2. 中国科学院大学, 北京 100049;
3. 东北农业大学资源与环境学院, 哈尔滨 150030
我国酸性土壤(pH≤5.5)总面积约218万km2,主要分布在南方红壤区[1]。土壤酸化引发的离子毒害(如质子、铝毒和铁毒等)和养分贫瘠(如磷、镁、钙等)严重限制了植物生长,导致酸性红壤地区农作物减产及品质下降[2]。值得注意的是,南方红壤酸化程度持续加剧,危害日益严重,而化学氮肥过量施用是农田土壤酸化加快的重要因素[3-4]。目前,作物高产主要依赖化学氮肥的大量施用,但由于酸性红壤中氮肥利用率普遍较低,过量氮肥施入会通过硝化作用产生大量质子,进一步加剧土壤酸化,形成“高投入–低效率–强酸化”的恶性循环[5]。因此,采取合理的改良措施并提升氮肥利用率,对提高酸性红壤生产潜力和增强土壤生态系统功能具有重要意义。传统农业中,多采用碱性物料改良酸性土壤,特别是石灰作为改良剂,可快速降低土壤酸度和活性铝含量,从而改善作物养分吸收效率并提高作物产量[6]。然而,长期施用石灰易引发土壤板结和钙、镁、钾等离子的拮抗问题,导致土壤结构恶化及中微量元素失衡,且改良效果逐年衰减[7]。近年来,硝化抑制剂已应用于酸性土壤氮素调控,其通过抑制铵态氮向硝态氮转化,减少氮素流失,从而提升酸性土壤氮肥利用率和作物产量。例如,崔磊等[8]研究表明,在红壤中施用硝化抑制剂显著提高了玉米生物量和氮肥利用率。然而,刘发波等[9]发现,硝化抑制剂对红壤中硝化作用的抑制效果并不明显。此外,硝化抑制剂存在成本高、增加氨挥发的风险,长期施用可能带来一定的环境风险和食品安全问题[10]。
施肥措施对土壤养分利用和作物生长至关重要。传统地表撒施不仅增加氮肥的挥发风险,还加速养分元素的径流损失,减少作物深层根系的养分吸收[11]。研究表明,肥料深施可有效提升作物养分吸收和产量,并提高氮肥利用率[12-13]。丁相鹏等[14]研究发现,氮肥合理深施能够促进玉米深层根系生长,10~15 cm深施提高氮素利用效率、降低氮素损失、提高作物产量。彭术[15]的田间试验表明,酸性土壤上深施氮肥可促进水稻分蘖,提高双季稻实粒数和产量。然而,目前肥料深施在酸性旱地上的应用效果还少有研究,与石灰和硝化抑制剂施用效果的比较更是缺乏。因此,本研究通过盆栽试验,设置肥料深施、氮肥减施、石灰和硝化抑制剂配合施用等处理,以探讨肥料深施在酸性土壤上的应用效果,为酸性土壤养分利用和产能提升提供科学指导。
1 材料与方法 1.1 盆栽试验供试酸性红壤采自中国科学院鹰潭国家农业生态系统观测研究站农田(0~20 cm),由第四纪红黏土发育而成的红壤。采样后去除明显植物残体和石块,经自然风干并过2 mm筛,混匀备用。土壤基本理化性质为:pH 4.45,有机质14.42 g/kg,全氮2.33 g/kg,全磷0.31 g/kg,全钾1.08 g/kg,有效磷2.50 mg/kg。
盆栽试验在自然温室中进行,共设置6个处理:土壤表面施用氮磷钾肥(对照,N0)、氮磷钾肥施用在土表下10 cm(N10)、减40% 氮肥和磷钾肥施用于土表下10 cm(–N10)、减40% 氮肥和磷钾肥及硝化抑制剂(双氰胺)混合施用于土表下10 cm(–N10D)、氮磷钾肥和石灰混合施用于土表下10 cm(N10Ca)、减40% 氮肥和磷钾肥及石灰混合施用于土表下10 cm (–N10Ca)。氮肥以硫酸铵形式供应,施用量为N 150 mg/kg,减40% 氮肥施用量为N 90 mg/kg;磷肥为磷酸二氢钾,施用量为P 100 mg/kg;钾肥为硫酸钾,施用量为K 150 mg/kg。双氰胺使用量为硫酸铵施用量的10%。石灰为氢氧化钙,施用量为0.396 g/kg。每盆用土2.5 kg,土表面到最底层深度为24 cm,每个处理4个重复。
