2. 江苏农林职业技术学院, 江苏镇江 212400;
3. 江苏开放大学乡村振兴学院, 南京 210036
耕地作为植物生长的载体,是最宝贵的农业资源和最重要的生产要素。近年来,受农业比较效益偏低、耕种条件差、劳动力缺乏等因素影响,一些地方出现了不同程度的耕地撂荒现象,造成土地资源浪费及耕地质量下降,给粮食安全带来较大影响[1-2]。实现撂荒地的恢复和重建,不仅对我国粮食供应的稳定性和社会安全具有深远的影响,同时也对促进农民增收、推动农业农村的可持续发展具有举足轻重的意义[3]。
寻求提高土壤肥力的有效措施,改善撂荒地土壤有机质含量偏低等问题,是合理且高效利用撂荒耕地资源的必要前提。绿肥是培养地力的重要物质,主要通过参与作物–土壤系统的自然过程和生命活动来维护和提升土壤性状[4-5]。在生长期间,绿肥通过根际沉积、根系分泌、菌根菌丝传递等形式补充土壤氮库[6-7],通过改变根系构型、调控根系分泌物组分、与菌根真菌结合并形成发达的菌丝网络等提高土壤磷的空间有效性和活化土壤矿物钾[8-10],通过诱导土壤生化性质变化改变土壤中微量元素的有效性[5, 11-13]。在翻压还田后,绿肥能有效促进土壤中有机碳、有机氮的矿化以及磷钾等营养物质的释放,对改土培肥及改善生态环境具有重要的意义[14-16]。在全国17个省(自治区)的土壤定位试验结果表明,与不翻压绿肥处理相比,绿肥翻压还田5年后土壤有机质含量提高1~2 g/kg[4]。
目前,关于绿肥的研究大多集中在氮肥减量、作物增产以及改善土壤理化性质等方面,有关绿肥种植对撂荒地土壤地力的改善效果及其对后茬作物生长影响的直接证据及其机制还有待探索。水稻是长江中下游地区最重要的粮食作物之一,水稻的稳产高产对我国粮食安全起着至关重要的作用。通过筛选适宜撂荒地种植并能促进后茬水稻生长的绿肥品种,既可作为撂荒地重新利用的有效方式,又对水稻产量的提升具有积极意义。作为目前我国南方地区普遍推广的主要绿肥品种,紫云英(Astragalus sinicus L.)及光叶紫花苕(Vicia villosa L.)在撂荒地土壤改良中发挥的作用还不清楚。因此,本研究以撂荒地为研究对象,通过研究紫云英及光叶紫花苕种植与翻压还田对土壤理化性质、关键酶活性及后茬水稻生长的影响,明确适宜撂荒地种植水稻的前茬绿肥品种,以期为撂荒地的利用及水稻生产提供理论依据和技术支撑。
1 材料与方法 1.1 试验材料供试土壤采自江苏省南京市栖霞区撂荒地(118°55′5.44″E,32°4′58.88″N)。采集的土壤去除杂物,风干、研磨、过筛后备用。土壤基本理化性状为:有机质5.75 g/kg,全氮7.33 g/kg、有效磷12.72 mg/kg,速效钾138.70 mg/kg,pH 7.07。供试绿肥品种分别为紫云英和光叶紫花苕,水稻品种为常规粳稻“镇稻11”。
1.2 试验设计盆栽试验于2022年11月18日至2023年11月13日在江苏丘陵地区农业科学研究所栽培实验室进行。试验随机区组排列,设置3个处理,分别为不种植绿肥(对照)、种植与翻压还田紫云英(紫云英处理)、种植与翻压还田光叶紫花苕(光叶紫花苕处理),每个处理5次重复,共15盆。试验时,将撂荒地土壤过8目筛后装盆(底部直径25 cm、高度30 cm的聚乙烯盆),每盆装干土7 kg。装土过程中保证土壤松紧度适宜。然后,选取大小一致且饱满的绿肥种子播种,每盆播40粒,待长出第三片真叶时定苗至20棵。育苗过程中定期用自来水浇灌,确保土面湿润。在绿肥生长盛花期(2023年4月18日)进行齐地刈割并将植株剪碎成5 cm左右,与对应盆钵内土壤均匀混合后装回原盆,继续进行翻压还田试验,期间浇水保证盆内土壤含水量在60% 左右。2023年6月25日移栽水稻,每盆移栽3株。水稻生长期间浇灌自来水以保证土壤的含水量在85% 左右,并且严格防止病虫害的发生。为了降低撂荒地改良过程中的成本投入,并量化绿肥种植及翻压可为后茬水稻提供的养分,整个绿肥生长期和水稻生长期均不施入任何肥料。
1.3 测定指标及方法 1.3.1 水稻样品采集及生物量、养分含量测定在水稻收获期采集植株地上部样品,用蒸馏水洗净后置于105 ℃烘箱内杀青30 min,之后75 ℃烘干至恒重,冷却后称重。随后,将样品粉碎后过筛备用。养分含量测定时,准确称取植株地上部样品0.05 g置于消煮管中,采用H2SO4-H2O2消化,分别采用半微量凯氏法、磷钼蓝比色法、火焰光度法测定消化液中的氮、磷、钾含量[17],并结合生物量计算植株氮、磷、钾养分积累量。
1.3.2 土壤样品采集及指标测定分别于绿肥收获期(2023年4月18日)、绿肥翻压还田后水稻移栽前(2023年6月20日)、水稻收获期(2023年11月15日),采用梅花形采样法用土钻对土壤样品进行采集。将采集的土壤样品分为两个部分,一部分置于室内自然风干,剔除杂质后过筛备用;一部分置于–20 ℃冰箱待测土壤酶活性。
