2. 吉林省烟草公司延边州烟草公司, 吉林延吉 133000;
3. 吉林烟草工业有限责任公司, 吉林延吉 130031
烟草是我国重要的经济作物之一。根据国家统计局最新数据显示,2021年吉林省烟叶种植面积达8100 hm2[1]。然而烤烟多年连作也造成一系列的连作障碍问题,包括烟草的自毒物质积累[2-4]、土传致病微生物增殖[5-6]、土壤微生物区系失衡、土壤理化性质劣变、土壤酶活性降低等[7],严重影响烟叶质量。
土壤微生物在土壤生态系统中起着重要作用,是影响土壤质量、土壤肥力的关键因素[8],特别是根际土壤微生物的数量和种类直接影响着植物生长发育进程及健康状况[9]。根际土壤微生物的变化影响土壤养分的吸收和转化[10]。不同的种植模式例如轮作可以明显提高土壤微生物的群落结构和多样性[11-13]。刘鹏飞等人[14]对不同轮作模式下桔梗生长、根际土壤微生物及土壤酶活性研究发现,玉米与桔梗轮作后丰富了其根际土壤的微生物多样性。肖金讯[15]研究发现,烤烟在微生物多样性高的土壤中种植时,可以降低黑胫病发病的概率,同时试验发现烤烟–玉米和烤烟–大豆轮作可以不同程度地抑制烟草黑胫病的发生,烤烟–玉米轮作的效果要优于烤烟–大豆。
当前研究多聚焦于单一作物轮作模式下植烟土壤的动态变化分析,而关于大豆–烤烟与玉米–烤烟两种轮作模式对根际土壤养分特征、酶活性响应及微生物群落结构的差异化影响机制,特别是与烤烟连作系统的对比研究尚缺乏系统性探究。因此本文以玉米和大豆作为轮作作物,同时以烟草连作为对照,比较不同种植模式下烤烟根际土壤的理化性质、酶活性以及微生物群落结构和多样性,同时结合烤烟的经济性状分析,旨在探索出适合吉林烟区的轮作模式,为吉林烟区打破烤烟连作障碍和改良土壤提供理论基础和依据。
1 材料与方法 1.1 试验地概况试验地位于吉林省延边州敦化市贤儒镇保安村烟草试验田,地处42°42′N ~ 44°30′N、127°28′E ~ 129°17′E,平均海拔756 m,属中温带冷凉气候区,年平均气温2.6 ℃,年平均降水量631.8 mm[16]。
1.2 试验设计供试烤烟品种为吉烟九号。
试验设3个处理:烤烟连作(N-N)、玉米–烤烟轮作(Z-N)、大豆–烤烟轮作(G-N),每个处理重复3次,共设9个小区。小区行数6行,采用随机区组方法种植,行长10 m、行距1.2 m、株距0.5 m,小区面积72 m2。试验于2022年3月开始,前茬种植玉米施肥情况:高浓度硫酸钾复合肥40 kg/hm2,总养分≥45%,N∶P2O5∶K2O为12∶18∶15;追肥在玉米拔节期前进行,追施尿素15 kg/hm2,其中N含量为46%,试验地块不做秸秆还田处理。前茬种植大豆施肥情况:氮肥30 kg/hm2、磷肥75 kg/hm2、钾肥90 kg/hm2。2023年烟草种植于3月12日播种,5月17日大田移栽,氮素施用量为75 kg/hm²,氮(N)、磷(P2O5)、钾(K2O)的施用质量比为1∶1.5∶2.5。肥料配比采用烟草专用肥(N、P2O5、K2O含量分别为80、100、230 g/kg)、硫酸钾(K2O含量520 g/kg)和硝酸磷(N、P2O5含量为265、115 g/kg)。其中氮磷钾肥总量的1/2采用开沟条施方式作基肥施用,剩余1/2通过穴施方式追施。其他田间管理措施参照当地最优的生产管理办法进行。
1.3 土壤样品采集2023年7月烤烟烟叶成熟季,采取定距取样法,在试验地每隔10 m选取3株健康烟草植株,深挖20 cm取出烤烟根部,抖落表面土壤,将碎根、碎石剔除后,刮取根附着的土壤为根际土壤样品,放入无菌密封袋带回实验室。带回土壤样品分为3份,一份自然风干磨碎后过100 mm筛,用于测定土壤理化性质(有机质、pH、全氮、有效磷、速效钾);另外2份放入塑料试管中加入液氮速冷后–80 ℃冰箱保存,分别用于土壤酶活性测定(脲酶、酸性磷酸酶、蛋白酶、蔗糖酶、过氧化氢酶)和根际土壤微生物高通量序列分析。
1.4 测定方法土壤理化性质测定:有机质采用重铬酸钾容量法–稀释热法;全氮采用硫酸–高氯酸消化法;有效磷采用碳酸氢钠浸提法;速效钾采用醋酸铵浸提法;pH采用pH计测定[17]。
