2. 中国农业科学院衡阳红壤实验站/湖南祁阳农田生态系统国家野外科学观测研究站, 湖南祁阳 426182;
3. 山西农业大学生态环境产业技术研究院, 土壤健康山西省实验室, 太原 030031
红壤区是我国重要的粮油果茶生产基地[1]。然而,近年来由于不合理的水肥管理,导致红壤酸化加剧、交换性铝含量增加,严重限制作物生长[2-3]。秸秆还田[4]和施用磷肥[5]是红壤肥力提升的常用施肥措施。秸秆一方面腐解释放碱性物质、提升土壤pH;另一方面提高有机质含量,通过吸附[6]、络合[3]作用,降低土壤交换性铝含量。研究表明,pH和有机质是土壤铝形态转化的主要影响因素,一般在较高有机质水平下,土壤中的活性铝会向有机结合态铝转化[7]。Wang等[7]通过长期试验研究发现,有机质含量增加后,土壤活性铝含量降低,而有机结合态铝含量增加,从而减轻土壤铝毒害。施用秸秆也可通过促进无定形态Fe/Al氧化物形成,间接减少活性铝的产生[8]。磷肥中的磷酸根能与土壤中的铝结合生成磷酸铝沉淀,降低土壤活性铝含量,如万延慧等[9]研究表明,高磷条件下磷与铝结合生成磷酸铝盐沉淀,降低了铝对大豆的毒害作用。朱美红[10]研究发现,施磷能促使荞麦根际土壤交换态铝向吸附态铝转化,同时磷酸根与土壤中的铝离子形成铝磷复合物沉淀,减轻了荞麦根系铝毒害。可见,施用磷肥和秸秆均具有降低酸性土壤交换性铝的作用,但对不同成土母质发育红壤的调控效应与机理尚不完全清楚[8]。为此,本研究通过室内恒温培养试验,旨在明确不同用量磷肥、玉米秸秆单施及二者配施对红壤和赤红壤pH、交换性铝、铝形态及磷素有效性的影响,揭示其调控红壤交换性铝含量的主要机制,为合理施肥防控土壤酸化提供理论依据。
1 材料与方法 1.1 供试材料供试土壤分别采自中国农业科学院祁阳红壤实验站内红壤旱地长期定位试验单施氮钾肥处理(26°45′38″N,111°52′17″E)与广州市增城区香蕉园(23°13′8″N,113°52′16″E),成土母质分别为第四纪红色黏土和花岗岩。土壤基本理化性质见表 1。磷肥为磷酸二氢钾(KH2PO4,分析纯化学试剂);玉米秸秆采自实验站内旱地农田,70 ℃烘干后机器粉碎后用于培养,秸秆pH和有机碳含量分别为6.86和423.5 g/kg。
|
|
表 1 供试土壤基础理化性质 Table 1 Basic physicochemical properties of tested soils |
每种土壤各设置10个处理,分别为:不施磷肥(CK),施磷5(P1)、10(P2)、15(P3)、25(P4)、50(P5)和100 mg/kg(P6),单施秸秆20 g/kg(S),以及50和100 mg/kg磷肥与20 g/kg秸秆配施(P5S、P6S),每个处理3次重复。分别称取红壤和赤红壤风干土606 g和614 g(相当于600 g烘干土)于塑料盆中,按照处理加入12 g的玉米秸秆或喷洒相应浓度的KH2PO4溶液,将其与土壤充分混匀,并调节含水量为田间持水量的60%,然后将其转移至塑料罐中(1 L),盖上盖子。在塑料罐盖子上扎1个2 mm小孔,保持气体交换并减少水分蒸发。将塑料罐放置在25 ℃恒温培养箱中避光培养60 d,通过重量法补充土壤损失的水分。在培养的第0、3、6、9、15、30、60天采集土壤样品,测定土壤pH。培养结束后,将土壤样品风干、磨细后过0.85和0.25 mm筛,用于测定pH、交换性铝、有效磷、铝磷、铁磷和有机结合态铝。