土壤理化性质测定根据鲁如坤[17]的方法:土壤pH采用酸度计法测定(V水 : m土=2.5 : 1);土壤有机质和总有机碳采用重铬酸钾氧化–外加热法测定;土壤全氮采用浓H2SO4消化–凯氏定氮法测定;土壤有效磷采用0.5 mol/L NaHCO3浸提–钼锑抗比色法测定;土壤速效钾采用1 mol/L NH4OAc浸提–火焰光度法测定。
土壤中β-葡萄糖苷酶、β-木糖苷酶、β-纤维素酶、亮氨酸氨基肽酶、N-乙酰-β-葡萄糖苷酶、磷酸酯酶的测定按照96微孔板荧光法测定[18]。准确称取1.00 g鲜土并加入125 mL 50 mmol/L pH 7.0的乙酸钠缓冲液,置于180 r/min摇床(25 ℃)振荡匀质20 min;之后,吸取200 μL土壤悬浊液与50 μL 200 μmol/L的荧光底物加至96微孔板中。不同酶所对应的荧光底物如表 1所示。同时,分别吸取:①200 μL乙酸钠缓冲液+50 μL乙酸钠缓冲液(空白对照);②200 μL乙酸钠缓冲液+50 μL 4-甲基伞型酮(MUB)标准溶液(MUB对照);③200 μL乙酸钠缓冲液+50 μL荧光底物(底物对照);④200 μL土壤悬浊液+50 μL乙酸钠缓冲液(土悬液对照);⑤200 μL土壤悬浊液+50 μL MUB标准溶液(猝灭标准对照)。将96孔板置于20 ℃条件下黑暗培养4 h后,加入10 μL 1 mol/L的NaOH溶液终止反应,采用全自动酶标仪在365 nm激发波长和450 nm吸收波长下测量荧光值,并根据下式计算土壤酶活性。
| $ \begin{array}{l}土壤酶活性\text{(nmol/(h}\cdot \text{g))=}\\ \frac{样品净荧光值\text{×125 mL}}{激发系数\text{ × 0}\text{.2 mL}\times 时间\text{h}\times 干土重\text{(g)}}\end{array} $ | (1) |
| $ 样品净荧光值=\frac{样品荧光值-土悬液对照}{猝灭系数}-底物对照 $ | (2) |
| $ 猝灭系数=\frac{猝灭标准对照-土悬液对照}{{\rm{MUB}}对照} $ | (3) |
| $ 激发系数(\text{fluor}/\text{mol})\text{=}\frac{\text{MUB}对照}{\text{0}\text{.5 nmol}} $ | (4) |
|
|
表 1 不同土壤酶作用底物 Table 1 Different enzymes with corresponding substrates |
土壤中酚氧化酶(Phenol oxidase,PhOx)和过氧化物酶(Peroxidase,Perox)的测定采用96微孔板分光光度计法,底物为5 mmol/L 3, 4-二羟基苯丙氨酸(L-3, 4-dihydroxyphenylalanine,L-DOPA)。参照96微孔板荧光法,吸取200 μL土壤悬浊液与50 μL L-DOPA加至96微孔板中,同时设置:①200 μL乙酸钠缓冲液+50 μL乙酸钠缓冲液(空白对照);②200 μL乙酸钠缓冲液+50 μL L-DOPA(底物对照);③200 μL土壤悬浊液+50 μL乙酸钠缓冲液(土悬液对照)。需要注意的是,过氧化物酶活性的测定需要在每孔中加入10 μL 0.3% 的H2O2溶液。将过氧化物酶测定板、酚氧化酶测定板分别置于暗处培养5、20 h,使用多功能酶标仪在450 nm条件下测定吸光度,并根据下式计算土壤酶活性。
| $ \begin{array}{l}酶活性(\text{nmol/(h}\cdot \text{g)})\text{=}\\ \frac{样品净吸光值\text{×125 mL}}{(\text{7}\text{.9}{\rm{\mathsf{μ}}}\text{mol})\times \text{0}\text{.2 mL}\times 时间\text{(h)}\times 干土重(\text{g})}\end{array} $ | (5) |
| $ \begin{array}{l}样品净吸光值=样品吸光值-底物对照吸光值\\ \quad \quad\quad-土悬液对照吸光值\end{array} $ | (6) |
所有数据运用SPSS 16.0及Excel 2010进行处理与统计分析,采用LSD方法进行多重比较;使用R语言randomForest包进行随机森林分析;使用Origin 9.1和R 4.4.1软件绘图。
2 结果与分析 2.1 撂荒地绿肥种植对后茬水稻生长及养分吸收的影响如图 1所示,在撂荒地上种植绿肥,光叶紫花苕的种植效果显著优于紫云英,与紫云英地上生物量(7 g/盆)相比,光叶紫花苕地上生物量(43 g/盆)显著增加。在绿肥翻压还田后种植水稻,与对照相比,光叶紫花苕处理后茬水稻地上生物量显著增加,增幅为53%;而紫云英处理后茬水稻地上生物量显著降低,降幅为38%(图 1)。
