2. 景德镇学院机械电子工程学院, 江西景德镇 333000
南方红壤区是我国亚热带重要的农业生产基地[1],但长期高强度垦殖与水土流失造成土壤酸化加剧、有机质贫瘠、养分失衡和结构性板结等退化现象[2-3],严重制约其生产潜力与生态功能。另外,长期的不合理耕作(如旋耕)与施肥方式(单施化肥等)也会造成土壤地力下降、土壤板结、耕作层变浅[4-5],进而导致作物产量低而不稳。研究表明,秸秆还田能改善土壤物理性质,如降低容重、提升孔隙度与团聚体稳定性等[6-7],并增加表层有机碳,改善土壤养分状况,还可以提高土壤酶活性及微生物多样性等[8-10],秸秆还田是提高土壤肥力和提高作物产量的有力措施。
秸秆还田对土壤理化性质的调控效应还受土壤母质、还田深度、秸秆类型及持续时间等因素影响[11-12]。红壤因其固有的黏重板结特性,需要通过耕作措施(如翻耕、深耕等)破解土壤板结[13]。宋鸽等[14]试验表明,翻耕可以将农作物残茬带入耕层土壤,从而增加耕层厚度,并提高土壤养分;邹文秀等[15]研究发现深耕能改善土壤物理性质,提高黑土的水分调节能力。但是,长期旋耕会导致深层土壤紧实,不利于作物根系下扎[16];浅耕会导致土壤养分集中于表层[17];免耕和秸秆覆盖等可能导致作物减产且有机碳积累主要集中在表层,而深层土壤养分未能充分利用[18];同时秸秆还田后若耕作不到位也会影响后续农作物生产。长期单一耕作不利于土壤性状的改善和土壤生产力的提高,每种耕作方式对土壤的作用不同,不同的耕作方式及其秸秆还田还会影响土壤的营养成分[19],只有适宜的耕作方式与秸秆还田相结合才能有效改善土壤环境,从而提高作物产量。
目前,较多研究集中于东北黑土区深翻与秸秆深混还田[15, 20]。但是,南方红壤区不同耕作与秸秆还田方式对作物产能及土壤肥力等的影响并不清晰。因此,本研究依托2015年设置的田间定位试验,探究在旋耕和翻耕两种耕作条件下,选择无秸秆、秸秆覆盖和秸秆翻埋3种秸秆还田方式对旱地红壤物理、化学、生物特性及其花生产量的影响,对明确长期耕作结合秸秆还田下土壤肥力特征和养分利用策略具有重要意义,并为南方地区旱地红壤区域优化农艺措施提供理论依据和技术支撑。
1 材料与方法 1.1 试验地概况试验位于江西省进贤县温圳镇杨家村(116°8′5″E,28°19′30″N)。试验前(2015年)耕层土壤pH 4.76,有机碳含量8.90 g/kg,全氮、全磷和全钾含量分别为1.10、0.35和11.52 g/kg,碱解氮、有效磷和速效钾含量分别为114.35、8.02和143.84 mg/kg。
1.2 试验设计采用裂区试验,主处理设旋耕和翻耕两种耕作方式,副处理设无秸秆、秸秆覆盖和秸秆翻埋3种秸秆还田方式,具体试验处理见表 1。试验采取随机区组,3次重复,小区面积30 m2。试验开始于2015年,到2021年采样时已开展7年,种植作物为花生,品种为粤油933,种植规格为33 cm×15 cm,于2021年4月10日播种,8月16日收获。水稻秸秆用量为3 000 kg/hm2。
|
|
表 1 耕作方式和秸秆还田处理 Table 1 Tillage and straw returning patterns in field experiment |
在花生成熟期(2021年8月),通过环刀采集并测定土壤容重等物理性质,按“S”形采样法采集0 ~ 20 cm土壤,混匀去除根系与杂质后,一份保存于–4 ℃冰箱,用于土壤酶活性和微生物生物量碳氮测定;另一份风干过筛后测定土壤化学性质。待花生成熟后,将小区全部花生收齐、脱粒,并在自然条件下晒干。