供试玉米品种为郑单958,每盆播种3粒种子,当玉米地上部长至1 cm时间苗,每盆定植1棵幼苗。自间苗之日起,进行为期3周的种植,土壤含水量保持在饱和持水量的60%。
1.2 样品采集、植物元素测定及根形态扫描种植结束后,采集植株地上部,并按照0~8、8~16、16~24 cm深度分层采集土壤和根系,每盆每层土混匀作为1个土壤样品和根部样品。土壤样品分两份保存:一份储存于4 ℃冰箱,一周之内测定土壤铵态氮和硝态氮含量;剩余土壤样品,风干研磨后用于测定其他土壤理化性质。地上部样品于105 ℃杀青,65 ℃烘干至恒重,并称重。根系样品用蒸馏水反复冲洗掉表面土壤颗粒后,立即扫描根系形态,后杀青、烘干至恒重。烘干的地上部和地下部植物样品粉碎后使用H2SO4-H2O2消煮,采用靛酚蓝比色法测定氮含量,钼锑抗比色法测定磷含量。
采用超A3*1平板式彩色图像扫描仪(Epson Expression 1200XL,上海)扫描根系形态,使用根系分析系统WinRHIZO Pro进行分析,指标包括根长、根直径、根表面积和根体积。
1.3 土壤理化性质测定土壤理化性质测定参照《土壤农业化学分析方法》[16]。按照土水质量比1︰2.5振荡后,用pH计(Mettler Toledo FE20,美国)测定土壤pH;使用重铬酸钾氧化法测量土壤有机质含量;采用氯化钾浸提新鲜土壤,用连续流动分析仪(San++,Skalar,荷兰)测定铵态氮和硝态氮含量,矿质态氮为铵态氮和硝态氮的总和;采用H2SO4-HClO4消解土壤,钼锑抗比色法测定全磷含量;使用盐酸–氟化铵溶液浸提土壤后,用钼锑抗比色法测定有效磷含量;采用醋酸铵溶液浸提土壤,用火焰光度法测定土壤速效钾含量。
1.4 数据分析采用软件SPSS26.0对试验数据进行统计分析,利用单因素方差分析(One-way ANOVA)检验不同处理间植株生物量、根系形态指标、地上部氮磷吸收量和土壤理化性质的差异,并采用Duncan多重比较法对处理间差异进行事后检验。
2 结果与分析 2.1 肥料、石灰和双氰胺深施对玉米生物量的影响肥料深施(N10)、减氮深施(–N10)、减氮和双氰胺深施(–N10D)、肥料和石灰深施(N10Ca)、减氮和石灰深施(–N10Ca)处理的玉米地上部生物量均显著高于肥料表面施用处理(N0)(P < 0.05);但是,相比肥料深施处理(N10),减氮、石灰及硝化抑制剂配合深施(–N10、–N10D、N10Ca和–N10Ca)处理均未显著提高玉米地上部生物量(P > 0.05,图 1A)。仅N10和–N10D处理的地下部生物量显著高于N0处理,且各深施处理(N10、–N10、–N10D、N10Ca和–N10Ca)间地下部生物量无显著差异(图 1B)。分层结果显示,0~8 cm土层中,仅–N10D处理地下部生物量显著高于N0处理;8~16 cm土层中,除–N10D处理外,其他处理地下部生物量显著高于N0处理;16~24 cm土层中,各处理间地下部生物量无显著差异(图 1C)。