|
(图中***及不同小写字母分别表示经LSD检验差异在P < 0.001及P < 0.05水平显著) 图 1 撂荒地绿肥种植对后茬水稻生物量的影响 Fig. 1 Effects of different green manures on subsequent rice growth in abandoned farmland |
如表 2所示,与对照相比,光叶紫花苕及紫云英处理对后茬水稻养分含量的影响较小,不同处理间差异不显著。与对照相比,光叶紫花苕处理显著提升了后茬水稻磷及钾的积累量,提升幅度分别为41% 及63%;紫云英处理显著降低了后茬水稻氮的积累量,降低幅度为50%。与紫云英处理相比,光叶紫花苕处理能显著提高后茬水稻氮、磷、钾的积累量,提升幅度分别为152%、97%、117%(表 2)。
|
|
表 2 撂荒地绿肥种植对后茬水稻植株养分含量及积累量的影响 Table 2 Effects of different green manures on nutrient contents and accumulations of subsequent rice in abandoned farmland |
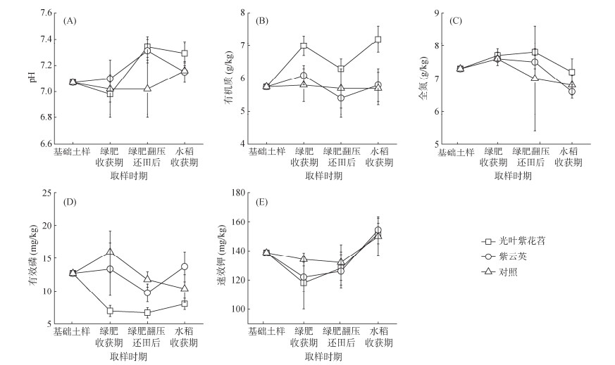
图 2显示了撂荒地绿肥种植后土壤各时期的肥力指标变化。可见,土壤pH随着绿肥生长、收获后翻压及水稻生长而有所波动(图 2A)。对照土壤整个周期pH变化不显著。种植绿肥处理,绿肥收获期土壤pH的变化较小;但在绿肥翻压还田后,土壤pH升高,翻压光叶紫花苕和紫云英土壤pH分别为7.34和7.31,与绿肥收获期相比分别提高5% 和3%,与对照相比分别提高5% 和4%。后茬水稻收获期,土壤pH与翻压还田后土壤pH间无显著差异;与绿肥收获期土壤pH相比,光叶紫花苕处理显著提高了土壤pH,增幅为4%。水稻收获期,3种处理土壤pH值间无显著性差异。
|
图 2 绿肥种植对土壤pH(A)、有机质(B)、全氮(C)、有效磷(D)、速效钾(E)的影响 Fig. 2 Effects of green manure planting on soil pH (A), organic matter (B), total N (C), available P (D) and available K (E) contents |
对照土壤的有机质含量在不同取样时期变异不显著,种植绿肥处理的土壤有机质含量受取样时期及绿肥种类的影响相对较大。与对照土壤相比,绿肥收获期,光叶紫花苕处理显著提升了土壤有机质含量(7.0 g/kg),提升比例达21%,紫云英处理对土壤有机质的提升效果不显著;与紫云英处理相比,光叶紫花苕处理土壤有机质含量提高15%。与绿肥收获期相比,绿肥翻压还田后,光叶紫花苕和紫云英处理土壤有机质含量显著降低,降低幅度分别为11% 和13%,光叶紫花苕处理对土壤有机质的提升效果显著优于紫云英处理。水稻收获期,光叶紫花苕处理的土壤有机质含量(7.2 g/kg)显著高于翻压还田后的土壤有机质含量(6.3 g/kg),而紫云英处理的土壤有机质含量与其余时期相比无显著差异。与紫云英处理及对照相比,光叶紫花苕处理后茬水稻收获期土壤有机质含量最高(图 2B)。
与对照相比,绿肥收获期种植绿肥对土壤全氮含量无显著影响,且在绿肥翻压还田后土壤全氮含量也无显著变化(图 2C)。与对照相比,光叶紫花苕翻压还田后土壤全氮含量显著提高了11%。水稻收获期,不同处理间土壤全氮含量无显著差异;与绿肥翻压还田后相比,水稻收获期对照和光叶紫花苕处理土壤全氮含量无显著差异,但紫云英处理土壤全氮含量显著降低,降低幅度为14%。
如图 2D所示,与对照相比,绿肥收获期种植紫云英对土壤有效磷含量的影响较小,二者间无显著性差异;与对照和紫云英处理相比,种植光叶紫花苕显著降低土壤有效磷含量,降低幅度分别为43% 和52%。绿肥翻压还田后,紫云英处理土壤有效磷含量降低42%,其余处理的土壤有效磷含量与绿肥收获期相比无显著差异。与前一时期相比,水稻收获期土壤有效磷含量变化不显著,且不同处理间土壤有效磷含量无显著差异。
对于土壤速效钾,在各取样时期,不同处理间土壤速效钾含量均无显著差异(图 2E);对照土壤速效钾含量在3个不同取样时期维持相对稳定;水稻收获期,光叶紫花苕处理土壤速效钾含量较绿肥收获期及翻压还田后分别增加29% 和19%,紫云英处理土壤速效钾含量较绿肥收获期及翻压还田后分别增加39% 和35%。