1.3 样品分析土壤基础理化性质测定参考《土壤农化分析》[11]。土壤pH采用电位法(Metter Toledo,FE28-Meter,上海)测定,水土质量比为2.5∶1。土壤交换性酸、铝采用1 mol/L KCl交换,0.02 mol/L NaOH滴定法测定。有效磷采用0.03 mol/L NH4F与0.025 mol/L HCl提取,铝结合态磷酸盐采用1 mol/L NH4Cl与0.5 mol/L NH4F提取,铁结合态磷酸盐采用0.1 mol/L的NaOH和浓H2SO4提取,浸提液中的磷采用钼锑抗比色法测定(岛津,AA-6300C,日本)。土壤不同形态铝采用改进的方法进行连续浸提[12]。经1 mol/L KCl浸提去除交换性铝后,先用0.33 mol/L LaCl3,土液比为1∶10,25 ℃振荡30 min提取弱稳定有机结合态铝(Allo);再以0.5 mol/L CuCl2提取中稳定有机结合态铝(Almo);最后以0.1 mol/L Na4P2O7(pH 8.5),土液比为1∶20,25 ℃振荡2 h提取强稳定有机结合态铝(Alho),浸提液中的铝离子含量采用电感耦合等离子发射光谱仪(ICP-OES,Varian 715ES,美国)测定。
1.4 数据处理采用Excel 2019和SPSS Statistics 27.0对数据进行统计分析,采用Duncan多重比较分析不同处理间土壤酸化学指标、土壤铝形态等性质差异。用Origin 2021作图并分析不同指标之间相关性,采用R 4.2.1中“随机森林(random forest)”软件包分析各指标对交换性铝的贡献度。
2 结果与分析 2.1 不同磷梯度和秸秆处理下土壤pH变化施用磷肥和秸秆后,土壤pH的变化如图 1所示。随培养时间的延长,两种成土母质发育的红壤不施肥和单施磷肥处理pH均显著提高(图 1A,1B)。赤红壤施用秸秆处理pH随培养时间延长持续升高;而红壤施用秸秆处理土壤pH呈先降低后升高的变化趋势,至培养第3天达最低值,此后土壤pH显著升高。培养结束时,红壤的P5、P6、S、P5S、P6S处理pH较CK分别提高了0.10、0.17、0.12、0.16、0.17个单位(P < 0.05),且P5、P6、S处理间无显著差异;花岗岩发育的赤红壤,P6、S、P5S、P6S处理pH较CK处理分别升高了0.08、0.98、0.99、1.05个单位(P < 0.05),且S、P5S、P6S处理pH均显著高于P6处理,P6S处理pH显著高于S处理。可见,磷肥和秸秆对土壤pH的提升效果与成土母质密切相关,磷肥仅在高用量下提升pH效果显著,且红壤优于赤红壤,可能与后者有效磷含量高密切相关;玉米秸秆的提升效果优于磷肥,且对赤红壤的效果优于红壤,这可能与赤红壤较低的有机碳含量有关。
|
(A:红壤;B:赤红壤。误差线表示标准误) 图 1 土壤pH随时间的变化特征 Fig. 1 Changes of soil pH with time |
培养结束后,两种土壤有效磷含量均随施磷量的增加而显著升高,而S处理较CK土壤有效磷含量均未显著提高(图 2)。对于红壤,P5S处理较P5处理有效磷含量显著增加,而P6S处理较P6处理有效磷含量显著降低;对于赤红壤,磷肥配施秸秆处理(P5S、P6S)较单施磷肥处理(P5、P6)有效磷含量升高,但差异均不显著,这可能与秸秆施用下土壤碳磷比及微生物活性有关,其作用机理还有待进一步研究。
|