1.4 土壤样品测定土壤容重、非毛管孔隙度、毛管孔隙度、总孔隙度、饱和含水量、毛管持水量、田间持水量等物理指标测定参考《森林土壤水分–物理性质的测定》[21]。土壤团聚体采用湿筛法[22]测定,并通过粒径 > 0.25 mm水稳性团聚体的百分含量(R0.25)和平均质量直径(MWD)来评价团聚体稳定性[23]。土壤pH、有机碳、全氮、全磷、全钾、碱解氮、有效磷、速效钾等化学性质参考《土壤农业化学分析方法》[24]测定。土壤脲酶、过氧化氢酶、磷酸单酯酶和蔗糖酶分别采用苯酚钠比色法、高锰酸钾滴定法、对硝基苯磷酸盐法和水杨酸比色法测定[24]。土壤微生物生物量碳氮采用氯仿熏蒸法测定[24]。
1.5 数据统计采用R4.5.1软件整理数据,进行方差分析和相关性分析,采用LSD进行多重比较(P < 0.05),并通过R语言软件程序包ggplot2进行制图。土壤肥力指数参考文献[25-26]进行计算。
2 结果与分析 2.1 花生产量如图 1所示,旱地红壤经过7年不同耕作与秸秆还田方式后,各处理花生产量表现为PSD > PSF > RSD > RSF > PC > RC的趋势,花生产量为3 493.33 ~ 5 156.67 kg/hm2。耕作方式对花生产量影响较小(P > 0.05),其中PC处理较RC处理花生产量增加了4.20%。秸秆还田对花生产量有极显著影响(P < 0.01),与RC处理相比,RSF和RSD处理花生产量显著增加了24.62% 和37.31%;与PC处理相比,PSF和PSD处理花生产量显著增加了34.34% 和41.67%,说明秸秆翻埋对提升花生产量效果要优于秸秆覆盖。由图 1可见,耕作与秸秆还田的交互作用对花生产量无显著影响。
|
(T表示耕作措施,S表示秸秆还田方式;小写字母不同表示处理间差异达P < 0.05显著水平;**表示处理影响达P < 0.01显著水平,NS表示没有显著影响。下同) 图 1 耕作方式和秸秆还田对花生产量的影响 Fig. 1 Peanut yields under different tillage and straw returning patterns |
耕作和秸秆还田方式及其交互作用对土壤物理性质产生了不同程度的影响。如表 2所示,耕作方式对耕层厚度和有效耕层土壤量具有极显著影响(P < 0.01),表现为翻耕处理显著高于旋耕处理,其耕层深度和耕层有效土壤量分别提高了68.02% 和59.09%。秸秆还田方式显著影响土壤容重(P < 0.01)和毛管孔隙度(P < 0.05),在旋耕条件下,RSF处理的土壤毛管孔隙度较RC处理显著提高了42.36%。在翻耕条件下,PSD处理的土壤毛管孔隙度较PSF和PC处理比分别显著提高了101.25% 和33.00%。具体而言,秸秆深埋相比浅埋和不还田,更有利于增加保水能力,降低土壤紧实度,促进花生根系生长。另外,耕作与秸秆还田方式的交互作用对土壤容重和毛管孔隙度影响显著(P < 0.05)。而土壤非毛管孔隙度、总孔隙度、饱和含水量、毛管持水量、田间持水量等物理性质均未受耕作措施和秸秆还田方式及其交互作用的显著影响。
|
|
表 2 耕作方式和秸秆还田对土壤物理性质的影响 Table 2 Soil physical properties under different tillage and straw returning patterns |
如表 3所示,耕作方式显著影响0.25 ~ 2 mm粒径团聚体含量(P < 0.01)和R0.25(P < 0.05)。秸秆还田对所有粒径土壤团聚体分布、R0.25和MWD均产生极显著影响(P < 0.01),与RC处理相比,RSF和RSD处理均显著提高了 > 2 mm、0.25 ~ 2 mm粒径团聚体含量,以及团聚体稳定性指数R0.25和MWD,增幅分别为17.34% ~ 25.71%、8.56% ~ 13.12%、9.91% ~ 15.07% 和8.22% ~ 13.70%;而降低了0.053 ~ 0.25 mm和 < 0.053 mm粒径团聚体含量,降幅分别为9.10% ~ 19.29% 和10.46% ~ 17.45%。