土壤酶活性测定:脲酶采用苯酚钠–次氯酸钠比色法;酸性磷酸酶采用磷酸苯二钠比色法;蛋白酶采用茚三酮比色法;蔗糖酶采用3, 5-二硝基水杨酸比色法;过氧化氢酶采用高锰酸钾滴定法[18]。
土壤微生物群落结构及多样性的测序分析:对供试土壤中的细菌和真菌采用Illumina NovaSeq高通量测序方法进行群落结构测定。流程为:微生物DNA提取与检测→PCR扩增与产物纯化→PCR产物定量和均一化→测序文库构建→上机测序。试验具体操作测试由北京迈克云科技股份有限公司完成。
烤烟烘烤后经济性状测算:烟叶采收烘烤时,每个小区单收、单编、单称重,计算产量、产值、上等烟比率、中上等烟比率。
1.5 数据处理与分析采用Excel 2019软件对根际土壤的理化性质、酶活性、烤后烟叶经济性状的数据进行整理和分析,采用SPSS 27进行多重比较分析。采用QIIME软件进行Alpha多样性指数、微生物丰度分析。在联川生物平台进行环境因子与微生物的相关性分析。
2 结果与分析 2.1 不同种植模式对烤烟根际土壤理化性质的影响不同种植模式下烤烟根际土壤有机质、速效钾、有效磷和全氮含量差异显著(P < 0.05),而土壤pH无显著性差异(表 1)。有机质和全氮含量变化一致,表现为轮作处理(Z-N、G-N)显著高于连作处理(N-N);速效钾、有效磷含量则在N-N处理中显著高于Z-N、G-N处理,分别为0.30、0.42 g/kg,Z-N、G-N处理间差异不显著。
|
|
表 1 不同种植模式下烤烟根际土壤理化性质 Table 1 Physiochemical properties of flue-cured tobacco rhizosphere soils under different planting patterns |
不同种植模式显著影响了烤烟根际土壤蛋白酶、脲酶、酸性磷酸酶、蔗糖酶、过氧化氢酶活性(表 2)。其中,N-N处理土壤蛋白酶、蔗糖酶、过氧化氢酶活性分别为17.18、4.18、172.91 (mg/(g·d)),显著低于Z-N、G-N处理;G-N处理的脲酶活性最高,为346.53 (mg/(g·d));酸性磷酸酶活性在Z-N土壤中最高,为1 876.66 (mg/(g·d))。
|
|
表 2 不同种植模式下烤烟根际土壤酶活性 Table 2 Enzyme activities of flue-cured tobacco rhizosphere soils under different planting patterns |
对于细菌,Chao1指数与Shannon指数在3种种植模式之间差异显著(表 3),由大到小排列顺序为Z-N > G-N > N-N;Simpson指数在3种种植模式之间不存在显著性差异。此外,覆盖度在各组样本中均达到99% 以上,说明样本中物种被测出的概率很高,没有被测出的概率很低,证明本次测序结果可以代表样本中微生物的真实情况。
|
|
表 3 不同种植模式下烤烟根际土壤细菌和真菌群落Alpha多样性 Table 3 Alpha diversities of bacterial and fungal communities in flue-cured tobacco rhizosphere soils under different planting patterns |
真菌rDNA ITS序列分析结果覆盖度均在99% 以上(表 3),不同处理间Chao1指数和Shannon指数差异显著(P < 0.05),与细菌相同,表现为Z-N最高,G-N最低。N-N的Simpson指数最低,为0.826 7。
2.4 不同种植模式对烤烟根际土壤微生物群落结构的影响 2.4.1 不同种植模式下烤烟根际土壤微生物门水平丰度3种种植模式下土壤样品中相对丰度前3位的细菌门为(图 1):变形菌门(Proteobacteria),占总量的27.38% ~ 28.96%;酸杆菌门(Acidobacteriota),占总量的16.00% ~ 22.83%;放线菌门(Actinobacteriota),占总量的8.28% ~ 13.33%。3种菌门合计占总量的57.56% ~ 64.03%,其中变形菌门和酸杆菌门在Z-N土壤中的相对丰度最高,其次是G-N土壤;放线菌门在N-N土壤中相对丰度最高。