(图中小写字母不同表示处理间差异显著(P<0.05);误差线表示标准误。下同) 图 2 不同处理下红壤(A)和赤红壤(B)土壤有效磷含量 Fig. 2 Contents of available phosphorus in red soil (A) and latosolic red soil (B) under different treatments |
与土壤有效磷的变化趋势一致,施磷显著提高了土壤铝结合态磷酸盐(Al-P)和铁结合态磷酸盐(Fe-P)含量,且随施磷量的增加而增加(图 3)。与CK相比,单施秸秆(S)显著提高了两种土壤Al-P含量;且与单施磷肥(P5和P6)相比,秸秆配施磷肥(P5S和P6S)均显著提高了土壤Al-P含量(图 3A,3B)。与CK相比,单施秸秆(S)对两种土壤Fe-P含量无显著影响;与单施磷肥(P5和P6)相比,秸秆配施磷肥(P5S和P6S)对红壤Fe-P含量无显著影响(图 3C),但P6S处理较P6处理显著降低了赤红壤Fe-P含量(图 3D),这可能与赤红壤的有机碳含量较低有关。
|
图 3 不同处理下红壤(A、C)和赤红壤(B、D)土壤铝磷和铁磷含量 Fig. 3 Contents of Al-P and Fe-P in red soil (A, C) and latosolic red soil (B, D) under different treatments |
各处理对两种土壤交换性铝含量有显著影响(图 4)。培养结束后,随施磷量的增加,红壤交换态铝含量呈先增加后降低的变化趋势,与CK相比,P1、P2、P3、P4、P5处理的土壤交换态铝含量分别显著增加了7.3%、10.3%、8.3%、11.4%、13.9%(P < 0.05),而P6处理无显著变化;秸秆单施(S)或秸秆与磷肥配施(P5S、P6S)较CK均显著降低红壤的交换态铝含量,降幅为22.8% ~ 33.3%(P < 0.05),且P6S处理土壤交换性铝含量显著低于S处理(图 4A)。与红壤的变化趋势不同,各施磷处理较CK均显著降低赤红壤的交换性铝含量,且随施磷量的增加降幅增大,为23.1% ~ 54.1%;秸秆单施(S)或秸秆与磷肥配施(P5S、P6S)较CK均显著降低了赤红壤的交换性铝含量,降幅为89.1% ~ 95.9%(P < 0.05),但秸秆处理间无显著差异(图 4B)。可见,玉米秸秆降低红壤交换性铝的效果优于磷肥。
|
图 4 不同处理下红壤(A)和赤红壤(B)土壤交换性铝含量 Fig. 4 Contents of exchangeable aluminum in red soil (A) and latosolic red soil (B) under different treatments |
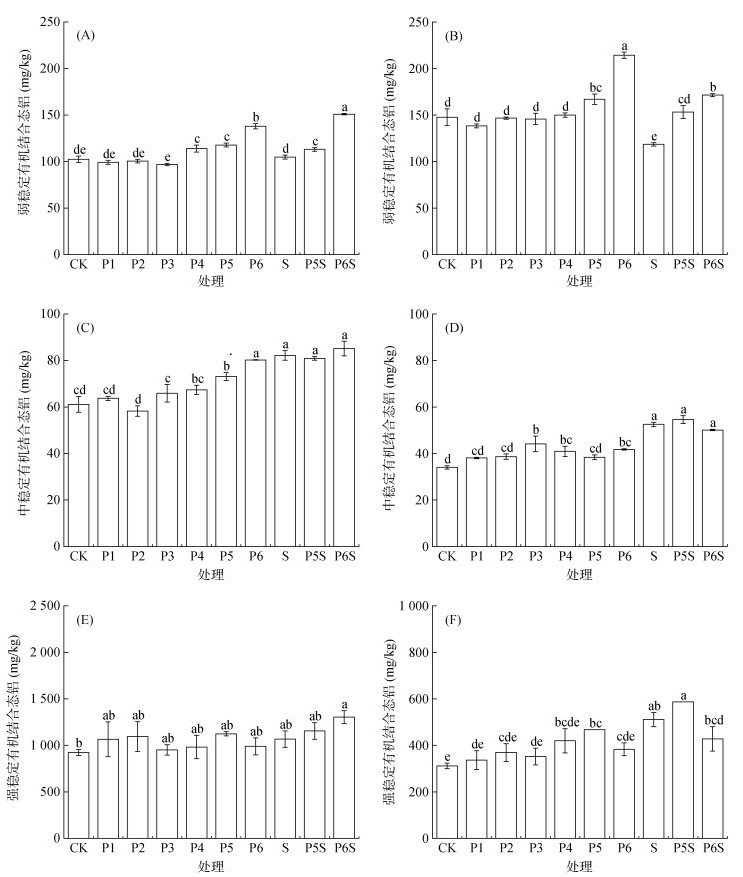
各处理对土壤有机结合态铝含量的影响如图 5所示。与CK相比,红壤P1、P2、P3、S处理弱稳定有机结合态铝含量无显著变化,P4、P5、P6、P5S和P6S处理显著增加,增幅分别为11.2%、14.9%、34.6%、10.3% 和47.2%(P < 0.05),其中以P6S处理最高,其次为P6处理,二者显著高于其他处理(图 5A)。与红壤相似,P5、P6和P6S处理较CK显著提高了赤红壤弱稳定有机结合态铝含量,增幅分别为13.1%、45.1% 和16.1%,而S处理弱稳定有机结合态铝显著降低24.6%(P < 0.05);各处理中以P6处理土壤弱稳定有机结合态铝含量最高,其次为P6S处理,二者显著高于其他处理(图 5B)。由此可见,高施磷量促进了两种红壤弱稳定有机结合态铝的形成。