与PC处理相比,PSF和PSD处理同样显著提高了 > 2 mm、0.25 ~ 2 mm粒径团聚体含量,以及R0.25和MWD,增幅分别为38.63% ~ 47.98%、8.66% ~ 17.14%、12.91% ~ 21.51% 和11.54% ~ 20.29%;同时降低了0.053 ~ 0.25 mm和 < 0.053 mm粒径团聚体含量,降幅分别为7.71% ~ 15.54% 和27.69% ~ 39.05%。耕作方式与秸秆还田的交互作用仅对 < 0.053 mm微团聚体含量影响显著(P < 0.01),表现为PSD处理的微团聚体含量最低,且显著低于PC和RC处理。
|
|
表 3 耕作方式和秸秆还田对土壤团聚体结构的影响 Table 3 Soil aggregate structures under different tillage and straw returning patterns |
耕作方式仅对土壤有机碳有显著影响(P < 0.05)。秸秆还田是提升土壤养分的关键因子,除pH和全钾外,秸秆还田对土壤有机碳、全氮、全磷、碱解氮、有效磷、速效钾等养分指标都有显著的提升作用(P < 0.05)。在旋耕方式下,与RC处理相比,RSF和RSD处理有机碳、全氮、全磷、碱解氮、有效磷和速效钾含量分别提高了3.39% ~ 9.71%、5.00% ~ 11.00%、10.00% ~ 15.00%、5.80% ~ 12.59%、20.08% ~ 28.50%、5.93% ~ 13.34%;在翻耕方式下,与PC处理相比,PSF和PSD处理各养分指标分别提高了3.88% ~ 15.63%、4.95% ~ 13.86%、9.84% ~ 21.31%、9.71% ~ 13.91%、20.59% ~ 25.96%、7.41% ~ 17.50%。从土壤化学指标的提升幅度来看,表现出PSD > RSD > PSF > RSF的趋势,从土壤养分角度比较,秸秆翻埋处理土壤养分效果优于秸秆覆盖,其中PSD处理提升效果最好。
2.4 土壤生物性质如图 2所示,耕作方式仅对土壤蔗糖酶和微生物生物量氮有显著影响(P < 0.05),其中PC处理较RC处理土壤磷酸单酯酶活性、蔗糖酶活性、过氧化氢酶活性、微生物生物量碳和微生物生物量氮含量分别提高了21.69%、9.04%、16.85%、1.67% 和5.03%,而脲酶活性降低了1.86%。秸秆还田对土壤磷酸单酯酶活性、蔗糖酶活性、脲酶活性、过氧化氢酶活性、微生物生物量碳和微生物生物量氮含量均有极显著影响(P < 0.01)。在旋耕方式下,与RC处理相比,RSF和RSD处理土壤磷酸单酯酶活性、蔗糖酶活性、脲酶活性、过氧化氢酶活性、微生物生物量碳和微生物生物量氮含量分别提高了51.98% ~ 63.91%、16.09% ~ 21.59%、23.07% ~ 33.54%、26.00% ~ 44.88%、9.20% ~ 12.93% 和12.29% ~ 18.14%;在翻耕方式下,与PC处理相比,PSF和PSD处理土壤磷酸单酯酶活性、蔗糖酶活性、脲酶活性、过氧化氢酶活性、微生物生物量碳和微生物生物量氮含量分别提高了27.32% ~ 39.57%、7.26% ~ 14.97%、26.72% ~ 38.09%、10.97% ~ 29.73%、11.17% ~ 14.97% 和19.61% ~ 22.10%。总体上,秸秆翻埋对土壤酶活性和微生物生物量碳氮的提升效果要好于秸秆覆盖。
|