|
图 1 不同种植模式下烤烟根际土壤细菌门水平丰度 Fig. 1 Abundance of bacteria at phylum level in flue-cured tobacco rhizosphere soils under different planting patterns |
3种种植模式下相对丰度前3位的真菌门为(图 2):壶菌门(Chytridiomycota),占总量的37.99% ~ 42.24%;子囊菌门(Ascomycota),占总量的35.79% ~ 39.33%;担子菌门(Basidiomycota),占总量的10.73% ~ 15.19%。3种菌门占总量的89.08% ~ 91.84%,其中壶菌门在G-N土壤中的相对丰度最高,子囊菌门在N-N土壤中的相对丰度最高,担子菌门在Z-N土壤中相对丰度最高。3个真菌门丰度之和在Z-N中最高,N-N中最低。
|
图 2 不同种植模式下烤烟根际土壤真菌门水平丰度 Fig. 2 Abundance of fungi at phylum level in flue-cured tobacco rhizosphere soils under different planting patterns |
对于土壤细菌属水平(图 3),在N-N处理中相对丰度前3位的为鞘氨醇单胞菌属(Sphingomonas,4.50%) > 苔藓杆菌属(Bryobacter,2.45%) > Candidatus_ Solibacter(2.43%);G-N处理中为鞘氨醇单胞菌属(4.31%) > Candidatus_Solibacter(4.15%) > 芽单胞菌属(Gemmatimonas,3.47%);Z-N处理中为芽单胞菌属(5.25%) > Candidatus_Solibacter(4.04%) > 鞘氨醇单胞菌属(2.77%)。
|
图 3 不同种植模式下烤烟根际土壤细菌属水平丰度 Fig. 3 Abundance of bacteria at genus level in flue-cured tobacco rhizosphere soils under different planting patterns |
而对于土壤真菌属水平(图 4),N-N处理中相对丰度前3位的为腐质霉属(Humicola,5.46%) > 被孢菌属(Mortierella,2.95%) > 镰刀菌属(Fusarium,2.83%);G-N处理中为腐质霉属(6.09%) > 镰刀菌属(4.96%) > 锥毛壳属(Coniochaeta,3.56%);Z-N中为腐质霉属(4.30%) > 镰刀菌属(3.86%) > 被孢菌属(3.52%)。
|
图 4 不同种植模式下烤烟根际土壤真菌属水平丰度 Fig. 4 Abundance of fungi at genus level in flue-cured tobacco rhizosphere soils under different planting patterns |
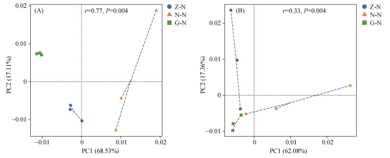
在属水平上对不同种植模式下的烤烟根际土壤细菌与真菌进行PCA分析(图 5),细菌群落的PCA分析结果表明:第1主成分(PC1)样品差异性贡献率为68.53%,第2主成分(PC2)样品差异性贡献率为17.11%,合计达到85.64%;ANOSIM组间差异检验的r=0.77,P=0.004,各处理之间距离较远,G-N在PC2轴上为正值,与Z-N相反,表明3个处理之间土壤细菌群落结构差异较大。真菌群落的PCA分析结果表明:第1、2主成分的差异性贡献率分别为62.08% 和17.36%,ANOSIM组间差异检验的r=0.33,P=0.004,Z-N、N-N、G-N之间真菌群落结构差异显著。
|
