2. 福建师范大学地理科学学院, 福州 350117
土壤碳储量约为大气碳储量的3倍,是陆地生态系统最大的有机碳库[1]。数据显示,全球范围内,每年由土壤呼吸产生的CO2大约在60 ~ 100 Pg,是化石燃料燃烧产生的CO2排放量的6倍[2-3]。土壤有机碳(SOC)分解约占土壤呼吸的60%,SOC的微小变化会显著影响大气CO2浓度[4]。因此,研究土壤呼吸和SOC含量变化对于实现固碳减排具有重要意义。
红壤是我国南方的主要土壤资源,呈酸性或强酸性,养分含量偏低[5]。红壤坡耕地是我国南方重要的农业生产载体。南方雨热同期的气候特点不仅导致红壤坡耕地SOC含量低且周转速度快,还导致红壤坡耕地水土流失严重,增加了SOC流失的风险,对生态环境和粮食安全造成严重威胁[6-7]。为提高SOC含量,农业生产过程中,常采取作物与绿肥轮作的方式进行培肥改良[8-9]。尚永盼[10]研究发现,与休闲相比,绿肥地表覆盖处理通过改变土壤温度、水分含量和容重,显著降低土壤呼吸速率,提高SOC含量。周泉等[11]研究表明,种植绿肥降低了土壤温度,从而抑制了油菜田间土壤呼吸,降低了油菜根际土壤SOC含量。王鹏飞[12]研究发现,与传统施氮相比,绿肥还田结合减量施氮显著降低土壤呼吸速率和呼吸总量,对SOC含量无显著影响。可见,作物与绿肥轮作方式对土壤呼吸和SOC含量的影响尚无定论,尤其是作物与绿肥轮作影响红壤坡耕地呼吸速率和SOC含量的机理尚不清楚。
因此,本研究以红壤坡耕地为研究对象,通过设置休闲(FA)、花生(PN)、花生–绿肥(PNV)、甘薯(SP)、甘薯–绿肥(SPV)和甘薯–花生(PS)6个处理,探究不同种植模式对红壤坡耕地土壤呼吸和SOC含量的影响及其机理,以期为红壤坡耕地的增碳减排提供理论依据和现实途径。
1 材料与方法 1.1 试验区概况研究地点位于江西省抚州市东乡区红壤综合试验站(116°34′99″ E,28°10′58″ N)。该地区属亚热带季风气候,年均气温17.7 ℃,年均降水量1 777 mm。供试土壤为红壤,由第四纪红黏土母质发育而来,初始土壤pH为4.67,有机碳(SOC)为11.4 g/kg,全氮(TN)为0.89 g/kg,速效氮(AN)为77.8 mg/kg,有效磷(AP)为20.6 mg/kg。
1.2 试验设计田间试验始于2012年,共设置6个处理:①休闲(FA);②花生(PN);③花生–绿肥(PNV);④甘薯(SP);⑤甘薯–绿肥(SPV);⑥甘薯–花生(PS)。各处理随机区组排列,每个处理3个重复。每个小区面积为27 m2 (4.5 m × 6.0 m),小区之间用60 cm深的水泥板隔开。
FA处理不种作物、不施肥、不除草且不打农药。种植花生处理,花生品种为粤油256号,于每年4月初播种,8月中旬收获,种植密度约为12万株/hm2。种植甘薯处理,甘薯品种为泉薯9号,于每年5月初种植,10月中旬收获,种植密度约为7.4万株/hm2。种植绿肥处理,绿肥品种为毛豌豆(Vicia vilosa Roth.),于每年11月初播种,在第二年花生或者甘薯种植前15 d翻压还田。毛豌豆干基中含碳363.5 g/kg,氮29.2 g/kg,磷2.6 g/kg,钾36.1 g/kg。PS处理,每年倒茬,例如2022年种甘薯,2023年种花生。不种绿肥处理的土壤冬季处于休耕状态。
供试化学氮、磷、钾肥分别为尿素(含N 460 g/kg)、钙镁磷肥(含P2O5 120 g/kg)和氯化钾(含K2O 600 g/kg),按当地推荐用量施用。花生的氮肥用量为N 136 kg/hm2,磷肥用量为P2O5 80 kg/hm2,钾肥用量为K2O 133 kg/hm2。甘薯的氮肥用量为N 119 kg/hm2,磷肥用量为P2O5 89 kg/hm2,钾肥用量为K2O 178 kg/hm2。所有肥料均一次性基施。