图 2 耕作方式和秸秆还田对土壤酶活性和微生物生物量碳氮的影响 Fig. 2 Soil enzyme activities and microbial biomass carbon and nitrogen contents under different tillage and straw returning patterns |
如表 5所示,PSD处理的土壤物理、化学、生物及综合肥力指数均显著高于其他处理,其中综合肥力指数高达0.71,较其他处理提高了26.79% ~ 255.00%,说明翻耕条件下秸秆翻埋是全面提升土壤肥力的最佳措施。秸秆还田可显著提升土壤物理、化学和生物肥力,所有秸秆还田处理的综合肥力指数显著高于无秸秆处理,且秸秆深翻效果优于覆盖;另外,还发现生物肥力指数对秸秆还田较为敏感。
|
|
表 4 耕作方式和秸秆还田对土壤化学性质的影响 Table 4 Soil chemical properties under different tillage and straw returning patterns |
|
|
表 5 耕作方式和秸秆还田对土壤肥力指数的影响 Table 5 Soil fertility indexes under different tillage and straw returning patterns |
构建土壤肥力指数和花生产量的一元线性回归方程(图 3),可见拟合结果均较好,P值均小于0.01,花生产量与土壤肥力指数均呈显著正相关关系。除土壤物理肥力指数外,绝对系数R2值均大于等于0.70,表明花生产量明显受到土壤化学、生物及其综合肥力的影响。
|
图 3 土壤肥力指数与花生产量的相关性 Fig. 3 Correlations between soil fertility indexes and peanut yield |
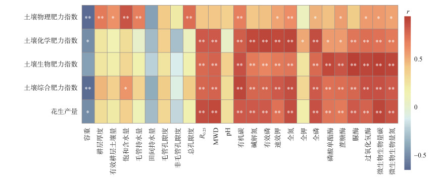
为进一步探讨土壤肥力指数和花生产量与土壤物理、化学和生物指标的关系,分别进行相关性分析(图 4),结果表明,土壤物理肥力指数主要与土壤耕层厚度、有效耕层土壤量、饱和含水量、毛管持水量和总孔隙度等物理结构指标呈显著正相关;与有机质、速效钾、全氮和全磷等化学指标呈显著正相关;和蔗糖酶、过氧化氢酶及微生物生物量碳氮含量也呈显著正相关。总体上,根据相关系数大小及其指标可知,土壤物理肥力指数更受土壤结构的影响。土壤化学肥力指数主要与土壤养分、酶活性和微生物生物量等指标呈显著正相关,还与团聚体结构指标相关性较强,而与其他物理指标相关性不显著。土壤生物肥力指数主要与酶活性和微生物生物量有极强正相关,与土壤养分也呈显著正相关,这表明生物属性高度依赖微生物活动和土壤酶活性。土壤综合肥力指数主要与团聚体结构、养分、酶活性和微生物生物量等呈显著正相关,反映其综合性质。花生产量也主要与土壤养分、团聚体结构、酶活性和微生物生物量等呈显著正相关,表明花生产量受多维度土壤健康指标影响。另外,除土壤生物肥力指数外,其他土壤肥力指数和花生产量与土壤容重均呈显著负相关。
|
(图中*、**分别表示相关性达P < 0.05和P < 0.01显著水平) 图 4 土壤性质与土壤肥力指数和花生产量的相关性 Fig. 4 Correlations of soil properties with soil fertility indexes and peanut yield |