|
图 5 不同处理下红壤(A、C、E)和赤红壤(B、D、F)土壤有机结合态铝含量 Fig. 5 Contents of organo-Al in red soil (A, C, E) and latosolic red soil (B, D, F) under different treatments |
与CK相比,红壤P1、P2、P3、P4处理中稳定有机结合态铝含量无显著变化,P5、P6、S、P5S和P6S处理则显著增加(P < 0.05),增幅为19.6% ~ 39.3%(图 5C)。P3、P4、P6、S、P5S和P6S处理较CK显著提高了赤红壤中稳定有机结合态铝含量,增幅为20.2% ~ 60.4%,其中秸秆单施或配施磷肥处理显著高于单施磷肥处理(图 5D)。表明玉米秸秆促进了两种红壤中稳定有机结合态铝的形成。除P6S处理,其他施用磷肥和玉米秸秆处理对红壤强有机结合态铝含量无显著影响(图 5E);而S、P5S和P6S处理较CK显著提高了赤红壤强稳定有机结合态铝含量,增幅分别为64.1%、88.5% 和37.4%(图 5F),这可能与赤红壤较低的初始有机碳含量有关。
2.5 不同磷梯度和秸秆处理调控红壤交换性铝的主要影响因素相关分析表明(图 6),红壤pH与有效磷、铝磷、中稳定有机结合态铝、强稳定有机结合态铝呈极显著正相关,土壤交换性铝与pH、有效磷、铝磷、中稳定有机结合态铝、强稳定有机结合态铝呈极显著负相关(图 6A)。赤红壤pH与有效磷、铝磷、铁磷、弱稳定有机结合态铝、中稳定有机结合态铝极显著正相关;土壤交换性铝与pH、铝磷、中稳定有机结合态铝呈极显著负相关,与有效磷、弱稳定有机结合态铝呈显著负相关(图 6B)。
|
(Alex:交换性铝;Allo:弱稳定有机结合态铝;Almo:中稳定有机结合态铝;Alho:强稳定有机结合态铝;AP:有效磷;Al-P:铝磷;Fe-P:铁磷。*、**、***分别表示相关性达P<0.05、P<0.01和P<0.001显著水平。下同) 图 6 红壤(A)和赤红壤(B)土壤性质的相关性分析 Fig. 6 Correlation analysis of soil properties of red soil (A) and latosolic red soil (B) |
随机森林的结果进一步证明,中稳定有机结合态铝、pH、铝磷是影响红壤和赤红壤交换性铝含量变化的主要因素,三者贡献率达到32% 以上(图 7)。
|
(A:红壤;B:赤红壤。ExH:交换性氢) 图 7 土壤性质对交换性铝含量变化的贡献 Fig. 7 Random forest analyses for different factor contribution on exchangeable aluminum |
本研究表明,玉米秸秆单施或配施磷肥处理红壤pH呈先降低后升高的变化趋势(图 1),其可能的原因是在培养初期秸秆腐解释放有机酸[13],以及土壤微生物呼吸作用产生CO2导致pH降低[14]。pH上升的原因有以下两点:一是秸秆中有机物质的脱羧作用消耗一部分质子[15],且有研究表明秸秆可以通过提高土壤盐基阳离子含量来提高土壤pH[16];二是施用磷肥可以显著增加土壤有效磷含量,磷酸根离子与土壤中铝离子相结合生成磷酸铝沉淀,从而提升土壤pH[17]。