2.3 土壤肥力指标与水稻生物量及养分积累量的关系如图 3所示,水稻植株氮、磷、钾积累量与水稻地上部干重存在显著正相关关系,植株磷、钾积累量与氮积累量间存在显著正相关关系。在绿肥收获期,土壤pH与水稻地上部干重呈显著负相关关系,而土壤有机质含量与水稻地上部钾积累量、地上部干重呈显著正相关关系,土壤有效磷含量与植株养分积累量、干重呈显著负相关关系;在绿肥翻压还田后,土壤有机质含量与植株养分积累量、地上部干重呈显著正相关关系,而土壤有效磷含量与地上部干重呈显著负相关关系;在水稻收获期,土壤有机质含量与植株磷、钾积累量及地上部干重呈显著正相关关系,而土壤有效磷含量与植株养分积累量、地上部干重呈显著负相关关系。
|
(图中空白格表示相关性不显著;*、**、***分别表示在P < 0.05、P < 0.01、P < 0.001水平显著相关;下同) 图 3 不同取样时期土壤肥力指标与水稻植株养分积累量、地上部干重间的相关关系 Fig. 3 Correlations between soil fertility and nutrient accumulations and dry weights of rice plants at different stages |
利用随机森林模型进一步分析不同取样时期土壤肥力指标对水稻地上部干重的贡献,结果表明,土壤有机质及有效磷含量对水稻地上部干重的影响最大,绿肥收获期、绿肥翻压还田后、水稻收获期土壤有机质及有效磷含量对水稻地上部干重的重要性贡献累积分别达52%、54%、49%(图 4)。
|
图 4 绿肥收获期(A)、绿肥翻压还田后(B)、水稻收获期(C)土壤肥力指标对水稻地上部干重影响的随机森林分析 Fig. 4 Random forest analysis of impacts of soil fertility indicators on rice dry weight at green manure harvest stage (A), after incorporating stage (B), and rice harvest stage (C) |
如表 3所示,在绿肥收获期,不同处理间β-葡萄糖苷酶(βG)、β-木糖苷酶(βX)、亮氨酸氨基肽酶(LAP)、酚氧化酶(PhOx)、过氧化物酶(Perox)的活性无显著性差异;与对照和紫云英处理相比,光叶紫花苕处理土壤的β-纤维素酶(CBH)活性分别提高67% 和79%,磷酸酯酶(ALP)活性分别提高44% 和50%;光叶紫花苕和紫云英处理均显著提升了N-乙酰-β-葡萄糖苷酶(NAG)活性,提升幅度分别为75% 和74%。
|
|
表 3 绿肥种植翻压对不同取样时期土壤酶活性的影响 Table 3 Effects of different green manures on soil enzymes activities in abandoned farmland at different sampling periods |
与绿肥收获期相比,绿肥翻压还田后光叶紫花苕处理CBH活性显著降低47%;不同种类绿肥处理均显著降低了NAG及ALP活性,其中光叶紫花苕和紫云英处理NAG活性分别降低52% 和40%,ALP活性分别降低76% 和40%。在绿肥翻压还田后,与对照相比,光叶紫花苕处理βG活性显著升高136%,LAP活性显著降低57%,ALP活性显著降低55%,其余酶活性间无显著差异;与对照相比,紫云英处理LAP活性显著降低85%,其余酶活性无显著变化;与紫云英处理相比,光叶紫花苕处理βG活性显著提高129%(表 3)。
与绿肥翻压还田后相比,水稻收获期光叶紫花苕处理土壤βG活性显著降低,而ALP活性显著升高,绿肥处理其余酶活性在两个时期的差异不显著。就不同处理而言,在该时期仅LAP活性存在差异,与光叶紫花苕处理相比,对照及紫云英处理均显著降低了LAP活性,降低幅度分别为78% 和93%(表 3)。
相关性分析结果表明(图 5),βG活性与绿肥收获期及翻压还田后土壤有机质含量呈显著正相关关系,但与翻压还田后土壤有效磷含量呈显著负相关;βX活性与水稻收获期土壤有机质及全氮含量呈显著正相关,与土壤速效钾含量呈显著负相关;CBH活性与绿肥收获期土壤有机质含量呈显著正相关,与土壤pH呈显著负相关;LAP活性与水稻收获期土壤pH、有机质及全氮含量呈显著正相关,与土壤有效磷含量呈显著负相关;NAG活性、ALP活性与绿肥收获期土壤pH呈显著负相关、有机质含量呈显著正相关;ALP活性与绿肥翻压还田后土壤pH及全氮含量呈显著负相关,但与土壤有效磷含量呈显著正相关;PhOx及Perox活性与绿肥收获期土壤有效磷含量呈显著正相关;Perox活性在绿肥翻压还田后、水稻收获期与土壤有机质含量呈显著正相关,与速效钾含量呈显著负相关。
|
图 5 不同取样时期土壤肥力指标与土壤酶活性间的相关关系 Fig. 5 Correlations between soil fertility indicators and enzymes activities at different stages |