土壤结构会随着耕作措施发生变化,而秸秆还田措施进一步引起土壤容重、含水量、团聚体结构、养分及其微生物的改变[27-28]。本研究发现,翻耕较旋耕显著提升了耕层厚度和有效耕层土壤量,秸秆还田主要通过改变土壤容重与毛管孔隙度影响土壤物理环境,还显著提升了土壤养分和土壤酶活性等指标,从而提高了耕层土壤综合肥力指数,这与梅沛沛等[29]、Xu等[30]研究结果类似。翻耕显著提升了耕层厚度和有效耕层土壤量,这主要与翻耕深度大、扰动范围广的特性直接相关。研究发现,长期旋耕会导致深层土壤紧实化,阻碍作物根系延伸并限制微生物栖息环境[16]。相比之下,翻耕通过改善土壤的通气性与水分入渗能力为作物根系创造了良好的土壤结构环境[31],有利于促进作物根系的生长。翻耕较旋耕还可以增加土壤有机碳含量[32]。温美娟等[33]试验表明,常规旋耕作业受限于浅层耕作深度与高频机械扰动,加速了土壤团聚体破碎,促使受保护的有机碳暴露于好氧环境,从而显著增强矿化进程,导致活性碳库持续性耗竭。另外,旋耕对土壤耕层结构影响的时效性较短,导致土壤培肥效果较差[34]。翻耕通过将秸秆埋入深层,创造了厌氧–好氧交替环境,加速秸秆腐解并促进有机–矿物复合体形成,从而更高效地将粉黏粒固结为大团聚体。另外,秸秆翻埋改善了土壤通气环境,增大了秸秆与土壤的相互作用界面。
在旋耕或翻耕条件下,秸秆翻埋对耕层土壤肥力的提升效果均优于秸秆覆盖,其中以翻耕结合秸秆翻埋效果最佳。翻埋处理加速秸秆腐解和养分释放[35],而秸秆覆盖只局限于表层土壤,在浅耕层条件下分解缓慢,引发未腐解物质积累,削弱了养分在深层土壤的固存能力[36],可能导致养分在土壤中分布不均,从而影响深根作物生长。秸秆深埋还直接释放养分,秸秆为微生物提供载体,从而为花生根系创造了更有利的生长环境[37]。深埋过程中秸秆会与深层土壤碳酸根结合形成沉淀,从而增加深层土壤无机碳含量[38]。秸秆翻埋通过改善土壤持水能力和降低机械阻力,能更高效地促进秸秆与土壤混合,加速有机质矿化并形成稳定孔隙结构。另外,翻耕将秸秆埋至花生主根区,使养分释放与花生根系吸收同步。
本研究发现,翻耕条件下秸秆还田能显著改善土壤酶活性等指标。潘晶等[39]试验发现,与秸秆覆盖相比,秸秆深埋通过提升土壤微生物数量,从而显著增加土壤酶活性。李文娜等[7]研究表明,秸秆还田通过影响耕层土壤容重和养分,为土壤微生物生长和繁殖提供良好的养分供应和通气环境,从而激发了土壤酶活性。而免耕秸秆覆盖条件下土壤孔隙度低,含水量较大,有机物投入量低,造成微生物生长受限[40],不利于酶活性增加。与旋耕相比,翻耕能更深地打破犁底层,改善深层土壤的通气性。秸秆作为丰富的碳源和养分来源,可显著促进土壤微生物的大量繁殖,从而改善土壤酶活性。另外,秸秆覆盖地表,可能更容易通过径流流失可溶性养分,而秸秆翻埋则能更好地将养分保留在耕层中。
花生产量的主要限制因子为土壤养分与水分保持能力,耕作措施虽可改善土壤物理结构,但对提升土壤养分作用有限[41]。本试验发现,连续7年不同耕作方式与秸秆还田协同提高了花生产量,以翻耕结合秸秆翻埋措施效果最佳,且花生产量与土壤肥力指数呈显著正相关。陈旭等[36]试验表明,深翻为作物生长提供了良好的土壤结构环境,促进了作物根系的生长,进而提高作物产量;邬小春等[42]研究发现,深松、旋耕等耕作措施可以显著降低土壤容重、紧实度和田间持水量,进而提高玉米穗粒数、百粒重和产量;战秀梅等[43]试验发现,深翻及其秸秆还田改善了土壤理化性质,增加了土壤有机质、氮磷钾等养分含量,从而提高了春玉米产量。翻耕结合秸秆翻埋是土壤肥力提升和花生增产的最优模式,主要因素是深埋秸秆降低土壤容重并增加毛管孔隙度,从而促进微生物扩散与根系延伸;秸秆腐解释放有效磷,激活了磷酸单酯酶等活性。
4 结论不同耕作与秸秆还田方式对旱地红壤理化性状、生物学特性及花生产量存在显著影响。翻耕较旋耕显著增加了耕层厚度和有效土壤容量,但直接增产效应有限。在翻耕和旋耕条件下,秸秆还田通过降低土壤容重、提升毛管孔隙度及大团聚体含量,优化土壤结构;秸秆还田显著提高土壤有机碳、氮磷钾养分库容及酶活性,并以翻埋处理效果最佳,其土壤综合肥力指数显著高于其他处理;秸秆还田显著提高花生产量,其中翻耕结合秸秆翻埋的增产幅度最高。综上,翻耕结合秸秆翻埋是同步提升旱地红壤物理结构、养分库容、微生物活性及花生产量的最优农艺措施。