本研究也表明,玉米秸秆对赤红壤pH的提升效果优于红壤,可能与赤红壤相对较低的有机碳含量(3.6 g/kg)和阳离子交换量(5.7 cmol/kg)有关,其值远低于红壤(10.2 g/kg和14.6 cmol/kg),导致赤红壤对酸碱的缓冲能力较弱,在相同秸秆碱性物质投入量下赤红壤pH变幅会相对较大。有机质含量和阳离子交换量是影响土壤酸缓冲容量的主要因素[18],二者含量越高,土壤酸缓冲性能越强。这主要归因于有机质的质子化和去质子化作用[19];以及盐基阳离子的交换作用,将致酸离子吸附在土壤胶体表面,降低土壤溶液中致酸离子的浓度[20]。此外,也有研究表明施用秸秆和磷肥会加剧土壤酸化,这可能与土壤初始pH和土壤环境有关,如在较高pH的土壤上施用秸秆,会发生秸秆到土壤的质子流,从而加剧了土壤酸化[21]。Chen等[22]在水稻土上的试验表明,每季磷肥用量超过P2O5150 kg/hm² 时,显著增加了放线菌的丰度,这类微生物在分解有机质时会分泌有机酸(如柠檬酸、草酸),进一步降低土壤pH。本研究供试土壤pH较秸秆低,则会发生土壤到秸秆的质子流,从而提高土壤pH;且本研究为有氧培养,秸秆矿化过程中的去羧基作用会消耗质子,提升土壤pH[23]。此外,外源磷肥和秸秆的添加与土壤活性铝离子的固定、络合作用会进一步降低交换性铝含量,改善红壤酸度。
3.2 不同磷梯度和秸秆处理对两种成土母质发育红壤交换性铝的影响本研究结果显示,玉米秸秆降低两种红壤交换性铝的效果优于化学磷肥(图 4)。一方面,玉米秸秆能直接吸附土壤溶液中的铝离子,降低交换性铝的含量[24];另一方面,秸秆腐解过程中生成的土壤有机碳富含羧基等官能团,能够与铝离子结合形成矿物结合态有机碳,从而在一定程度上降低活性铝离子含量[25]。这种结合作用有助于降低铝的毒性和可交换性,进而减少铝对植物生长的负面影响[26]。此外,吕焕哲等人[27]研究发现,在酸性红壤中添加稻草秸秆,有机结合态铝含量逐渐增加。Hu等[28]通过对热带森林进行为期12年的加酸试验,发现活化的Fe/Al氧化物对土壤磷的吸收能力变化不大,这可能是由于土壤有机质在Fe/Al氧化物表面具有竞争性吸附优势。红壤和赤红壤在磷添加下交换性铝变化趋势不一致可能是由于两种土壤的初始理化性质的差异。在本研究中,赤红壤初始有效磷含量较高(102.1 mg/kg),表明土壤固磷位点已趋于饱和或半饱和状态。此时继续投入外源磷肥,磷酸根离子更易直接与大量游离的铝离子在溶液或固相界面反应,生成溶度积更小的磷酸铝盐沉淀(如Al-P),从而固定并降低具有毒性的交换性铝含量[29],并伴随着pH提升。红壤有机质含量相对较高(10.2 g/kg),其铁铝氧化物表面可能已被有机质包裹或占据。有机质与磷酸根在氧化物表面存在竞争吸附,这可能在一定程度上削弱了磷肥通过专性吸附形成铝磷化合物的效率。这也解释了为何在红壤上,中低磷处理(≤50 mg/kg)下土壤交换性铝较对照反而升高7.3% ~ 13.9%(图 4),仅在高磷(100 mg/kg)或配施秸秆时显著降低。在高磷处理下(≥50 mg/kg),红壤和赤红壤弱有机结合态铝有不同程度的增加,提升幅度分别为14.9% ~ 34.6% 和13.1% ~ 45.1%。这可能是外源磷的添加促进了有机物通过阳离子桥接作用,形成与阳离子的二元配合物和与阴离子的三元配合物[30]。随机森林分析表明,红壤交换性铝变化主要受pH驱动,赤红壤则是中稳定有机结合态铝起主导作用,表明土壤初始性质改变了两种土壤交换性铝含量对外源添加磷和秸秆的响应。