1.3 土壤样品采集与指标测定于2023年10月中旬进行土壤样品的采集。在各个小区以“S”形布点法随机选定5个点,用土钻分别采集表层(0 ~ 15 cm)和亚表层(15 ~ 30 cm)土壤,并将5个点相同土层的土壤混合均匀形成1个土样品,用无菌自封袋保存。其中,一部分新鲜土样在–20 ℃保存,用于测定土壤酶活性;一部分土样置于室内自然风干,挑去土样中的根系和小石子后,研磨过1 mm和0.15 mm筛,供土壤理化性质测定。
通过室内培养实验进行土壤呼吸速率的测定[13]。具体步骤如下:称取35 g风干土置于250 mL培养罐中,将土壤含水量调节至田间持水量的60% 后,密封培养罐,并将其放置在25℃环境下预培养5 d;然后打开培养罐,并将其放在通风橱中通风15 min,后用注射器在培养罐中抽取20 mL气体;之后继续将培养罐放置在25℃环境下并密闭培养8 h,培养结束后,再次用注射器抽取20 mL气体。使用红外气体分析仪(IRGA;LI-840,LiCor公司)测量气体样品中的CO2浓度,通过培养前后CO2浓度变化,计算得到CO2排放速率即土壤呼吸速率。整个过程中只在培养试验前后各取1次气体。
土壤碳转化相关酶(β-1,4-葡萄糖苷酶,BG;纤维二糖水解酶,CB;过氧化物酶,PER;酚氧化酶,POX)、氮转化相关酶(N-乙酰-β-D-氨基葡萄糖苷酶,NAG)和磷转化相关酶(酸性磷酸酶,ACP)采用荧光法测定[14]。具体步骤如下:称取1.5 g新鲜土壤,加入150 mL 50 mmol/L醋酸钠缓冲液,使用匀浆器在冰浴中混匀3 min,将混匀后的样品体积调节至最终体积200 mL。对于4种水解酶(BG、CB、NAG和ACP),在96孔板中加入200 μL的土壤浆液和50 μL的200 μmol/L酶底物;对于2种氧化酶(POX和PER),在96孔板中加入200 μL的土壤浆液和50 μL的200 μmol/L左旋多巴。上述装好的96孔板在25 ℃黑暗条件下培养,水解酶培养2.5 h(8个重复),氧化酶培养24 h(16个重复),之后使用微板荧光仪(SynergyH1M,Biotek,USA)在360 nm下测定水解酶活性,在460 nm下测定氧化酶活性。
土壤pH采用酸度计测定(土水质量比1∶2.5),阳离子交换量(CEC)采用乙酸铵交换法测定,有机碳(SOC)采用重铬酸钾–硫酸外加热法测定,全氮(TN)采用凯氏定氮法测定,碱解氮(AN)采用碱解扩散法测定,有效磷(AP)采用Olsen法测定,速效钾(AK)采用乙酸铵浸提–火焰光度法测定,铵态氮(NH4+-N)采用氯化钾溶液浸提–靛酚蓝比色法测定,硝态氮(NO3–-N)采用氯化钾溶液浸提–分光光度法测定。上述指标均参考鲍士旦[15]的方法。溶解性有机碳(DOC)和溶解性总氮(DTN)采用0.5 mol/L K2SO4(m土∶V液=1∶5)提取,经0.45 μm滤膜过滤后,用TOC/TN分析仪(Multi N/C 3100,德国)测定[14]。
1.4 数据处理与分析采用Excel 2016软件进行数据整理,Origin 2021软件进行图表绘制,所有结果均用3次重复的平均值±标准偏差表示。采用SPSS 26.0软件对CO2排放速率、化学性质和酶活性等数据进行方差分析和Pearson相关性分析,并用LSD法进行不同处理之间的多重比较(P < 0.05)。采用Origin 2021软件进行CO2排放速率与土壤性质之间的偏最小二乘法分析。
2 结果与分析 2.1 土壤pH、速效养分和氮形态的变化特征不同种植模式的土壤pH、速效养分和氮形态特征如表 1所示。与FA处理相比,PNV处理降低表层(0 ~ 15 cm)土壤pH,PN、PNV和SP处理显著降低表层土壤CEC、TN、AN、NH4+-N和DTN含量,同时也显著降低亚表层(15 ~ 30 cm)土壤DTN含量。PN、SP、SPV和PS处理显著增加表层土壤AP和AK含量,同时也显著增加亚表层土壤AP和NO3–-N含量。与PN处理相比,PNV处理显著降低表层土壤pH约0.38个单位,同时还显著降低表层土壤AK和亚表层土壤AP含量,降幅分别为29.9% 和40.5%,但显著增加表层土壤DTN含量91.6%。与SP处理相比,SPV处理显著增加表层土壤TN和AN含量,增幅分别为18.0% 和22.0%,但显著降低两层土壤的AK含量,降幅分别为27.5% 和24.7%。综上所述,与休闲相比,种植花生或甘薯会降低表层土壤氮含量;与不种绿肥相比,花生–绿肥种植模式会降低表层土壤pH和AK含量,增加DTN含量,而甘薯–绿肥种植模式却会增加表层土壤氮含量。
