2. 山东中烟公司青岛卷烟厂, 山东青岛 266101;
3. 中国农业科学院烟草研究所, 山东青岛 266101
烤烟忌连作,常年连作易使土壤养分失衡[1]、酸化及盐渍化[2]、微生物群落结构恶化[3]、土传病害加重[4]、植烟经济效益下降[5]。我国一些烟区通过选择绿肥与烤烟轮作,有效地控制和防止了烟田连作障碍[6-8]。山东潍坊烟区烤烟一般是每年5月移栽,10月完成采收,11月到次年4月烟田处于冬闲状态。近年来潍坊烟区烤烟连作障碍问题日趋突出,利用烟田冬闲期轮作种植绿肥可提升烟区土壤质量,保障烤烟生产可持续发展和烟农增收。
作为优质的绿肥作物,黑麦和油菜富含粗蛋白、粗脂肪及氮、钾等矿质养分,可用作青贮饲料[9],也可翻压还田,其改土提烟的积极效果已被我国很多烟区所证明。如吴元华等[10]在青岛的田间原位培养研究指出,黑麦翻压能够促进烟田土壤氮素矿化及无机氮释放,增加土壤净氮素矿化总量。刘巧真等[11]在河南的研究发现,黑麦翻压掩青或地上部收割均能明显改善烟田土壤理化特性,提高土壤脲酶和转化酶活性,烤后烟叶内在化学成分更为协调。周旭东等[12]在云南的研究表明,油菜与烤烟轮作可以提高土壤磷酸酶、过氧化氢酶活性,改善土壤理化特性,提高土壤微生物多样性。顾会战等[13]在四川的工作揭示,油菜与烤烟轮作能够提高烤烟季土壤速效钾含量,提高中、上部烟叶钾含量,改善烟叶品质。
黑麦和油菜的大田时间与潍坊烟田闲置期基本一致,且其耐旱、耐瘠、耐寒,能适应北方寒冷的气候[14],可以考虑用作潍坊烟区烟田冬闲期的绿肥作物,但迄今为止潍坊烟区尚缺乏相关的研究报道。为此,本研究通过在潍坊烟区开展黑麦、油菜与烤烟轮作的大田试验,分析比较其对烟田土壤肥力、烤烟生长发育、烟叶产质量、烟农增收的影响,为潍坊烟区烟田合理轮作提供科学指导。
1 材料与方法 1.1 试验材料及试验地概况大田试验位于潍坊市诸城市林家村镇东大宋村(36°18′N,119°51′E,海拔97.1 m),属暖温带大陆性季风区半湿润气候,年均日照时数2 402.9 h、气温13.2 ℃。降水量741.8 mm、相对湿度67%、蒸发量1 677.5 mm、无霜期217 d。试验地已连续种植烤烟5年以上,土壤为潮棕壤,试验开展前耕层(0 ~ 20 cm)土壤pH为5.0,有机碳含量为8.78 g/kg,碱解氮、有效磷、速效钾含量分别为69.45、14.86和137.36 mg/kg。供试烤烟品种为中川208。
1.2 试验设计试验采用随机区组设计,设置常年烤烟连作区(CK)、烤烟–黑麦轮作区(T1)、烤烟–油菜轮作区(T2)3个处理,每处理重复3次,每个试验小区面积72 m2(长15 m×宽4.8 m),烤烟行株距分别为1.2 m×0.45 m,每个小区种植4行烟株。
2021年10月3日播种黑麦(冬牧70,Secalecerale L.)、油菜(Brassica napus L.),播种量为60 kg/hm2,同时施用375 kg/hm2撒可富肥料(N 15%,P2O5 15%,K2O 15%)。2022年5月15日,人工收割黑麦和油菜地上部(统一留茬20 cm左右),然后翻耕残茬和起垄施肥,移栽烤烟。
各试验区肥料用量和施肥方法一致,将300 kg/hm2发酵大豆(有机质≥38%,N 5%,P2O5 1%,K2O 2%)、450 kg/hm2复合肥(N 10%,P2O5 10%,K2O 20%)、405 kg/hm2硫酸钾(K2O,50%)、322.5 kg/hm2烟大帅有机肥(有机质≥65%,N 5%,P2O5 1%,K2O 2%)混合均匀后,起垄时均匀施入烟田。CK参照当地移栽习惯,为4月28日移栽;T1和T2处理受作物收割时间影响,移栽时间延迟到5月18日,烟叶其他田间管理措施参照当地生产技术规范。