采用随机森林模型分析不同取样时期土壤酶活性对水稻地上部干重的贡献率,结果表明,在各个时期均表现为碳转化酶(CBH、βG、βX、Perox、PhOx)及磷酸酯酶活性对水稻地上部干重的影响最大(图 6)。绿肥收获期,土壤ALP、CBH及βG活性对水稻干重影响的累积贡献率达58%;绿肥翻压还田后,土壤βG、ALP及βX活性对水稻干重影响的累积贡献率达55%;水稻收获期,土壤Perox、βX、PhOx活性对水稻干重影响的累积贡献率达54%。
|
图 6 绿肥收获期(A)、绿肥翻压还田后(B)、水稻收获期(C)土壤酶活性对水稻地上部干重影响的随机森林分析 Fig. 6 Random forest analysis of impacts of soil enzymes activities on rice dry weight at green manure harvest stage (A), after incorporating stage (B), and rice harvest stage (C) |
绿肥的生长情况受土壤背景的影响。本研究表明,在撂荒地土壤上种植豆科绿肥紫云英及光叶紫花苕,后者的生物量显著高于前者。在苏北地区的研究结果也表明在多种豆科绿肥中,光叶紫花苕长势最好,而紫云英的生物量较低[19],这可能与紫云英耐寒性较差有关。有研究表明,晚播不利于紫云英生长,迟播17 d(10月31日播种)导致紫云英株高、总分枝数、单株重分别降低35%、27%、52%,而氮磷肥料配施可一定程度上缓解迟播带来的不利影响[20]。在江苏省内,晚播紫云英播期控制在11月之前,可获得较高的产草量,并取得较好的还田效果[21]。但考虑到江苏省水稻尤其是粳稻种植区,水稻收获期普遍在11月中旬左右,本试验开始时间为2022年11月18日。在晚播及没有任何外源肥料施用的前提下,光叶紫花苕生长较好,说明光叶紫花苕更适合在贫瘠土壤背景条件下接茬水稻种植,因此可作为撂荒地改良的优选绿肥品种。
本研究中,撂荒地土壤基础地力较低,而有机质含量过低(5.75 g/kg)会影响水稻生长发育。前人研究结果表明,与冬闲相比,冬种绿肥后茬接种水稻能显著提高水稻产量、土壤有机质含量及全氮含量[22-23]。但也有部分研究认为,绿肥种植对后茬经济作物的增产作用并不明显[20, 24-25]。本研究对比了光叶紫花苕及紫云英对撂荒地土壤地力的提升作用及对后茬水稻生长的影响,结果表明,光叶紫花苕处理后茬水稻生物量显著高于紫云英处理。这一方面与绿肥品种及长势有关,另一方面可能与土壤肥力背景值有较大关系。值得注意的是,与对照相比,紫云英处理后茬种植水稻生物量显著降低,这可能是由于被紫云英生长所消耗的土壤速效养分在紫云英翻压还田后没有被及时释放,从而导致水稻生物量的降低。高嵩涓等[26]对2008—2019年全国11个联合定位试验共930个数据进行汇总分析,结果表明,与正常施肥处理相比,冬种紫云英并正常施肥处理和冬种紫云英并减施化肥20% 处理水稻平均增产幅度为7% 和4% (P < 0.01)。然而,目前关于紫云英对后茬水稻生长影响的相关研究均建立在基础地力较好的水稻土上,且试验过程中均有外源肥料的施入。为节约撂荒地的改良成本,以及定量绿肥种植为后茬水稻生长所提供的养分量,本研究在未施入任何肥料的条件下进行,结果表明,光叶紫花苕相较于紫云英,更适宜作为撂荒地水稻种植的前茬绿肥作物。
如表 1所示,尽管不同处理间水稻植株氮含量无显著性差异,但绿肥种植处理后茬水稻氮含量均有所降低,结合氮吸收量相关结果分析可知,光叶紫花苕及紫云英处理后茬水稻植株氮含量下降的原因有所不同:光叶紫花苕处理后茬水稻氮素积累量较高,因此较低的养分含量可能是由稀释效应导致的;紫云英处理后茬水稻较低的氮含量是由于土壤氮素有效性较低所导致的,因此最终氮素总积累量显著低于对照及光叶紫花苕处理。相关性分析结果表明,植株的地上部干重与氮、磷、钾积累量呈显著正相关关系,光叶紫花苕处理后茬水稻对氮、磷、钾养分的吸收量显著增加,最终导致水稻地上部生物量显著高于其他处理。植株对养分的吸收受土壤理化性质的影响,各个阶段土壤有机质含量均与水稻地上部干重存在显著正相关关系,而与土壤有效磷含量呈显著负相关关系。采用整合分析的方法,刘俊海等[27]证实南方稻田冬绿肥翻压还田可使土壤有机质含量增加7%;李炫等[15]发现绿肥种植对水稻产量的影响主要受土壤有机质含量的影响,在低肥力土壤状况下绿肥对产量的提升幅度较高。本研究中,在撂荒地土壤有机质含量较低(5.8 g/kg)的前提下,绿肥尤其是光叶紫花苕显著提高了土壤有机质含量,进而提高了水稻地上部生物量。就土壤有效磷而言,由于豆科作物对磷的需求量较高[28],在撂荒地土壤无任何外源磷肥投入的前提下,绿肥作物为维持生长需要从土壤中吸收大量的磷素,导致土壤有效磷含量降低。随机森林分析结果进一步证实了土壤有机质及有效磷含量是影响绿肥后茬水稻生物量的关键因素。因此,本研究结果证明了在土壤基础地力较差的撂荒地土壤上,光叶紫花苕生长良好且能显著促进后茬水稻的生长,可以作为撂荒地水稻种植的前茬绿肥作物应用于土壤改良。