| [1] |
王修文, 于书霞, 史志华, 等. 南方红壤区生态系统服务权衡与协同关系演变对退耕还林的响应[J]. 生态学报, 2021, 41(17): 7002-7014 ( 0) |
| [2] |
Hong S B, Piao S L, Chen A P, et al. Afforestation neutralizes soil pH[J]. Nature Communications, 2018, 9: 520 DOI:10.1038/s41467-018-02970-1 ( 0) |
| [3] |
赵学强, 潘贤章, 马海艺, 等. 中国酸性土壤利用的科学问题与策略[J]. 土壤学报, 2023, 60(5): 1248-1263 ( 0) |
| [4] |
聂浩亮, 杨军芳, 杨云马, 等. 长期秸秆深翻还田及养分管理对潮土有机碳矿化影响[J]. 农业工程学报, 2024, 40(18): 70-80 ( 0) |
| [5] |
林小兵, 柳开楼, 黄尚书, 等. 长期施肥对旱地红壤微生物生物量碳、氮和酶活性的影响[J]. 华北农学报, 2023, 38(4): 119-128 ( 0) |
| [6] |
刘艳, 叶鑫, 包红静, 等. 秸秆还田配施化肥对春玉米耕层土壤理化性质及产量的影响[J]. 土壤, 2023, 55(2): 254-261 DOI:10.13758/j.cnki.tr.2023.02.004 ( 0) |
| [7] |
李文娜, 李爽, 关皓月, 等. 耕作方式和秸秆还田对麦–豆轮作田土壤理化特性和土壤酶活性的影响[J]. 土壤, 2024, 56(6): 1274-1282 DOI:10.13758/j.cnki.tr.2024.06.015 ( 0) |
| [8] |
周子军, 郭松, 陈琨, 等. 长期秸秆覆盖对免耕稻-麦产量、土壤氮组分及微生物群落的影响[J]. 土壤学报, 2022, 59(4): 1148-1159 ( 0) |
| [9] |
孔德杰, 朱金霞, 任成杰, 等. 麦豆长期轮作下秸秆还田对土壤碳氮组分及作物产量的影响[J]. 干旱地区农业研究, 2022, 40(5): 190-200 ( 0) |
| [10] |
Han H, Fan D J, Liu S X, et al. Integrating straw return and tillage practices to enhance soil organic carbon sequestration in wheat–maize rotation systems in the North China Plain[J]. Agriculture, Ecosystems & Environment, 2025, 384: 109555 ( 0) |
| [11] |
马子钰, 马文林. 秸秆还田对中国农田土壤固碳效应影响的研究[J]. 土壤, 2023, 55(1): 205-210 DOI:10.13758/j.cnki.tr.2023.01.025 ( 0) |
| [12] |
王杰, 鞠梦倩, 李心月, 等. 不同耕作方式与秸秆还田对土壤有机碳和稻麦周年产量的影响[J]. 中国土壤与肥料, 2024(3): 15-22 ( 0) |
| [13] |
成臣, 汪建军, 程慧煌, 等. 秸秆还田与耕作方式对双季稻产量及土壤肥力质量的影响[J]. 土壤学报, 2018, 55(1): 247-257 ( 0) |
| [14] |
宋鸽, 史东梅, 朱红业, 等. 不同耕作措施对红壤坡耕地耕层质量的影响[J]. 土壤学报, 2020, 57(3): 610-622 ( 0) |