图 5 不同种植模式下烤烟根际土壤细菌(A)和真菌(B)属水平主成分分析 Fig. 5 Principal component analysis of bacteria (A) and fungi (B) at genus levels in flue-cured tobacco rhizosphere soils under different planting patterns |
采用Spearman相关性分析研究了土壤微生物群落结构组成在属水平上与土壤环境因子之间的相互关系。结果显示,对于土壤细菌(图 6),过氧化氢酶含量与芽单胞菌属呈显著正相关性;速效钾、全氮、脲酶和酸性磷酸酶与鞘氨醇单胞菌属呈显著负相关性;有机质、蛋白酶和蔗糖酶含量与Candidatus_ Solibacter属呈显著正相关性,有效磷则与Candidatus_ Solibacter属呈显著负相关性。
|
(AP:有效磷;AK:速效钾;TN:全氮;Organic matter:有机质;Catalase:过氧化氢酶;Protease:蛋白酶;Sucrase:蔗糖酶;Urease:脲酶;Acid Phosphatase:酸性磷酸酶;* 表示相关性达P < 0.05显著水平。下同) 图 6 不同种植模式下烤烟根际土壤细菌属水平丰度与环境因子的相关性热图 Fig. 6 Heatmap of correlations between bacteria abundance at genus level and environmental factors in flue-cured tobacco rhizosphere soils under different planting patterns |
对于土壤真菌(图 7),溶胶菌属(Solicoccozyma)和球毛壳属(Chaetomium)与有机质、蛋白酶、蔗糖酶呈显著负相关性,与有效磷呈显著正相关性;过氧化氢酶与锥毛壳属、镰刀菌属、Saitozyma菌属均呈显著正相关性;pH与腐质霉属呈显著负相关性。
|
(*、** 分别表示相关性达P < 0.05、P < 0.01显著水平) 图 7 不同种植模式下烤烟根际土壤真菌属水平丰度与环境因子的相关性热图 Fig. 7 Heatmap of correlations between fungi abundance at genus level and environmental factors in flue-cured tobacco rhizosphere soils under different planting patterns |
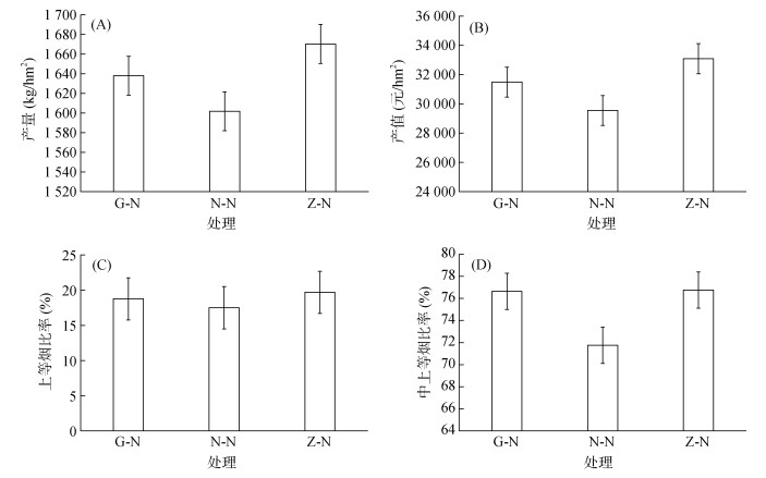
不同种植模式下烤烟的经济性状表现为:Z-N处理的烤烟产量、产值、上等烟比率、中上等烟比率最高,分别为1 670.38 kg/hm2、33 088.23元/hm2、19.68%、6.75%;N-N处理则均最低(图 8)。
|
图 8 不同种植模式下烤烟的经济性状 Fig. 8 Economic traits of flue-cured tobacco leaves under different planting patterns |
研究发现轮作处理下的根际土壤有机质、全氮含量显著高于连作土壤,这与贾健[19]的研究结果一致;而连作土壤中速效钾和有效磷含量显著高于轮作土壤,高浓度钾离子会干扰烤烟对其他营养元素的吸收和利用,导致养分失衡和生长受阻。轮作会使土壤中酶活性提高,连作使土壤中酶活性降低[20]。3种种植模式中,N-N处理土壤蛋白酶、蔗糖酶和过氧化氢酶活性显著低于G-N和Z-N处理。古战朝等人[20]研究发现土壤酶活性随土壤微生物数量和有机质含量变化而变化,本研究结果与此一致。贾健[19]研究结果表明,土壤有机质、全氮含量过高,不利于成熟期烟叶质量的形成。因此,在选择G-N或Z-N种植方式时,在施肥时应注意适当减少氮肥的用量。