土壤酶是土壤物质循环和能量流动的驱动力,直接参与了土壤营养元素的有效化过程。土壤酶活性的高低能反映土壤中微生物的活性及土壤生化反应强度[18]。绿肥种类、用量及翻压年限均会显著影响土壤中的酶活性,进而影响土壤理化性状[29-31]。碳转化酶的活性可以用来表征绿肥种植及还田后的有机碳周转特征。本研究中,βG、CBH这两种与碳转化相关的酶的活性在光叶紫花苕种植及翻压后表现为最高,而紫云英与对照处理间差异不显著。这主要是由于与紫云英相比,光叶紫花苕较高的生物量可以为土壤微生物提供较为充足的底物,从而促进了土壤微生物活动及胞外酶的分泌[32-33]。βG、CBH活性分别与绿肥收获期、翻压还田后、水稻收获期土壤有机质含量呈显著正相关关系;随机森林模型分析结果也表明,在各取样时期碳转化酶对水稻地上部干重的贡献均较大。因此,碳转化相关酶活性的升高促进了土壤中碳转化过程,实现了土壤有机质含量及水稻地上部干重协同升高(图 3、表 2、图 5、图 6)。
LAP、NAG直接参与土壤氮素循环,可以提高土壤氮素的利用率。在绿肥翻压还田后,与光叶紫花苕及紫云英翻压处理相比,对照处理土壤LAP活性显著升高,这是由于土壤酶活性受底物浓度和微生物自身对养分需求的影响。在对照土壤中,由于外源养分输入较少,土壤在受到养分胁迫的条件下,微生物需要分泌更多的氮分解酶以满足自身养分需求[34]。在水稻收获期,紫云英处理LAP活性显著低于对照及光叶紫花苕处理,这可能与紫云英处理的水稻生物量较低有关。紫云英后茬水稻生长受限导致其对土壤养分的需求量降低,而光叶紫花苕及对照处理水稻对土壤养分的需求量较高,因此土壤受到的氮胁迫更强,土壤LAP活性的增加可以提高土壤氮有效性[34]。这一研究结果也表明氮素是撂荒地土壤综合肥力提升的关键限制因子。
磷酸酯酶能促进土壤有机磷矿化并释放无机磷以提高土壤磷的有效性,因此磷酸酯酶的活性可以表征土壤中有机磷的矿化潜力及生物有效性[35]。在低磷胁迫条件下,微生物通过分泌磷酸酯酶以活化利用土壤有机磷,促进植物对磷的吸收和利用[36-37]。豆科植物的固氮过程对磷肥的需求量较高,在土壤有效磷含量较低的撂荒地土壤上光叶紫花苕生长良好,因此在整个绿肥生长季土壤磷含量急剧下降。种植光叶紫花苕的土壤中ALP活性显著升高,以满足光叶紫花苕生长对磷的需求,进一步证实了撂荒地土壤上种植绿肥及翻压还田后土壤ALP活性对后茬水稻生物量的影响较大,这与前人研究结果一致。彭松等[38]研究表明,种植紫花苕及肥田萝卜均显著增加了土壤磷酸酯酶的活性,提高了土壤有机磷的矿化潜力和土壤中活性磷和中等活性磷的比例,从而促进植物对磷的吸收利用[39]。
4 结论在撂荒地种植光叶紫花苕能显著促进后茬水稻生长。土壤有机质及有效磷含量是绿肥影响后茬水稻生物量的关键土壤肥力因子。光叶紫花苕种植与翻压还田后,土壤β-葡萄糖苷酶、β-纤维素酶、磷酸酯酶活性的增加有利于土壤中有机质及有效磷含量的增加,最终促进了后茬水稻的生长及养分吸收。因此,种植光叶紫花苕并翻压还田可作为江苏地区改良撂荒地土壤及促进后茬水稻生产的有效农艺措施。
| [1] |
陈晓芬, 陈静蕊, 秦文婧, 等. 红壤荒地上7种豆科绿肥养分富集能力综合评价[J]. 中国草地学报, 2020, 42(4): 153-160 ( 0) |
| [2] |
黄熳琳, 徐珊珊, 裴彤, 等. 农村土地抛荒问题治理对策[J]. 合作经济与科技, 2021(19): 30-31 ( 0) |
| [3] |
肖冬华. 耕地抛荒问题研究[J]. 云南农业大学学报(社会科学版), 2009, 3(1): 25-30 ( 0) |
| [4] |
曹卫东, 包兴国, 徐昌旭, 等. 中国绿肥科研60年回顾与未来展望[J]. 植物营养与肥料学报, 2017, 23(6): 1450-1461 ( 0) |
| [5] |
曹卫东, 周国朋, 高嵩涓. 绿肥内源驱动土壤健康的作用与机制[J]. 植物营养与肥料学报, 2024, 30(7): 1274-1283 ( 0) |
| [6] |
Liu R, Zhou G P, Chang D N, et al. Transfer characteristics of nitrogen fixed by leguminous green manure crops when intercropped with maize in northwestern China[J]. Journal of Integrative Agriculture, 2022, 21(4): 1177-1187 DOI:10.1016/S2095-3119(21)63674-2 ( 0) |