|
|
表 1 不同种植模式下土壤pH、速效养分和氮形态的变化特征 Table 1 Soil pH values, contents of available nutrients and nitrogen forms under different planting patterns |
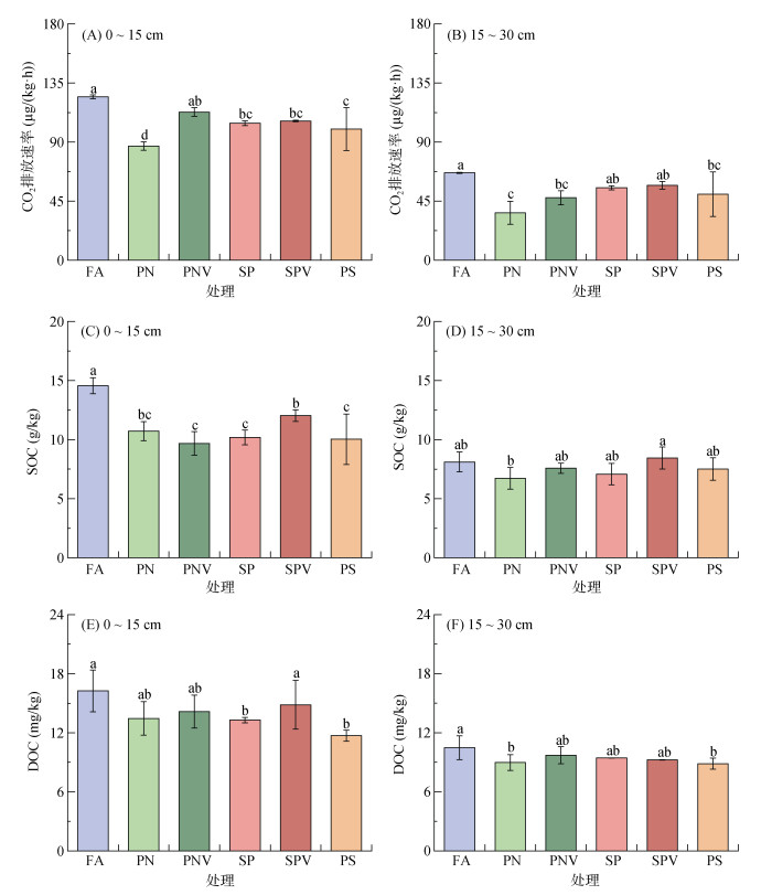
不同种植模式的CO2排放速率、SOC和DOC变化特征如图 1所示。与FA处理相比,PN、SP、SPV和PS处理显著降低表层土壤CO2排放速率(图 1A),而PN、PNV和PS处理降低亚表层土壤CO2排放速率(图 1B)。与FA处理相比,其余5个处理均显著降低表层土壤SOC含量(图 1C),SP和PS处理则分别降低表层和亚表层土壤DOC含量(图 1E、1F)。与PN处理相比,PNV处理显著增加表层土壤CO2排放速率29.9%,但对SOC和DOC无显著影响。与SP处理相比,SPV处理对表层土壤CO2排放速率无显著影响,但显著增加SOC和DOC含量,增幅分别为15.3% 和11.3%。总体而言,与休闲相比,种植甘薯会降低表层土壤CO2排放速率、SOC和DOC含量。与不种绿肥相比,花生–绿肥种植模式会增加表层土壤CO2排放速率,而甘薯–绿肥种植模式不仅不会增加土壤CO2排放速率,还会增加土壤SOC和DOC含量。
|
(图中小写字母不同表示不同处理之间差异在P < 0.05水平显著;下同) 图 1 不同种植模式下土壤CO2排放速率、SOC和DOC含量的变化特征 Fig. 1 Soil CO2 emission rates, SOC and DOC contents under different planting patterns |
不同种植模式的土壤碳循环相关酶活性如图 2所示。对于表层土壤,与FA处理相比,PN、PNV、SP和PS处理显著降低BG和PER活性,SPV处理显著增加CB和POX活性并降低PER活性。对于亚表层土壤,与FA处理相比,PN处理显著降低PER活性,SP和SPV处理显著增加POX活性。与PN处理相比,PNV处理显著增加表层土壤CB活性和亚表层土壤PER活性,增幅分别为73.3% 和25.7%。与SP处理相比,SPV处理显著增加表层土壤BG和CB活性,增幅分别为101% 和75.3%,同时还显著增加亚表层土壤POX活性11.7%。因此,与休闲相比,种植花生或甘薯会降低表层土壤BG和PER活性;与不种绿肥相比,花生–绿肥和甘薯–绿肥种植模式均会增加表层土壤CB活性和亚表层PER活性,而甘薯–绿肥种植模式还会增加表层土壤BG活性。
|
图 2 不同种植模式下土壤碳循环相关酶活性的变化特征 Fig. 2 Enzyme activities related to soil carbon cycling under different planting patterns |
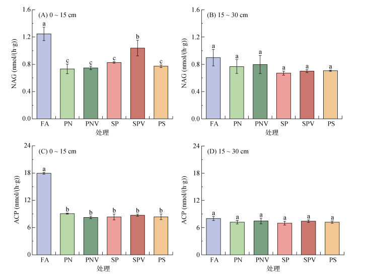
不同处理的土壤氮磷循环相关酶活性如图 3所示。与FA处理相比,PN、PNV、SP、SPV和PS处理显著降低表层土壤NAG和ACP活性。与PN相比,PNV处理对表层和亚表层土壤NAG和ACP活性均无显著影响。与SP处理相比,SPV处理显著增加表层土壤NAG活性25.3%,对亚表层土壤NAG和ACP活性均无显著影响。因此,与休闲相比,种植作物和作物–绿肥种植模式均会降低氮磷循环相关酶活性;与不种绿肥相比,甘薯–绿肥种植模式会增加表层土壤NAG活性。