3.2 不同种植模式对烤烟根际土壤微生物群落结构组成和多样性的影响轮作作为打破连作障碍的常用技术手段,可以促进根际微生物群落的多样性,改善土壤环境[21]。3种不同种植模式下根际土壤细菌Chao1指数和Shannon指数存在显著性差异,表现为Z-N > G-N > N-N,说明轮作可以提高烤烟土壤细菌多样性和丰富度,而在两种轮作模式中Z-N表现更好。推测原因可能是玉米残体中存在较高的全氮、蛋白质、可溶性糖,可为微生物提供良好生存环境,并且玉米根系分泌物中的有机酸可以较快活化土壤养分,促进植物吸收养分[22]。但在本研究中真菌Simpson指数存在差异,在G-N处理中最高,可能是由于G-N中真菌分布不均匀,优势真菌较明显。
对细菌门水平分析发现,轮作根际土壤中变形菌门、酸杆菌门和绿弯菌门相对丰度高于连作。与G-N处理相比,Z-N处理中变形菌门、酸杆菌门具有明显丰度优势。变形菌门具有促进植物生长、固氮和提高土壤肥力的作用,其丰度的提高有利于促进土壤养分循环[23],与赵峥等[24]的研究结果一致。而酸杆菌门作为新近被分出的菌门,具有嗜酸性,在土壤中可以驱动物质循环和生态环境的构建,二者均有着改善土壤根际环境的作用。在真菌群落中,担子菌门在土壤中具有分解木质纤维素,促进有机质的分解和转化的作用[25],在Z-N中,担子菌门相对丰度比其他两个处理高,说明Z-N可以使土壤肥力增加。连作模式下烤烟根际土壤子囊菌门的相对丰度升高,可能是导致根腐病发病的主要因素之一。
对细菌属水平结构组成分析发现,鞘氨醇单胞菌属相对丰度在Z-N中最低。鞘氨醇单胞菌属常在有机污染土壤中呈现优势富集特性[26],说明Z-N轮作可以减少烤烟土壤中的有毒物质积累,增强烤烟植株的抗逆性。Candidatus_Solibacter能够分解有机质、利用碳源,其在轮作土壤中相对丰度高于连作土壤,这可能也是轮作土壤理化性质表现优异的原因。芽单胞菌属作为一种高效的有机质分解菌和有机物降解菌[27],在Z-N土壤中展现出显著的种群优势,其相对丰度达到最高水平,Z-N轮作后土壤肥力增强、微生物活性升高、物质循环效率提高。在真菌中,腐质霉属和镰刀菌属均为致病菌,会引起萎蔫病和根腐病[28],导致烤烟减产,二者在Z-N中相对丰度最低,因此Z-N轮作能够减少烤烟患根腐病、萎蔫病的概率,提高烤烟的产质。被孢霉属的相对丰度在N-N土壤中最低,在Z-N土壤中最高,该菌属是一种有益菌,可以缓解土壤重金属及除草剂等的污染[29],有利于改善土壤环境。
3.3 烤烟根际土壤养分及酶活性与微生物群落的相关性本研究相关性分析表明土壤理化性质中全氮、有机质、有效磷含量是影响微生物群落结构变化的主要因素,与前人研究结果[30]一致。在土壤细菌群落中,芽单胞菌属具有固氮、分解有机质、增加土壤通气性和保水性的作用,土壤过氧化氢酶的活性有助于促进有机物质的分解和养分的释放,二者呈显著正相关性。在本试验中,Z-N和G-N土壤中过氧化氢酶活性显著高于N-N土壤,说明轮作土壤中的养分循环更为顺畅,肥力水平较高。速效钾、全氮、脲酶和酸性磷酸酶与鞘氨醇单胞菌属呈显著负相关性,说明鞘氨醇单胞菌属不适宜富集在高养分土壤环境中。
在真菌群落中,锥毛壳属和镰刀菌属与土壤过氧化氢酶呈显著正相关性,锥毛壳属具有重金属耐受性,可以参与土壤修复[31],其生态功能与过氧化氢酶在土壤修复中的作用具有协同效应,说明在土壤中当镰刀菌属致病菌滋生[32]时,过氧化氢酶含量和锥毛壳属丰度会同样提高,这可能是土壤生态系统为抵御病原菌增殖引发的负面影响而激活的双重防御机制。腐质霉属在烤烟根部为致病菌属[32],其相对丰度与土壤pH呈显著负相关性,说明pH偏酸易使烤烟染病,而本试验地3个种植模式土壤的pH均偏酸性,介于5.12 ~ 5.23,应引起注意,并及时采取相应措施。
3.4 不同种植模式对烤烟经济性状的影响在本试验中,Z-N轮作模式下烤烟的产量提高了4.28%,产值提高了11.98%,上等烟比率提高了12.47%,中上等烟比率提高了6.95%,这可能是由于Z-N处理土壤中微生物群落多样性较丰富,变形菌门、酸杆菌门、Candidatus_Solibacter、芽单胞菌属等细菌门和属相对丰度较高,为烤烟植株提高了较好的生长环境,并且Z-N处理土壤中致病菌属相对丰度最低,大大降低了烤烟植株的染病率。
4 结论烤烟种植中,轮作优于连作,能提升土壤肥力及酶活性。其中,玉米–烤烟轮作模式最佳,可以增加有益菌丰度,提高烤烟产量与质量。但本研究机制尚浅,且未提出土壤pH改良措施,未来需继续深入探究轮作机制及土壤改良方法。
