13] |
李帅东, 姜泉良, 黎烨, 等. 环滇池土壤溶解性有机质(DOM)的光谱特征及来源分析[J]. 光谱学与光谱分析, 2017, 37(5): 1448-1454 ( 0) |
| [14] |
肖作敏, 刘鹏祺, 史晴雯, 等. 洱海流域水稻氮足迹与减排潜力预测[J]. 中国生态农业学报(中英文), 2024, 32(8): 1311-1321 ( 0) |
| [15] |
鲍士旦. 土壤农化分析(第三版)[M].
中国农业出版社, 北京, 2000
( 0) |
| [16] |
申慧彦, 王嘉富, 曹承泽, 等. 巢湖湖滨带不同土地类型土壤DOM光谱研究[J]. 长江流域资源与环境, 2023, 32(4): 729-738 ( 0) |
| [17] |
Li W, Jia X X, Li M, et al. Insight into the vertical characteristics of dissolved organic matter in 5-m soil profiles under different land-use types on the Loess Plateau[J]. Science of The Total Environment, 2019, 692: 613-621 DOI:10.1016/j.scitotenv.2019.07.339 ( 0) |
| [18] |
许金鑫, 王初, 姚东京, 等. 崇明东滩湿地土壤溶解性有机质的光谱特征分析[J]. 环境工程, 2020, 38(11): 218-225 ( 0) |
| [19] |
周倩倩, 苏荣国, 白莹, 等. 舟山渔场有色溶解有机物(CDOM)的三维荧光-平行因子分析[J]. 环境科学, 2015, 36(1): 163-171 ( 0) |
| [20] |
高静湉, 汤世科, 刘文理, 等. 不同类型湖泊DOM光谱特征及来源的季节性变化[J]. 环境科学, 2025, 46(4): 2154-2164 ( 0) |
| [21] |
大理白族自治州生态环境局. 大理白族自治州2023年环境状况公报[N]. 大理日报, 2024-06-05(001).
( 0) |
| [22] |
鲁晨妮, 朱日清, 孙达, 等. 浙北地区不同土地利用方式对土壤理化性质的影响[J]. 土壤, 2024, 56(4): 906-913 DOI:10.13758/j.cnki.tr.2024.04.026 ( 0) |
| [23] |
Lu J S, Hu T T, Zhang B C, et al. Nitrogen fertilizer management effects on soil nitrate leaching, grain yield and economic benefit of summer maize in Northwest China[J]. Agricultural Water Management, 2021, 247: 106739 ( 0) |
| [24] |
姚卫举, 牟晓杰, 万斯昂, 等. 不同土地利用方式土壤碳、氮、磷、硫含量及其生态化学计量特征[J]. 江苏农业科学, 2023, 51(17): 231-239 ( 0) |
| [25] |
Wang Y C, Lu Y L. Evaluating the potential health and economic effects of nitrogen fertilizer application in grain production systems of China[J]. Journal of Cleaner Production, 2020, 264: 121635 ( 0) |
| [26] |
牟晓杰, 孙志高, 刘兴土. 黄河口典型潮滩湿地土壤净氮矿化与硝化作用[J]. 中国环境科学, 2015, 35(5): 1466-1473 DOI:10.3969/j.issn.1000-6923.2015.05.025 ( 0) |
| [27] |
刘玥, 杨继松, 于洋, 等. 辽河口不同类型湿地土壤碳氮磷生态化学计量学特征[J]. 生态学杂志, 2020, 39(9): 3011-3020 ( 0) |
| [28] |
Wang Y F, Li X Y, Gu J D. Differential responses of ammonia/ammonium-oxidizing microorganisms in mangrove sediment to amendment of acetate and leaf litter[J]. Applied Microbiology and Biotechnology, 2014, 98(7): 3165-3180 ( 0) |
| [29] |
朱飞, 李文波, 田磊, 等. 土地利用类型对土壤氨氧化微生物丰度和群落结构的影响[J]. 山东农业科学, 2023, 55(9): 79-86 ( 0) |
| [30] |
Li W C, Sheng H Y, Liu Y Y, et al. Ecostoichiometry reveals the separation of microbial adaptation strategies in a bamboo forest in an urban wetland under simulated nitrogen deposition[J]. Forests, 2020, 11(4): 428 ( 0) |
| [31] |
Qin X Q, Yao B, Jin L, et al. Characterizing soil dissolved organic matter in typical soils from China using fluorescence EEM–PARAFAC and UV–visible absorption[J]. Aquatic Geochemistry, 2020, 26(1): 71-88 ( 0) |
| [32] |
Chen X B, Wang A H, Li Y, et al. Fate of 14C-labeled dissolved organic matter in paddy and upland soils in responding to moisture[J]. Science of The Total Environment, 2014, 488: 268-274 ( 0) |
| [33] |
马琦琦, 李刚, 魏永. 城郊关键带土壤中溶解性有机质的光谱特性及其时空变异[J]. 环境化学, 2020, 39(2): 455-466 ( 0) |
| [34] |
Xi M, Zi Y Y, Wang Q G, et al. Assessment of the content, structure, and source of soil dissolved organic matter in the coastal wetlands of Jiaozhou Bay, China[J]. Physics and Chemistry of the Earth, Parts A/B/C, 2018, 103: 35-44 ( 0) |
| [35] |
管玉莹, 霍达, 吴兴元, 等. 洱海CDOM吸收光谱特征变化及其影响因素[J]. 水生生物学报, 2021, 45(4): 838-845 ( 0) |
| [36] |
祁延明, 程艳, 李琳, 等. 西北内陆流域不同土地利用土壤DOM荧光特征[J]. 环境科学与技术, 2021, 44(9): 160-166 ( 0) |
| [37] |
Yuan X C, Si Y T, Lin W S, et al. Effects of short-term warming and nitrogen addition on the quantity and quality of dissolved organic matter in a subtropical Cunninghamia lanceolata plantation[J]. PLoS One, 2018, 13(1): e0191403 ( 0) |
| [38] |
Wang P, Song M H, Wang C M. Dissolved organic matter as affected by forms and doses of nitrogen applied to soils of temperate deciduous forests in China[J]. Forests, 2023, 14(4): 775 ( 0) |
| [39] |
Niu G X, Hasi M, Wang R Z, et al. Soil microbial community responses to long-term nitrogen addition at different soil depths in a typical steppe[J]. Applied Soil Ecology, 2021, 167: 104054 ( 0) |
| [40] |
Chen R R, Senbayram M, Blagodatsky S, et al. Soil C and N availability determine the priming effect: Microbial N mining and stoichiometric decomposition theories[J]. Global Change Biology, 2014, 20(7): 2356-2367 ( 0) |
| [41] |
朱砚涛, 苏培兴, 张代钧, 等. 三峡水库消落带土壤反硝化特征以及溶解性有机质的影响[J/OL]. 中国环境科学, 2024: 1–9. (2024-01-24). https://link.cnki.net/doi/10.19674/j.cnki.issn1000-6923.20240024.001.
( 0) |
2. College of Agronomy and Biotechnology, Yunnan Agricultural University, Kunming 650051, China
2025, Vol. 57



0)