1.3 样品采集与测定 1.3.1 黑麦和油菜经济效益及品质分析称量收割的黑麦和油菜鲜重,按当年饲料市场收购价(0.45元/kg)计算经济效益。随机选取收割后的黑麦和油菜上部样本500 g,剪至4 ~ 5 cm长,置于烘箱105 ℃杀青30 min后,80 ℃烘干至恒重,粉碎后过0.425 mm筛,用凯氏定氮法测定青贮粗蛋白(crude protein, CP)含量,乙醚浸提法测定粗脂肪(ether extract, EE)含量,酸碱消煮法测定粗纤维(crude fibre, CF)含量,范氏中性洗涤纤维法和范氏酸性洗涤纤维法分别测定中性洗涤纤维(neutral detergent fiber, NDF)和酸性洗涤纤维(acid detergent fiber, ADF)含量[15-16]。
1.3.2 烤烟移栽前土壤理化指标检测CK于烤烟起垄前取样,T1和T2于作物收割后、烤烟起垄前取样。每个试验小区按照五点法用土钻采集0 ~ 20 cm土样充分混匀,土壤总有机碳、碱解氮、有效磷、速效钾、氯离子含量参照《土壤农业化学分析方法》[17]测定。可溶性有机碳采用0.5 mol/L K2SO4浸提法(V液∶m土=5∶1)浸提后,过0.45 μm滤膜,使用总有机碳分析仪(Shimadzu TOC-VCPH, Japan)测定[18]。
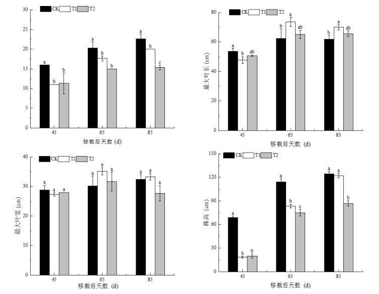
1.3.3 烤烟农艺性状调查、烟叶分级测产于烤烟移栽后45、65、85 d调查株高、叶片数及最大叶长、最大叶宽 [19]。
1.3.4 烟叶外观质量和化学成分鉴定分析分别采集各试验处理烤后中部叶1 kg,按照国标GB2635—1992[20]评分标准,组织3名具有分级技术资质人员对叶片成熟度、颜色、身份等外观品质指标进行鉴定并打分[21],再逐份随机抽取1/3的样本,粉碎后用NIRS DS2500型多功能近红外光谱仪(丹麦FOSS公司)检测烟叶总糖、还原糖、总氮、总植物碱等化学成分[22]。
1.3.5 经济性状分析烟叶烘烤结束后,分级称重,依据当年各等级烟叶收购价格,测算各试验小区的产量、产值、均价和上等烟比例。
1.4 数据处理利用Excel 2016处理数据,Origin 2021绘制图表,SPSS 20.0进行数据的T检验、单因素方差分析。
2 结果 2.1 黑麦和油菜经济效益及品质如表 1所示,黑麦产量、产值均显著高于油菜(P < 0.01),增幅均为12.58%。黑麦粗蛋白含量显著高于油菜(P < 0.01),中性洗涤纤维含量显著低于油菜(P < 0.01),两者的粗脂肪、粗纤维和酸性洗涤纤维含量差异不显著。
|
|
表 1 黑麦和油菜的经济效益及品质 |
如表 2所示,与CK相比,T1和T2处理的土壤总有机碳、可溶性有机碳和碱解氮含量均显著提升(P < 0.05),增幅分别为20.81%、21.22%,188.90%、166.87% 和37.08%、23.75%;氯离子含量显著降低,降幅分别为21.36%、25.57%。T1处理速效钾含量显著高于CK,增幅为50.68%。
|
|
表 2 不同处理下土壤养分 |