|
图 3 不同种植模式下土壤氮和磷循环相关酶活性 Fig. 3 Activities of enzymes related to soil nitrogen and phosphorus cycling under different planting patterns |
对于表层土壤,CO2排放速率与SOC、TN、AN、DTN、NH4+-N含量及NAG和ACP活性呈极显著正相关(P < 0.01),与BG和CBP活性呈显著正相关(P < 0.05),与AK、AP含量和POX活性呈显著负相关(P < 0.05)(图 4A)。SOC含量与TN、AN、DOC、DTN、NH4+-N含量及BG、NAG和ACP活性呈显著正相关(P < 0.05),与AK、AP含量和POX活性呈显著负相关(P < 0.05)。对于亚表层土壤,CO2排放速率与TN、DOC和DTN含量呈极显著正相关(P < 0.01),与SOC、AN、NH4+-N含量及PER活性呈显著正相关(P < 0.05)(图 4B)。SOC含量与TN、AN和DTN含量呈显著正相关(P < 0.05)。
|
(×表示无显著相关性,P > 0.05) 图 4 表层(A)和亚表层(B)土壤CO2排放速率与化学性质和酶活性的相关性 Fig. 4 Correlations of soil CO2 emission rates in surface layer (A) and sub-surface layer (B) with chemical properties and enzyme activities |
|
(白色柱子表示具有显著效应,灰色柱子表示无显著效应) 图 5 表层(A)和亚表层(B)土壤化学性质、酶活性与CO2排放速率的偏最小二乘法分析 Fig. 5 Partial least squares analysis of soil chemical properties, enzyme activities and CO2 emission rates in surface layer (A) and sub-surface layer (B) |
预测变量重要性(VIP)可用来衡量自变量对因变量的影响程度,当VIP值大于1时表示具有显著效应。偏最小二乘法分析结果表明,对于表层土壤,DTN、BG、NH4+-N、TN、AN、ACP和AP是影响CO2排放速率的主要因子,其VIP值分别为1.61、1.11、1.11、1.11、1.02、1.01和1.00。对于亚表层土壤,DTN、TN、DOC、AN、NH4+-N、SOC和PER是影响CO2排放速率的主要因子,其VIP值分别为1.76、1.29、1.27、1.16、1.13、1.10和1.06。因此,DTN是表层和亚表层土壤CO2排放速率最主要的影响因子。
3 讨论 3.1 不同种植模式对土壤氮形态和酶活性的影响本研究发现,与休闲相比,种植花生或甘薯会降低表层土壤AN、TN和DTN含量,这与王书伟等[16]和杨成等[17]的研究结果一致。这可能有两方面原因:一方面是因为花生或甘薯会大量吸收土壤中的无机氮,导致AN和TN含量降低[18-19];另一方面是由于本研究是在红壤坡耕地上进行的,南方红壤区的高温多雨会加速坡耕地土壤养分淋溶,导致土壤中的可溶性氮损失。本研究中,与不种绿肥相比,花生–绿肥处理会增加DTN含量,甘薯–绿肥处理却会增加表层土壤AN、TN和DTN含量,这与Wang等[20]研究结果一致。首先,豆科绿肥根部含有固氮根瘤菌,可以将大气中的N2转化为土壤中的有效氮[20];其次,绿肥翻压还田后在微生物的分解下,能够进一步为土壤提供丰富的有机质和矿质养分[21]。此外,冬季作物根系和残茬可以通过促进土壤团聚过程来改善土壤结构,从而提高土壤的养分保持能力[22]。因此,在南方红壤区坡耕地上种植作物时,推荐作物–绿肥轮作的种植模式,这既能提高土壤养分含量,培肥土壤,又能减少矿质养分损失,降低农业面源污染的风险。