| [1] |
国家统计局. 国家统计局关于2021年烤烟播种面积分省数据[DB/OL]. (2021-03-29). https://data.stats.gov.cn/easyquery.htm?cn=E0103.
( 0) |
| [2] |
高志华, 张学英, 葛会波, 等. 草莓根系分泌物障碍效应的模拟研究[J]. 植物营养与肥料学报, 2008, 14(1): 189-193 ( 0) |
| [3] |
He C N, Gao W W, Yang J X, et al. Identification of autotoxic compounds from fibrous roots of Panax quinquefolium L.[J]. Plant and Soil, 2009, 318(1): 63-72 ( 0) |
| [4] |
邱立友, 戚元成, 王明道, 等. 植物次生代谢物的自毒作用及其与连作障碍的关系[J]. 土壤, 2010, 42(1): 1-7 ( 0) |
| [5] |
Ye M, Sun M M, Huang D, et al. A review of bacteriophage therapy for pathogenic bacteria inactivation in the soil environment[J]. Environment International, 2019, 129: 488-496 ( 0) |
| [6] |
Zeng J R, Liu J Z, Lu C H, et al. Intercropping with turmeric or ginger reduce the continuous cropping obstacles that affect Pogostemon cablin (patchouli)[J]. Frontiers in Microbiology, 2020, 11: 579719 ( 0) |
| [7] |
苏浩, 张锐澎, 吴思炫, 等. 连作障碍产生机理及防控现状[J]. 土壤, 2024, 56(2): 242-254 DOI:10.13758/j.cnki.tr.2024.02.002 ( 0) |
| [8] |
全鑫, 杨艳艳, 梁娟, 等. 小麦–玉米轮作一体化保护栽培期间土壤微生物群落变化[J]. 中国农学通报, 2016, 32(12): 132-138 ( 0) |
| [9] |
李花, 葛玮健, 马晓霞, 等. 小麦–玉米轮作体系长期施肥对(土娄)土微生物量碳、氮及酶活性的影响[J]. 植物营养与肥料学报, 2011, 17(5): 1140-1146 ( 0) |
| [10] |
Berendsen R L, Pieterse C M J, Bakker P A H M. The rhizosphere microbiome and plant health[J]. Trends in Plant Science, 2012, 17(8): 478-486 ( 0) |
| [11] |
李仲强, 谭周进, 夏海鳌. 耕作制度对土壤微生物区系的影响[J]. 湖南农业科学, 2001(2): 24-25 ( 0) |
| [12] |
贾志红, 易建华, 苏以荣, 等. 烟区轮作与连作土壤细菌群落多样性比较[J]. 生态环境学报, 2010, 19(7): 1578-1585 ( 0) |
| [13] |
杨扬, 赵润野, 许明晓. 烟草作物布局及烟草轮作制度研究[J]. 种子科技, 2017, 35(6): 68-69 ( 0) |
| [14] |
刘鹏飞, 王晓琴, 张美茜, 等. 不同轮作模式对桔梗生长、根际土壤微生物及土壤酶活性的影响[J]. 生物资源, 2024, 46(2): 126-133 ( 0) |
| [15] |
肖金讯. 不同烟田复种轮作模式对烤烟生长和土壤环境影响的比较研究[D]. 长沙: 湖南农业大学, 2022.