4 结论本研究表明,玉米秸秆能有效降低土壤交换性铝含量,其降低效果优于磷肥,且在赤红壤上的效果优于红壤;添加磷肥和玉米秸秆提升土壤pH、促进铝结合态磷酸盐和中稳定有机结合态铝形成是其降低交换性铝含量的主要原因。本研究只基于短期培养试验,而关于添加磷肥和玉米秸秆对土壤交换性铝的长期效应还有待田间试验进一步验证。此外,成土母质是影响磷肥和秸秆调控交换性铝含量的因素之一,但其作用机制也有待进一步研究。
| [1] |
徐明岗, 文石林, 周世伟, 等. 南方地区红壤酸化及综合防治技术[J]. 科技创新与品牌, 2016(7): 74-77 ( 0) |
| [2] |
刘立娟, 刘佳慧, 赵泓成, 等. 生物质炭改良酸性土壤及缓解植物铝毒害的研究进展[J]. 土壤, 2025, 57(4): 736-743 DOI:10.13758/j.cnki.tr.2025.04.002 ( 0) |
| [3] |
傅柳松, 吴杰民, 杨影, 等. 模拟酸雨对土壤活性铝释出影响研究[J]. 环境科学, 1993, 14(1): 20-24 ( 0) |
| [4] |
石广萍, 栾璐, 曾昭阳, 等. 不同施肥年限对红壤细菌多样性及群落结构演替的影响[J]. 土壤, 2024, 56(1): 73-81 DOI:10.13758/j.cnki.tr.2024.01.010 ( 0) |
| [5] |
温元波. 磷石膏对黄壤酸性和铝形态的影响及机制研究[D]. 贵阳: 贵州大学, 2020.
( 0) |
| [6] |
Ahmad M, Rajapaksha A U, Lim J E, et al. Biochar as a sorbent for contaminant management in soil and water: A review[J]. Chemosphere, 2014, 99: 19-33 DOI:10.1016/j.chemosphere.2013.10.071 ( 0) |
| [7] |
Wang L, Butterly C R, Tian W, et al. Effects of fertilization practices on aluminum fractions and species in a wheat soil[J]. Journal of Soils and Sediments, 2016, 16(7): 1933-1943 DOI:10.1007/s11368-016-1380-y ( 0) |
| [8] |
Ahmed I, Huang J, Li J W, et al. Long-term fertilization with crop residue management enhances soil structure and the yield of sweet potato by optimizing soil organic carbon and acidity[J]. Pedosphere, 2025 ( 0) |
| [9] |
万延慧, 年海, 严小龙. 大豆种质耐低磷与耐铝毒部分指标及其相互关系的研究[J]. 植物营养与肥料学报, 2001, 7(2): 199-204 ( 0) |
| [10] |
朱美红. 磷提高荞麦耐铝性的作用和机理研究[D]. 金华: 浙江师范大学, 2009.
( 0) |
| [11] |
鲍士旦
. 土壤农化分析(3版)[M].