与休闲相比,种植花生或甘薯会降低表层土壤碳氮磷转化相关酶活性。这可能是因为种植花生或甘薯显著降低了SOC和TN含量,这会导致微生物可利用的碳源和氮源减少,不利于微生物的生长,从而降低了碳氮磷转化相关酶活性[23]。与不种绿肥相比,花生–绿肥和甘薯–绿肥处理会增加表层土壤BG、CB活性和亚表层PER活性。这主要有两方面的原因:一方面,冬种绿肥并翻压还田后,绿肥残体中的酶会直接进入土壤,增加土壤酶的来源[23];另一方面,绿肥残体中的植物源碳能够为微生物提供丰富的有机碳源,刺激微生物活动并促进其分泌胞外酶[24]。同时,甘薯–绿肥处理还会增加表层土壤NAG活性,这与Jia等[25]研究结果一致。这可能是因为相较于甘薯处理,冬种绿肥通过生物固氮作用、根系分泌物增加和翻压后的残体分解等作用,增加土壤氮素水平和微生物数量,微生物通过同化利用这些氮素来促进自身的生长,激发土壤中的相关微生物分泌酶,从而促进了氮循环相关酶活性[26]。
3.2 不同种植模式对土壤CO2排放速率和有机碳含量的影响土壤呼吸是一个复杂的生物化学过程,其速率受到人为因素(施肥管理、种植模式和耕作方式等)、生物因素(微生物、酶活性和有机碳等)和非生物因素(温度、湿度和含水量等)的影响[9, 27]。本研究发现,与休闲处理相比,除花生–绿肥处理外,其他种植模式均降低了表层土壤CO2排放速率。偏最小二乘法分析结果表明,DTN、BG、NH4+-N、TN、AN、ACP和AP是影响表层土壤CO2排放速率的主要因素。这可能是因为其他种植模式下土壤氮素(DTN、NH4+-N、TN、AN)和酶活性(BG、ACP)均出现了不同程度的下降,这导致了土壤微生物可利用氮源减少,抑制了微生物生长及其活性,进而减少了微生物分泌相关酶。BG可将纤维素水解为多糖,供微生物自身生长利用,也可作为土壤中异养型呼吸强度的指示指标[24]。ACP活性直接影响土壤中有机磷的分解和磷的生物有效性,磷的有效性又能直接影响微生物的群落结构、功能活性及生态过程[25]。当土壤可利用氮素含量、BG和ACP活性下降时,会直接降低土壤呼吸强度。而与不种绿肥相比,花生–绿肥处理会增加表层土壤CO2排放速率29.9%,甘薯–绿肥处理却对表层土壤CO2排放速率无显著影响(图 1)。吕奕彤[28]研究发现,相比于不还田处理,绿肥全量还田可显著提高土壤呼吸速率约8.0%。谢军红等[29]研究发现,相比于施化肥,施有机肥提高土壤呼吸速率约25.0%。本研究中,花生–绿肥处理显著增加了土壤DTN含量91.6%(表 1),且表层土壤CO2排放速率与DTN含量呈极显著正相关(图 4A)。DTN含量的提高能够为微生物活动提供充足的氮源,提高微生物数量及活性,导致土壤呼吸作用增强,加速SOC的分解,最终导致花生–绿肥处理土壤SOC含量无显著变化[26-27]。而甘薯–绿肥处理虽然增加了BG活性,但对DTN含量和ACP活性无显著影响,这些因子的综合效应可能导致表层土壤CO2排放速率无显著变化。
本研究中,相比于休闲处理,花生和花生–绿肥处理显著降低亚表层土壤CO2排放速率。偏最小二乘法分析结果表明,DTN、TN、DOC、AN、NH4+-N、SOC和PER是影响亚表层土壤CO2排放速率的主要因子。亚表层土壤CO2排放速率与TN和DTN含量呈极显著正相关(P < 0.01),与AN和NH4+-N含量呈显著正相关(P < 0.05)(图 4B),这与Zhang等[8]研究结果一致。DTN、TN、AN和NH4+-N是土壤中的主要氮源,能够为微生物生命活动提供所需的能量,影响微生物活性,从而决定土壤呼吸强度[8]。亚表层土壤CO2排放速率与DOC和SOC含量分别呈极显著和显著正相关(图 4B),这与Qiu等[27]研究结果一致。DOC是SOC中最活跃的组分之一,占微生物可利用碳的60% ~ 80%,能够驱动土壤呼吸[30]。