移栽后45 d (图 1),与CK相比,T1、T2处理的烟株株高和叶片数均显著降低(P < 0.05),降幅分别为73.40%、71.01%和31.25%、29.18%。移栽后65 d,T1和T2处理的株高分别显著降低了27.11% 和33.40%(P < 0.05),叶片数分别显著降低了13.08% 和26.22%(P < 0.05);T1的最大叶片长显著增加了18.18% (P < 0.05)。栽后85 d,与CK相比,T2的株高和叶片数分别显著降低了14.85% 和19.11%(P < 0.05);T1的叶片数显著减少了11.78%,最大叶长显著增加了13.21%(P < 0.05)。
|
(图中小写字母不同表示处理间差异达P < 0.05显著水平) 图 1 不同处理下烤烟农艺性状 |
由表 3可知,T1处理的烟叶成熟度、颜色、身份和色度得分与CK无显著差异;而叶片结构、油分和总分得分显著高于CK(P < 0.05),增幅分别为4.85%、6.30% 和1.68%。T2处理的烟叶成熟度、颜色、色度得分显著低于CK(P < 0.05),降幅分别为3.84%、6.12% 和10.61%;外观质量总分较CK显著降低了2.24%(P < 0.05)。
|
|
表 3 不同处理下烤烟中部烟叶外观质量得分 |
如表 4所示,与优质烤烟的化学成分(总糖18% ~ 22%,还原糖16% ~ 20%,总植物碱1.5% ~ 3.5%,总氮1.5% ~ 3.5%,钾 > 2.0%,氯0.3% ~ 0.8%)相比,各处理的烟叶总糖和还原糖偏高,总植物碱、总氮、钾和氯适中。总糖含量3个处理间没有显著差异。还原糖含量,T1与CK无显著差异,但T2处理显著降低(P < 0.05),降低幅度为4.0%。总植物碱含量,T1和T2与CK均没有显著差异,但T1显著高于T2,增幅为7.5%。总氮含量,T1与CK没有显著差异,但T2显著低于T1和CK,降幅分别为7.9% 和5.2%。钾含量,与CK相比,T1显著提高(P < 0.05),增幅为14.10%;T2也提高了钾含量,增幅为12.8%,但没有达到显著水平。氯含量,T1和T2处理均显著低于CK(P < 0.05),降幅分别为40.28% 和41.67%。
|
|
表 4 不同处理下烤烟中部烟叶化学成分 |
如表 5所示,T1处理的烤烟产量、产值和上等烟比例显著高于CK(P < 0.05),增幅分别为9.98%、12.73% 和16.07%;T2处理的烤烟产量、产值、均价和上等烟比例均显著低于CK(P < 0.05),降幅分别为9.66%、18.71%、10.08% 和21.73%。
|
|
表 5 不同处理对烤烟经济性状的影响 |
烟田冬闲期不同轮作作物因种属间的不同,其生态适应性会存在差异,并会对作物产量和品质造成影响[14]。本文中,黑麦产量要高于油菜,这表明黑麦的生态适应性好于油菜。此外,反映饲料品质优劣的指标包括粗蛋白、粗脂肪、中性洗涤纤维和酸性洗涤纤维等。其中,粗蛋白是饲料营养价值的核心,通常粗蛋白含量越高,中性洗涤纤维、酸性洗涤纤维含量越低,饲料饲用价值越高[15, 23]。本研究中,收获时黑麦的粗蛋白含量极显著高于油菜,中性洗涤纤维含量极显著低于油菜,这表明冬牧70黑麦的饲用价值要高于油菜,这一结果与喻群芳等[24]在贵州遵义低龄花椒地间作青贮饲料的研究结果类似。造成差异的原因除与作物生态适应性有关外,还可能与黑麦、油菜的收割时期有关。由于黑麦鲜重显著高于油菜,为最大程度保障烟农收益,本研究选择在黑麦品质最佳时期(即初花期)收割,此时期的黑麦粗蛋白含量相对高,中性洗涤纤维含量相对低,而油菜已过初花期,其粗蛋白含量下降,而中性洗涤纤维含量上升[24]。因而,在当前潍坊烟区气候条件下,烟田冬闲期种植黑麦能使烟农获得更高的经济效益,更适宜在潍坊烟区推广。