( 0) |
| [16] |
闫士杰, 敦化市地方志编纂委员会. 敦化市志: 1986—2000[M].
吉林人民出版社, 长春, 2010
( 0) |
| [17] |
鲍士旦. 土壤农化分析(3版)[M].
中国农业出版社, 北京, 2000
( 0) |
| [18] |
关荫松. 土壤酶及其研究方法[M].
农业出版社, 北京, 1986
( 0) |
| [19] |
贾健. 不同种植模式对植烟土壤微生物多样性、土壤酶及烟叶质量的影响[D]. 郑州: 河南农业大学, 2016.
( 0) |
| [20] |
古战朝, 习向银, 刘红杰, 等. 连作对烤烟根际土壤微生物数量和酶活性的动态影响[J]. 河南农业大学学报, 2011, 45(5): 508-513 ( 0) |
| [21] |
陶怡帆. 烤烟玉米套作促进烟草成熟的机理研究[D]. 昆明: 云南农业大学, 2023.
( 0) |
| [22] |
王欣英. 前茬作物玉米和甘薯对烟草的轮作效应及其机理的研究[D]. 泰安: 山东农业大学, 2006.
( 0) |
| [23] |
田春丽, 姚丽娟, 鲁晓民, 等. 不同连作年限设施草莓土壤微生物群落结构分析[J]. 中国土壤与肥料, 2024(8): 102-110 ( 0) |
| [24] |
赵峥, 朱元宏, 周德平, 等. 不同轮作模式对稻田土壤肥力和微生物群落结构的影响[J]. 农业环境科学学报, 2024, 43(4): 874-885 ( 0) |
| [25] |
Wen Y C, Li H Y, Lin Z A, et al. Long-term fertilization alters soil properties and fungal community composition in fluvo-aquic soil of the North China Plain[J]. Scientific Reports, 2020, 10(1): 7198 ( 0) |
| [26] |
刘辉, 韦璐璐, 朱龙发, 等. 鞘氨醇单胞菌的研究进展[J]. 微生物学通报, 2023, 50(6): 2738-2752 ( 0) |
| [27] |
杜思瑶, 于淼, 刘芳华, 等. 设施种植模式对土壤细菌多样性及群落结构的影响[J]. 中国生态农业学报, 2017, 25(11): 1615-1625 ( 0) |
| [28] |
徐沛国, 谢奎忠, 胡新元, 等. 不同连作年限马铃薯根际土壤细菌群落特征研究[J]. 干旱地区农业研究, 2024, 42(3): 197-205 ( 0) |
| [29] |
Wei X M, Wang X Y, Cao P, et al. Microbial community changes in the rhizosphere soil of healthy and rusty Panax ginseng and discovery of pivotal fungal Genera associated with rusty roots[J]. BioMed Research International, 2020, 2020(1): 8018525 ( 0) |
| [30] |
Jin Q, Zhang Y Y, Ma Y Y, et al. The composition and function of the soil microbial community and its driving factors before and after cultivation of Panax ginseng in farmland of different ages[J]. Ecological Indicators, 2022, 145: 109748 ( 0) |
| [31] |
高正锋, 白羽祥, 朱宣全, 等. 烟草根黑腐病不同发病程度与土壤养分及微生物群落的关系[J]. 南方农业学报, 2022, 53(09): 2478-2486 ( 0) |
| [32] |
周旭东, 韩天华, 申云鑫, 等. 4种轮作模式下长期连作烟田土壤微生态的响应特征[J]. 中国农业科技导报, 2024, 26(3): 174-187 ( 0) |
2. Yanbian State Tobacco Company, Jilin Tobacco Company, Yanji, Jilin 133000, China;
3. Jilin Tobacco Industry Co., Ltd., Yanji, Jilin 130031, China
2025, Vol. 57



0)