| [15] |
邹文秀, 韩晓增, 严君, 等. 耕翻和秸秆还田深度对东北黑土物理性质的影响[J]. 农业工程学报, 2020, 36(15): 9-18 ( 0) |
| [16] |
Zhao J H, Liu Z X, Lai H J, et al. Optimizing residue and tillage management practices to improve soil carbon sequestration in a wheat–peanut rotation system[J]. Journal of Environmental Management, 2022, 306: 114468 DOI:10.1016/j.jenvman.2022.114468 ( 0) |
| [17] |
李振宙, 吴兴慧, 何佩云, 等. 耕作方式与氮肥用量对苦荞根系形态、灌浆特性及产量的影响[J]. 河北农业大学学报, 2020, 43(2): 26-33 ( 0) |
| [18] |
Kan Z R, Li Z Z, Amelung W, et al. Soil carbon accrual and crop production enhanced by sustainable subsoil management[J]. Nature Geoscience, 2025, 18(7): 631-638 DOI:10.1038/s41561-025-01720-5 ( 0) |
| [19] |
刘雨静, 韩升才, 高聚林, 等. 不同耕作方式结合秸秆还田对玉米内生细菌多样性的影响[J]. 微生物学报, 2024, 64(7): 2522-2538 ( 0) |
| [20] |
刘雅杰, 张天娇, 张向前, 等. 秸秆还田下耕作方式对黑土活性有机碳组分及碳库管理指数的影响[J]. 中国农业科学, 2024, 57(17): 3408-3423 ( 0) |
| [21] |
国家林业局. 森林土壤水分-物理性质的测定: LY/T 1215—1999[S]. 北京: 中国标准出版社, 1999.
( 0) |
| [22] |
Cambardella C A, Elliott E T. Carbon and nitrogen distribution in aggregates from cultivated and native grassland soils[J]. Soil Science Society of America Journal, 1993, 57(4): 1071-1076 DOI:10.2136/sssaj1993.03615995005700040032x ( 0) |
| [23] |
Yoder R E. A direct method of aggregate analysis of soils and a study of the physical nature of erosion losses[J]. Agronomy Journal, 1936, 28(5): 337-351 DOI:10.2134/agronj1936.00021962002800050001x ( 0) |
| [24] |
鲁如坤. 土壤农业化学分析方法[M].
中国农业科学技术出版社, 北京, 2000
( 0) |
| [25] |
金慧芳, 史东梅, 陈正发, 等. 基于聚类及PCA分析的红壤坡耕地耕层土壤质量评价指标[J]. 农业工程学报, 2018, 34(7): 155-164 ( 0) |
| [26] |
钟义军. 几种农艺措施对旱地红壤耕层质量和细菌群落的影响[D]. 武汉: 华中农业大学, 2022.