而SOC是土壤中重要的碳源,与微生物活性密切相关,SOC含量增加可以促进微生物增殖,从而加速SOC分解,并加剧CO2排放[31]。因此,土壤中碳、氮等养分是土壤呼吸作用的底物,是决定土壤呼吸作用强度的主要因子。同时,本研究发现,花生处理降低了亚表层土壤PER活性,且亚表层土壤CO2排放速率与PER活性呈显著正相关(P < 0.05)(图 4B)。PER活性能够催化酚类物质的氧化反应,参与木质素降解、腐殖质形成及土壤碳循环过程,其活性越高,SOC的周转速度越快[32]。因此,土壤呼吸受多种环境因子的综合影响。
本研究还发现,与休闲处理相比,种植甘薯会降低表层土壤SOC和DOC含量。休闲处理中的杂草凋落物含有较多易被微生物分解的糖类和淀粉等物质,腐解后可促进土壤腐殖质组分以及有机大分子的形成,从而有利于SOC的转化和积累[33]。而种植甘薯处理,耕作会加剧对土壤的扰动,从而导致DOC和SOC损失[33]。相比于甘薯处理,甘薯–绿肥处理会增加表层土壤SOC和DOC含量,这与鲁泽让等[34]研究结果相似,他们发现玉米–绿肥–玉米处理的SOC含量较玉米–玉米处理提高约21.3% ~ 30.2%。本研究中,表层SOC含量与BG、NAG和ACP活性呈显著正相关,与POX活性呈显著负相关(P < 0.05)。由于BG会参与催化植物残体中存在的各种β-葡萄糖苷的水解和生物降解,ACP和NAG分别影响磷素和氮素循环及其有效性,从而间接影响SOC转化和积累[25-26]。甘薯–绿肥处理中BG和NAG活性的增加,有利于绿肥翻压还田后的腐殖化进程,同时也能够及时分解绿肥丰富的根系分泌物,从而促进有机碳的形成。因此,甘薯–绿肥处理会显著提高红壤坡耕地的SOC含量。
4 结论与休闲相比,种植作物会降低红壤坡耕地表层土壤呼吸速率、碳氮含量和氮磷循环相关酶活性。相较于不种绿肥,花生–绿肥处理会增加红壤坡耕地表层土壤呼吸速率和碳循环相关酶活性,而甘薯–绿肥处理不仅不会增加表层土壤呼吸速率,还会增加表层土壤SOC、DOC含量和碳氮循环相关酶活性。DTN是影响红壤坡耕地表层和亚表层土壤呼吸速率最主要的因子。因此,在南方红壤丘陵区坡耕地生产过程中,推荐“甘薯–绿肥”轮作模式,其不仅能够增加土壤有机碳含量,提高土壤肥力,还可以固碳减排,增加生态环境效益。
| [1] |
Wu J J, Zhang H, Pan Y T, et al. Particulate organic carbon is more sensitive to nitrogen addition than mineral-associated organic carbon: A meta-analysis[J]. Soil and Tillage Research, 2023, 232: 105770 DOI:10.1016/j.still.2023.105770 ( 0) |
| [2] |
Yao Y T, Ciais P, Viovy N, et al. A data-driven global soil heterotrophic respiration dataset and the drivers of its inter-annual variability[J]. Global Biogeochemical Cycles, 2021, 35(8): e2020GB006918 DOI:10.1029/2020GB006918 ( 0) |
| [3] |
IPCC: Climate Change 2023: Synthesis Report. Contribution of Working Groups Ⅰ, Ⅱ and Ⅲ to the Sixth Assessment Report of the Intergovernmental Panel on Climate Change. IPCC, Geneva, Switzerland, 2023: 35–115.