中国农业出版社, 北京, 2000
( 0) |
| [12] |
邵宗臣, 何群, 王维君. 红壤中铝的形态[J]. 土壤学报, 1998, 35(1): 38-48 ( 0) |
| [13] |
Li H Y, Xie M D, Hu B F, et al. Effects of straw return on soil carbon sequestration, soil nutrients and rice yield of in acidic farmland soil of Southern China[J]. Environment, Development and Sustainability, 2024 ( 0) |
| [14] |
Sahrawat K L. Fertility and organic matter in submerged rice soils[J]. Current Science, 88(5): 735-739 ( 0) |
| [15] |
Yan F, Schubert S, Mengel K. Soil pH increase due to biological decarboxylation of organic anions[J]. Soil Biology and Biochemistry, 1996, 28(4/5): 617-624 ( 0) |
| [16] |
Cheng J, Yang C Z, Zhang L, et al. The competitive effects of crop straw return and nitrogen fertilization on soil acidification[J]. Agriculture, Ecosystems & Environment, 2025, 388: 109638 ( 0) |
| [17] |
Jančaitienė K, Šlinkšienė R, Žvirdauskienė R. Properties of potassium dihydrogen phosphate and its effects on plants and soil[J]. Open Agriculture, 2023, 8: 20220167 DOI:10.1515/opag-2022-0167 ( 0) |
| [18] |
刘芳禧, 方畅宇, 庾振宇, 等. 绿肥、秸秆和石灰联用对红壤性水稻土酸度特征和水稻产量的影响[J]. 土壤学报, 2024, 61(6): 1616-1627 ( 0) |
| [19] |
Jiang J, Xu R K, Zhao A Z. Surface chemical properties and pedogenesis of tropical soils derived from basalts with different ages in Hainan, China[J]. Catena, 2011, 87(3): 334-340 DOI:10.1016/j.catena.2011.06.016 ( 0) |
| [20] |
陈晶晶, 郭心怡, 李忠意, 等. 钙质紫色泥岩对酸性紫色土的改良效果研究[J]. 土壤学报, 2025, 62(3): 766-778 ( 0) |
| [21] |
Liang F, Li B Z, Vogt R D, et al. Straw return exacerbates soil acidification in major Chinese croplands[J]. Resources, Conservation and Recycling, 2023, 198: 107176 DOI:10.1016/j.resconrec.2023.107176 ( 0) |
| [22] |
Chen G L, Xiao L, Yue K, et al. Optimizing phosphate application to improve soil quality and reduce phosphorus loss in rice-wheat rotation[J]. Agriculture, Ecosystems & Environment, 2025, 378: 109310 ( 0) |
| [23] |
Cai Z J, Xu M G, Zhang L, et al. Decarboxylation of organic anions to alleviate acidification of red soils from urea application[J]. Journal of Soils and Sediments, 2020, 20(8): 3124-3135 DOI:10.1007/s11368-020-02630-2 ( 0) |
| [24] |
刘锐. 不同有机物料投入下红壤铝形态响应pH的差异与机制[D]. 北京: 中国农业科学院, 2023.
( 0) |
| [25] |
刘锐, 金玉霞, 王好圆, 等. 不同改良材料对红壤酸度的改良作用及玉米生长的影响[J]. 中国土壤与肥料, 2023(1): 199-205 ( 0) |
| [26] |
Moreira J G, Delvaux J C, Magela M L M, et al. Chemical changes in soil with use of pelletized organomineral fertilizer made from biosolids and sugarcane filter cake[J]. Australian Journal of Crop Science, 2021, 15(1): 67-72 ( 0) |
| [27] |
吕焕哲, 王凯荣, 谢小立, 等. 施用水稻秸秆对酸性红壤铝形态的动态影响[J]. 水土保持学报, 2006, 20(4): 110–112, 119 ( 0) |
| [28] |
Hu Y L, Chen J, Hui D F, et al. Soil acidification suppresses phosphorus supply through enhancing organomineral association[J]. Science of the Total Environment, 2023, 905: 167105 DOI:10.1016/j.scitotenv.2023.167105 ( 0) |
| [29] |
严玉鹏, 王小明, 胡震, 等. 磷酸根在矿物表面的吸附–解吸特性研究进展[J]. 土壤, 2021, 53(3): 439-448 DOI:10.13758/j.cnki.tr.2021.03.001 ( 0) |
| [30] |
Gerke J. Humic (organic matter)-Al(Fe)-phosphate complexes: An underestimated phosphate form in soils and source of plant-available phosphate[J]. Soil Science, 2010, 175(9): 417-425 DOI:10.1097/SS.0b013e3181f1b4dd ( 0) |
2. Hengyang Red Soil Experimental Station of Chinese Academy of Agricultural Sciences/Qiyang Farmland Ecosystem National Observation and Research Station, Qiyang, Hunan 426182, China;
3. Institute of Eco-Environment and Industry Technology, Shanxi Agricultural University; Soil Health Laboratory in Shanxi Province, Taiyuan 030031, China
2025, Vol. 57



0)