( 0) |
| [27] |
Zhang P, Chen X L, Wei T, et al. Effects of straw incorporation on the soil nutrient contents, enzyme activities, and crop yield in a semiarid region of China[J]. Soil and Tillage Research, 2016, 160: 65-72 DOI:10.1016/j.still.2016.02.006 ( 0) |
| [28] |
屈佳伟, 田磊, 于长生, 等. 耕作方式与秸秆还田对土壤物理性状及春玉米产量的影响[J]. 玉米科学, 2024, 32(8): 55–62, 71 ( 0) |
| [29] |
梅沛沛, 余常兵, 吴言凤, 等. 稻秸还田方式对酸性和碱性土壤养分含量、微生物数量及油菜生长的影响[J]. 土壤通报, 2020, 51(2): 365-371 ( 0) |
| [30] |
Xu H W, Qu Q, Chen Y H, et al. Responses of soil enzyme activity and soil organic carbon stability over time after cropland abandonment in different vegetation zones of the Loess Plateau of China[J]. Catena, 2021, 196: 104812 DOI:10.1016/j.catena.2020.104812 ( 0) |
| [31] |
陈旭, 韩晓增, 王晓辉, 等. 有机物料配合深耕混合还田快速提升砂质棕壤农业生产力的效果和机理[J]. 植物营养与肥料学报, 2023, 29(2): 232-241 ( 0) |
| [32] |
周琦娜, 黄尚书, 林小兵, 等. 耕作方式与有机物投入对旱地红壤水稳性团聚体和作物产量的影响[J]. 江西农业学报, 2023, 35(2): 76-82 ( 0) |
| [33] |
温美娟, 杨思存, 王成宝, 等. 不同耕作和秸秆还田方式对灰钙土土壤理化性状、酶活性及玉米产量的影响[J]. 生态学杂志, 2025, 44(3): 903-911 ( 0) |
| [34] |
Getahun G T, Kätterer T, Munkholm L J, et al. Short-term effects of loosening and incorporation of straw slurry into the upper subsoil on soil physical properties and crop yield[J]. Soil and Tillage Research, 2018, 184: 62-67 DOI:10.1016/j.still.2018.06.007 ( 0) |
| [35] |
张红, 吕家珑, 曹莹菲, 等. 不同植物秸秆腐解特性与土壤微生物功能多样性研究[J]. 土壤学报, 2014, 51(4): 743-752 ( 0) |
| [36] |
陈旭, 韩晓增, 王晓辉, 等. 有机物料深混还田对棕壤孔隙结构及玉米产量的影响[J]. 土壤与作物, 2023, 12(3): 264-273 ( 0) |
| [37] |
黄毅, 毕素艳, 邹洪涛, 等. 秸秆深层还田对玉米根系及产量的影响[J]. 玉米科学, 2013, 21(5): 109-112 ( 0) |
| [38] |
仇少君, 郝小雨, 赵士诚, 等. 黑土地肥力下降成因与保护利用对策——基于养分资源高效利用视角分析[J]. 植物营养与肥料学报, 2025, 31(1): 1-11 ( 0) |
| [39] |
潘晶, 杨墨, 黄琳丽, 等. 秸秆还田对土壤主要微生物数量、酶活性及细菌群落结构、多样性的影响[J]. 沈阳师范大学学报(自然科学版), 2021, 39(3): 266-271 ( 0) |
| [40] |
隋鹏祥, 罗洋, 王浩, 等. 耕作方式对农田黑土有机碳库和酶化学计量特征的影响[J]. 环境科学, 2025, 46(7): 4441-4449 ( 0) |
| [41] |
Feiziene D, Feiza V, Karklins A, et al. After-effects of long-term tillage and residue management on topsoil state in Boreal conditions[J]. European Journal of Agronomy, 2018, 94: 12-24 DOI:10.1016/j.eja.2018.01.003 ( 0) |
| [42] |
邬小春, 马向峰, 杨晓军, 等. 不同耕作方式对西北地区春玉米土壤物理性状及产量的影响[J]. 玉米科学, 2020, 28(3): 127-134 ( 0) |
| [43] |
战秀梅, 彭靖, 李秀龙, 等. 耕作及秸秆还田方式对春玉米产量及土壤理化性状的影响[J]. 华北农学报, 2014, 29(3): 204-209 ( 0) |
2. School of Mechanical and Electronic Engineering, Jingdezhen University, Jingdezhen, Jiangxi 333000, China
2025, Vol. 57



0)