3.2 黑麦和油菜对植烟土壤肥力的影响轮作是减轻土壤连作障碍、增加复种指数、改善土壤理化特性、提高作物生产力的有效手段[5, 7]。本研究中,冬闲期种植黑麦、油菜,在增加土壤有机碳、可溶性有机碳、碱解氮含量的同时,还降低了氯离子含量。烟田闲置期种植填闲作物与烤烟开展轮作能够有效改善烤烟季土壤理化特性,在河南[11]、四川[13]等烟区已广有报道。本研究结果与前人研究基本一致。这是因为烟田闲置季节种植黑麦和油菜,作物根际产生的分泌物和收割后的残茬,有利于土壤水解酶活性的提升以及土壤肥力的改善[8];此外,黑麦和油菜均耐盐碱,自身可以通过吸收土壤中的氯离子,降低烟叶中的氯含量[25]。本研究发现,轮作黑麦和油菜,较常年烤烟连作,土壤可溶性有机碳含量增幅高达166.87% ~ 188.90%。虽然可溶性有机碳在土壤中含量较低(约200 mg/kg),却多来源于新鲜物料中的活性物质,是有机碳库中最为活跃的部分[18]。本研究在土壤采样时,黑麦和油菜刚收割完,相比常年烤烟连作区的裸地,轮作区土壤中的根际残茬等新鲜物料更多,因而土壤中可溶性有机碳含量更高。这一结果与黄璐等[26]在晋南利用冬小麦夏闲期种植豆科绿肥的研究结果一致。
3.3 黑麦和油菜对烤烟生长发育的影响烤烟农艺性状能够直观反映烟株发育优劣,科学轮作能够通过改善烟田土壤微生态[27]等影响烟株生长发育。山东烟区黑麦在初花期前后(5月15日左右),含水量适宜、粗蛋白含量高,为最佳收割时期。烤烟通常在4月28日左右移栽,若在烟田轮作黑麦,将导致烤烟移栽期略有推迟。王德权等[28]研究指出,山东烟区烤烟移栽期的推迟会加快烤烟生育进程,本研究轮作黑麦下烤烟的长势进程与此一致。因此,在山东烟区轮作黑麦并适当推迟烤烟移栽期,既不会明显影响烤烟发育及品质,又能保证黑麦饲用品质,从而可以明显促进烟农增收。本研究表明,轮作黑麦处理烤烟移栽后65 d和85 d,烟株最大叶片长较CK显著增加,这与之前的研究结论[11]一致,这可能是因为黑麦根茎残体纤维素含量低,易于矿化分解,能够持续不断向土壤中释放养分,促进了烟株中后期的生长发育[29]。
3.4 黑麦和油菜对烤烟产质量的影响开展烟田轮作种植,前茬作物残留的根系可以通过改良烟田耕层土壤理化性状,为烤烟生长发育提供良好的环境,并提高烟叶产量,提升烟叶品质,但其效果因轮作作物的不同又存在一定差异[30]。本研究中,轮作黑麦不仅提高了烟叶产量,改善了中部烟叶结构、油分及外观质量,还提高了烟叶钾含量,降低了氯含量。这一结果与刘巧珍等[11]之前的报道基本一致。原因可能是前茬土壤理化特性的改善有利于增加烟叶产量,提升烟叶品质,特别是土壤有机质、速效钾含量的提高和土壤氯含量的降低,为烟株发育提供了良好的土壤环境,有利于烟叶品质的改善[12],实现烟叶“提钾降氯”。而相比烤烟常规连作,轮作油菜烟株长势偏弱,这可能是因为本研究中油菜在收割时,已过初花期,油菜根茎木质化程度较高,需要微生物竞争土壤中更多的氮才能矿化分解,这在一定程度上不利于烤烟正常的生长发育和烟叶产质量提升。
4 结论本研究在潍坊烟区的大田试验结果表明,轮作黑麦虽然会延迟烤烟移栽期,导致烟株前期发育慢,但后期生长加快,土壤理化性状、烟叶外观质量及内在品质均得到明显改善,黑麦收益和烟叶产值较烤烟连作可分别增加17 008.5元/hm2和5 904元/hm2,值得在潍坊烟区推广。
| [1] |