( 0) |
| [4] |
Xie J, Chen Y X, Huang R, et al. Long-term nitrogen application decreased mineral-associated organic carbon while increasing particulate organic carbon in purple soil in southwest China[J]. Journal of Environmental Management, 2025, 373: 123455 DOI:10.1016/j.jenvman.2024.123455 ( 0) |
| [5] |
叶桂萍, 蓝嘉惠, 成于恒, 等. 长期施肥对旱地红壤反硝化潜势和反硝化菌的影响[J]. 亚热带资源与环境学报, 2024(4): 45-52 ( 0) |
| [6] |
成艳红, 王馨悦, 林小兵, 等. 稻草覆盖和香根草篱措施下坡耕地红壤细菌群落结构特征及其影响因素[J]. 土壤, 2021, 53(3): 522-528 DOI:10.13758/j.cnki.tr.2021.03.011 ( 0) |
| [7] |
李继文, 柳开楼, 余喜初, 等. 稻草覆盖和香根草篱联合调控红壤坡耕地土壤团聚体粒组碳钾分配规律[J]. 土壤, 2022, 54(4): 787-792 DOI:10.13758/j.cnki.tr.2022.04.017 ( 0) |
| [8] |
Zhang D K, Yin W, Chai Q, et al. Enhancing crop production and carbon sequestration of wheat in arid areas by green manure with reduced nitrogen fertilizer[J]. Journal of Environmental Management, 2024, 365: 121571 DOI:10.1016/j.jenvman.2024.121571 ( 0) |
| [9] |
Zhang J, Li P K, Li L, et al. Soil respiration and carbon sequestration response to short-term fertilization in wheat-maize cropping system in the North China Plain[J]. Soil and Tillage Research, 2025, 251: 106536 DOI:10.1016/j.still.2025.106536 ( 0) |
| [10] |
尚永盼. 绿洲灌区绿肥还田方式对玉米田土壤呼吸特征的影响[D]. 兰州: 甘肃农业大学, 2024.
( 0) |
| [11] |
周泉, 王龙昌, 熊瑛, 等. 绿肥间作和秸秆覆盖对冬季油菜根际土壤有机碳及土壤呼吸的影响[J]. 环境科学, 2016, 37(3): 1114-1120 ( 0) |
| [12] |
王鹏飞. 绿肥还田条件下减量施氮对玉米产量及土壤呼吸特征的影响[D]. 兰州: 甘肃农业大学, 2023.
( 0) |
| [13] |
Su Y G, Liu J, Zhang Y M, et al. More drought leads to a greater significance of biocrusts to soil multifunctionality[J]. Functional Ecology, 2021, 35(4): 989-1000 DOI:10.1111/1365-2435.13761 ( 0) |
| [14] |
Chen Y, Liu X, Hou Y, et al. Particulate organic carbon is more vulnerable to nitrogen addition than mineral-associated organic carbon in soil of an alpine meadow[J]. Plant Soil, 2021, 458: 93-103 DOI:10.1007/s11104-019-04279-4 ( 0) |
| [15] |
鲍士旦. 土壤农化分析(3版)[M].
中国农业出版社, 北京, 2000
( 0) |
| [16] |
王书伟, 吴正贵, 孙永泉, 等. 太湖地区典型轮作与休耕方式对稻田水稻季N2O和CH4排放量的影响[J]. 生态环境学报, 2021, 30(1): 63-71 ( 0) |
| [17] |
杨成, 孟凡非, 彭艳, 等. 种植模式对喀斯特山地农田土壤可溶性氮含量、组分及迁移的影响[J]. 生态学杂志, 2019, 38(10): 3033-3041 ( 0) |
| [18] |
郑文琦, 谭文峰, 刘昭, 等. 氮肥减施对红壤旱坡花生地氮素径流和渗漏损失及表观平衡的影响[J]. 土壤学报, 2022, 59(6): 1540-1550 ( 0) |
| [19] |
张辉, 谭诚, 周晓月, 等. 长江中下游甘薯氮磷钾肥施用效果与区域土壤养分丰缺指标研究[J]. 土壤, 2022, 54(4): 676-681 DOI:10.13758/j.cnki.tr.2022.04.003 ( 0) |
| [20] |
Wang H C, Zhou Q, Wang S B, et al. Effects of long-term winter cropping on paddy rice yield, soil properties and rhizosphere bacterial community in Southern China[J]. Field Crops Research, 2025, 322: 109734 DOI:10.1016/j.fcr.2024.109734 ( 0) |
| [21] |
席笑薇, 刘佳, 朱君康, 等. 种植毛叶苕子对花生和甘薯土壤氨氧化微生物功能基因丰度的影响[J/OL]. 应用与环境生物学报, 2025: 1–13. (2025-06-26). https://link.cnki.net/doi/10.19675/j.cnki.1006-687x.2025.03023.