| [7] |
Tsiknia M, Skiada V, Ipsilantis I, et al. Strong host-specific selection and over-dominance characterize arbuscular mycorrhizal fungal root colonizers of coastal sand dune plants of the Mediterranean region[J]. FEMS Microbiology Ecology, 2021, 97(9): fiab109 ( 0) |
| [8] |
Lambers H, Clements J C, Nelson M N. How a phosphorus-acquisition strategy based on carboxylate exudation powers the success and agronomic potential of lupines (Lupinus, Fabaceae)[J]. American Journal of Botany, 2013, 100(2): 263-288 DOI:10.3732/ajb.1200474 ( 0) |
| [9] |
顾炽明, 李越, 李银水, 等. 绿肥腐解液中有机酸组成对铝磷和铁磷活化能力的影响[J]. 植物营养与肥料学报, 2021, 27(9): 1627-1635 ( 0) |
| [10] |
Zhou G P, Chang D N, Gao S J, et al. Co-incorporating leguminous green manure and rice straw drives the synergistic release of carbon and nitrogen, increases hydrolase activities, and changes the composition of main microbial groups[J]. Biology and Fertility of Soils, 2021, 57(4): 547-561 DOI:10.1007/s00374-021-01547-3 ( 0) |
| [11] |
宋淑钧, 崔小茹, 陈其鲜, 等. 陇中旱区农田土壤微量元素特征及其对绿肥休耕的响应[J]. 水土保持学报, 2023, 37(6): 268-275 ( 0) |
| [12] |
李欣雨, 刘函亦, 薛少琪, 等. 几种绿肥的根系分泌物对土壤锌的活化效应[J]. 中国土壤与肥料, 2022(1): 81-89 ( 0) |
| [13] |
刘许霖, 郇恒福, 黄冬芬, 等. 间作柱花草作绿肥对椰园土壤肥力的作用[J]. 草业科学, 2023, 40(1): 79-89 ( 0) |
| [14] |
王国璀, 胡发龙, 李含婷, 等. 绿肥提高农田土壤有机碳固存机制的研究进展[J]. 植物营养与肥料学报, 2024, 30(6): 1185-1198 ( 0) |
| [15] |
李炫, 肖大康, 胡洋, 等. 种植绿肥对我国水稻产量和土壤肥力影响的整合分析[J]. 中国土壤与肥料, 2024(6): 79-88 ( 0) |
| [16] |
杜威, 王紫泉, 和文祥, 等. 豆科绿肥对渭北旱塬土壤养分及生态化学计量学特征影响[J]. 土壤学报, 2017, 54(4): 999-1008 ( 0) |
| [17] |
鲁如坤. 土壤农业化学分析方法[M].
中国农业科技出版社, 北京, 2000
( 0) |
| [18] |
DeForest J L. The influence of time, storage temperature, and substrate age on potential soil enzyme activity in acidic forest soils using MUB-linked substrates and L-DOPA[J]. Soil Biology and Biochemistry, 2009, 41(6): 1180-1186 DOI:10.1016/j.soilbio.2009.02.029 ( 0) |
| [19] |
董青君, 董玉兵, 李卫红, 等. 不同绿肥对土壤肥力及后茬水稻养分吸收的影响[J]. 土壤, 2023, 55(3): 554-561 DOI:10.13758/j.cnki.tr.2023.03.012 ( 0) |
| [20] |
尹婷. 施肥对不同播期和类型稻田绿肥生长及养分积累的影响[D]. 武汉: 华中农业大学, 2023.