王亚麒, 刘京, 芶剑渝, 等. 长期有机无机配施下烤烟-玉米轮作优化土壤微生物活化无机磷[J]. 土壤学报, 2022, 59(3): 808-818 ( 0) |
| [2] |
何林卫. 种植模式及施肥对遵义烤烟产质量和土壤的影响[D]. 重庆: 西南大学, 2015.
( 0) |
| [3] |
夏围围, 李乙坤, 张萌, 等. 硝化微生物在土壤团聚体中的分布及其对种植方式的响应[J]. 土壤学报, 2023, 60(6): 1764-1775 ( 0) |
| [4] |
Li S L, Xu C, Wang J, et al. Cinnamic, myristic and fumaric acids in tobacco root exudates induce the infection of plants by Ralstonia solanacearum[J]. Plant and Soil, 2017, 412(1): 381-395 ( 0) |
| [5] |
张艳. 烤烟连作、烤烟-玉米轮作对烟叶品质和土壤养分的影响[J]. 河南农业科学, 2014, 43(8): 45–48, 116 ( 0) |
| [6] |
覃潇敏, 蒋娟娟, 韦巧云, 等. 轮作与施用生物有机肥对菠萝连作土壤微生物特性的影响[J]. 中国土壤与肥料, 2023(12): 50-57 ( 0) |
| [7] |
陈丹梅, 段玉琪, 杨宇虹, 等. 轮作模式对植烟土壤酶活性及真菌群落的影响[J]. 生态学报, 2016, 36(8): 2373-2381 ( 0) |
| [8] |
张明发, 田峰, 王兴祥, 等. 翻压不同绿肥品种对植烟土壤肥力及酶活性的影响[J]. 土壤, 2017, 49(5): 903-908 DOI:10.13758/j.cnki.tr.2017.05.008 ( 0) |
| [9] |
秦子元, 邬佳宾, 郑和祥, 等. 不同饲料作物对苏打盐碱土改良效应研究[J]. 土壤, 2023, 55(5): 1088-1096 DOI:10.13758/j.cnki.tr.2023.05.019 ( 0) |
| [10] |
吴元华, 王永, 石屹, 等. 冬牧70黑麦秸秆还田对烟田土壤氮素矿化的影响[J]. 江苏农业科学, 2016, 44(5): 506-509 ( 0) |
| [11] |
刘巧真, 郭芳阳, 阎小毛, 等. '冬牧70'处理方式对土壤改良和烟叶产质量影响[J]. 中国农学通报, 2021, 37(34): 29-33 ( 0) |
| [12] |
周旭东, 韩天华, 申云鑫, 等. 4种轮作模式下长期连作烟田土壤微生态的响应特征[J]. 中国农业科技导报, 2024, 26(3): 174-187 ( 0) |
| [13] |
顾会战, 苟小梅, 蔡艳, 等. 烤烟油菜轮作及平衡施肥对土壤速效钾和烟叶钾的影响[J]. 农学学报, 2022, 12(12): 23-27 ( 0) |
| [14] |
贾龙, 王敬宽, 张楷悦, 等. 盐碱地冬闲农田绿肥种植生态服务价值评价[J]. 山东农业科学, 2022, 54(6): 104-111 ( 0) |
| [15] |
杨晓婉, 何芳芳, 王泽平, 等. 冬牧70黑麦最佳品质和最高产量收获期研究[J]. 耕作与栽培, 2017, 37(4): 7–11, 25, 28 ( 0) |
| [16] |
张丽英. 饲料分析及饲料质量检测技术(4版)[M].