( 0) |
| [22] |
王赢, 罗琦, 吕新新, 等. 绿肥紫云英对稻田土壤系统氮素平衡的影响综述[J]. 中国农学通报, 2020, 36(30): 49-54 ( 0) |
| [23] |
Israr K, Suk G, Ashraful A, et al. Short term effects of different green manure amendments on the composition of main microbial groups and microbial activity of a submerged rice cropping system[J]. Applied Soil Ecology, 2020, 147: 103400 DOI:10.1016/j.apsoil.2019.103400 ( 0) |
| [24] |
管彤彤, 张燕, 陶海宁, 等. 绿肥还田对土壤有机碳组分及碳转化酶活性的影响[J]. 中国农业科学, 2024, 57(14): 2791-2802 ( 0) |
| [25] |
Jia L, Zhang H J, Lu J Y, et al. Green manuring with balanced fertilization improves soil ecosystem multifunctionality by enhancing soil quality and enzyme activities in a smooth vetch-maize rotation system[J]. Agriculture, Ecosystems & Environment, 2025, 387: 109632 ( 0) |
| [26] |
Li S, Zhou G D, Zhou G P, et al. Rice straw returning under winter green manuring enhances soil carbon pool via stoichiometric regulation of extracellular enzymes[J]. Soil and Tillage Research, 2025, 252: 106617 DOI:10.1016/j.still.2025.106617 ( 0) |
| [27] |
Qiu Y F, Tang R G, Liu Y H, et al. Field experiment reveals varied earthworm densities boost soil organic carbon more than they increase carbon dioxide emissions[J]. Geoderma, 2025, 456: 117251 DOI:10.1016/j.geoderma.2025.117251 ( 0) |
| [28] |
吕奕彤. 干旱绿洲绿肥还田利用方式对玉米田土壤碳平衡的短期效应[D]. 兰州: 甘肃农业大学, 2021.
( 0) |
| [29] |
谢军红, 王进斌, 李玲玲, 等. 培肥模式对旱作全膜双垄沟播玉米生长及土壤呼吸的影响[J]. 干旱地区农业研究, 2020, 38(1): 79-85 ( 0) |
| [30] |
Abe Y, Nakayama M, Atarashi-Andoh M, et al. Quantitative evaluation of carbon dioxide emissions from the subsoils of volcanic and non-volcanic ash soils in temperate forest ecosystems[J]. Geoderma, 2025, 455: 117221 DOI:10.1016/j.geoderma.2025.117221 ( 0) |
| [31] |
梁栋, 周巧林, 张辉, 等. 生物质炭和有机肥配施对水稻土溶解性有机质光谱学特征的影响[J]. 土壤学报, 2024, 61(4): 1123-1133 ( 0) |
| [32] |
Chen J G, Xiao W, Zheng C Y, et al. Nitrogen addition has contrasting effects on particulate and mineral-associated soil organic carbon in a subtropical forest[J]. Soil Biology and Biochemistry, 2020, 142: 107708 DOI:10.1016/j.soilbio.2020.107708 ( 0) |
| [33] |
Liu X T, Tan S W, Song X J, et al. Response of soil organic carbon content to crop rotation and its controls: A global synthesis[J]. Agriculture, Ecosystems & Environment, 2022, 335: 108017 ( 0) |
| [34] |
鲁泽让, 李永梅, 杨春怀, 等. 连续周年轮作休耕对土壤团聚体稳定性及有机碳的影响[J]. 环境科学, 2024, 45(3): 1644-1654 ( 0) |
2. School of Geography Science, Fujian Normal University, Fuzhou 350117, China
2025, Vol. 57



0)