( 0) |
| [21] |
周影, 王琳, 魏启舜, 等. 晚播对紫云英生长、养分积累和根际微生物的影响[J]. 土壤, 2019, 51(1): 46-50 DOI:10.13758/j.cnki.tr.2019.01.007 ( 0) |
| [22] |
高菊生, 曹卫东, 李冬初, 等. 长期双季稻绿肥轮作对水稻产量及稻田土壤有机质的影响[J]. 生态学报, 2011, 31(16): 4542-4548 ( 0) |
| [23] |
刘芳禧, 方畅宇, 庾振宇, 等. 绿肥、秸秆和石灰联用对红壤性水稻土酸度特征和水稻产量的影响[J]. 土壤学报, 2024, 61(6): 1616-1627 ( 0) |
| [24] |
李富翠, 赵护兵, 王朝辉, 等. 渭北旱地夏闲期秸秆还田和种植绿肥对土壤水分、养分和冬小麦产量的影响[J]. 农业环境科学学报, 2011, 30(9): 1861-1871 ( 0) |
| [25] |
王琳, 管永祥, 陈震, 等. 不同种类绿肥养分积累比较及其对水稻产量的影响[J]. 江苏农业学报, 2020, 36(5): 1139-1143 ( 0) |
| [26] |
高嵩涓, 周国朋, 曹卫东. 南方稻田紫云英作冬绿肥的增产节肥效应与机制[J]. 植物营养与肥料学报, 2020, 26(12): 2115-2126 ( 0) |
| [27] |
刘俊海, 杨瑞雪, 吴桂成, 等. 我国南方稻田冬绿肥培肥增产效应的分析研究[J]. 中国草地学报, 2024, 46(2): 111-120 ( 0) |
| [28] |
Chalk P M. Integrated effects of mineral nutrition on legume performance[J]. Soil Biology and Biochemistry, 2000, 32(4): 577-579 DOI:10.1016/S0038-0717(99)00173-X ( 0) |
| [29] |
李亚贞, 韩天富, 柳开楼, 等. 红壤稻田土壤酶活性及水稻产量对翻压冬季绿肥的响应[J]. 植物营养与肥料学报, 2023, 29(7): 1313-1322 ( 0) |
| [30] |
高桂娟, 李志丹, 韩瑞宏, 等. 3种南方绿肥腐解特征及其对淹水土壤养分和酶活性的影响[J]. 热带作物学报, 2016, 37(8): 1476-1483 ( 0) |
| [31] |
Elfstrand S, Hedlund K, Mårtensson A. Soil enzyme activities, microbial community composition and function after 47 years of continuous green manuring[J]. Applied Soil Ecology, 2007, 35(3): 610-621 DOI:10.1016/j.apsoil.2006.09.011 ( 0) |
| [32] |
杨曾平, 高菊生, 郑圣先, 等. 长期冬种绿肥对红壤性水稻土微生物特性及酶活性的影响[J]. 土壤, 2011, 43(4): 576-583 ( 0) |
| [33] |
董秀, 张燕, MUNYAMPIRWA Tito, 等. 长期保护性耕作对黄土高原旱作农田土壤碳含量及转化酶活性的影响[J]. 中国农业科学, 2023, 56(5): 907-919 ( 0) |
| [34] |
徐文娴, 李金秋, 孟磊, 等. 葛藤覆盖对幼龄橡胶园表层土壤理化性状和酶活性的影响[J]. 植物营养与肥料学报, 2020, 26(9): 1740-1748 ( 0) |
| [35] |
Wang L S, Liu D. Functions and regulation of phosphate starvation-induced secreted acid phosphatases in higher plants[J]. Plant Science, 2018, 271: 108-116 DOI:10.1016/j.plantsci.2018.03.013 ( 0) |
| [36] |
邝曦芝, 邓伟明, 唐乐乐, 等. 不同磷水平配施生物炭对土壤磷有效性和大豆磷吸收的影响[J]. 应用生态学报, 2022, 33(7): 1911-1918 ( 0) |
| [37] |
Li J B, Xie T, Zhu H, et al. Alkaline phosphatase activity mediates soil organic phosphorus mineralization in a subalpine forest ecosystem[J]. Geoderma, 2021, 404: 115376 DOI:10.1016/j.geoderma.2021.115376 ( 0) |
| [38] |
彭松, 祝晓慧, 黄焯芹, 等. 赤红壤和石灰土四种绿肥作物根际磷转化过程[J]. 生态学杂志, 2024, 43(12): 3656-3664 ( 0) |
| [39] |
常单娜, 陈子英, 韩梅, 等. 毛叶苕子磷获取特征及根际特性的基因型差异[J]. 草业学报, 2024, 33(4): 122-134 ( 0) |
2. Jiangsu Vocational College of Agriculture and Forestry, Zhenjiang, Jiangsu 212400, China;
3. College of Rural Revitalization, Jiangsu Open University, Nanjing 210036, China
2026, Vol. 58



0)