中国农业大学出版社, 北京, 2016
( 0) |
| [17] |
鲁如坤. 土壤农业化学分析方法[M].
中国农业科学技术出版社, 北京, 2000
( 0) |
| [18] |
许宏达, 王纯, 葛茂泉, 等. 不同海拔茶园土壤有机碳库组分及其化学结构[J]. 生态学杂志, 2025, 44(3): 892-902 ( 0) |
| [19] |
国家烟草专卖局. 烟草农艺性状调查测量方法: YC/T 142—2010[S]. 北京: 中国标准出版社, 2010.
( 0) |
| [20] |
全国烟草标准化技术委员会. 烤烟: GB 2635—1992[S]. 北京: 中国标准出版社, 1992.
( 0) |
| [21] |
王芳, 史改丽, 张庆明, 等. 烟叶外观质量与内在品质的相关性研究[J]. 中国农学通报, 2014, 30(31): 82-88 ( 0) |
| [22] |
王毅, 宋文静, 吴元华, 等. 小麦秸秆还田对烤烟叶片发育及产质量的影响[J]. 中国烟草科学, 2018, 39(2): 32-38 ( 0) |
| [23] |
马小龙, 赛里克·都曼, 艾比布拉·伊马木, 等. 不同品种饲草在帕米尔高原牧区的生产性能及营养品质比较[J]. 饲料工业, 2024, 45(1): 125-131 ( 0) |
| [24] |
喻群芳, 谭宁, 陈春旭, 等. 低龄花椒地间作青贮饲料品质对比研究[J]. 农村经济与科技, 2022, 33(14): 52-54 ( 0) |
| [25] |
王宇豪, 王敬宽, 杜海岩, 等. 冬闲盐碱地绿肥种植对淡水淋盐土壤及淋溶液碳氮影响[J]. 华北农学报, 2024, 39(1): 143-149 ( 0) |
| [26] |
黄璐, 李廷亮, 李顺, 等. 旱地冬小麦夏闲期种植不同豆科绿肥对还田养分和土壤有机碳、氮组分的影响[J]. 生态学杂志, 2022, 41(12): 2335-2343 ( 0) |
| [27] |
蒋如, 宁诗琪, 隋宗明, 等. 长期轮作施肥处理对植烟土壤有机碳组分和酶活性的影响[J]. 土壤, 2024, 56(3): 510-516 DOI:10.13758/j.cnki.tr202308080311 ( 0) |
| [28] |
王德权, 孙延国, 杜玉海, 等. 移栽时间与方式对烤烟生长发育及产量、品质的影响[J]. 作物杂志, 2021(2): 87-95 ( 0) |
| [29] |
李帅, 王艳, 贾龙, 等. 山东省冬闲农田种植冬牧70压青后腐解及养分动态[J]. 生态环境学报, 2019, 28(11): 2239-2244 ( 0) |
| [30] |
杨宗云, 李顺, 诸泽明, 等. 水稻土烟区烤烟不同种植体系对根际土壤特性及烟叶产质量的影响[J]. 西南农业学报, 2024, 37(6): 1247-1253 ( 0) |
2. Qingdao Cigarette Factory of Shandong Zhongyan Industry Co., Ltd., Qingdao, Shandong 266101, China;
3. Tobacco Research Institute, Chinese Academy of Agriculture Sciences, Qingdao, Shandong 266101, China
2025, Vol. 57



0)