|
(图A和图B中不同小写字母表示处理间差异在P < 0.05水平显著,图C中不同小写字母表示相同土层不同处理间差异在P < 0.05水平显著) 图 1 不同施肥处理玉米地上部(A)、地下部(B)和地下部分层(C)生物量 Fig. 1 Maize biomass of shoot (A), root (B), and root layers (C) under different fertilization treatments |
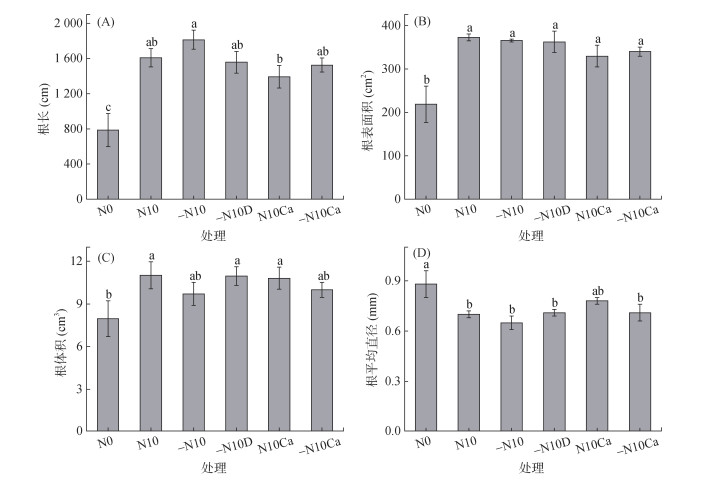
氮肥、石灰及硝化抑制剂深施处理(N10、–N10、–N10D、N10Ca和–N10Ca)玉米根系根长和根表面积均显著高于N0处理(P < 0.05,图 2A和2B)。N10、–N10D和N10Ca处理的根体积均显著高于N0处理(图 2C)。除N10Ca处理外,其他处理的平均根直径显著低于N0处理(图 2D)。所有深施处理的根形态指标(根长、根表面积、根体积和根平均根直径)均无显著差异(P > 0.05)。
|
(图中不同小写字母表示不同处理间差异在P < 0.05水平显著) 图 2 不同施肥处理玉米根长(A)、根表面积(B)、根体积(C)和根平均直径(D) Fig. 2 Root lengths (A), root surface areas (B), root volumes (C), and average root diameters (D) of maize under different fertilization treatments |
在0~8 cm土层,N0和–N10Ca处理的根长显著低于其他深施处理,其根表面积也显著低于N10和–N10D处理(图 3A和3B);而根体积在各处理间无显著差异(图 3C)。在8~16 cm土层,N10、–N10和–N10Ca处理的根长显著高于N0处理(图 3A),除–N10D处理外,其他处理的根表面积和根体积均显著高于N0处理(图 3B)。在16~24 cm土层,–N10Ca处理的根长和根表面积显著高于N0、N10和N10Ca处理(图 3A和3B),但是根体积在各处理间无显著差异(图 3C)。N0处理的根平均直径在0~8 cm土层显著高于其他处理,在16~24 cm土层显著高于N10Ca处理(图 3D)。
|
(图中不同小写字母表示相同土层不同处理间差异在P < 0.05水平显著) 图 3 不同施肥处理不同土层玉米根系根长(A)、根表面积(B)、根体积(C)和根平均直径(D) Fig. 3 Different layer root lengths (A), root surface areas (B), root volumes (C), and average root diameters (D) of maize under different fertilization treatments |
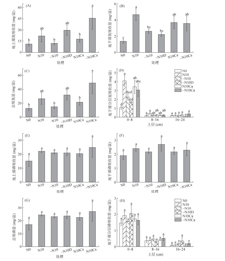
–N10Ca处理玉米地上部氮吸收量和总吸氮量显著高于N0处理(P < 0.05,图 4A和4C),而地下部氮吸收量在N10、N10Ca和–N10Ca处理中显著高于N0处理(图 4B)。在0~8 cm土层,N10、N10Ca和–N10Ca处理的地下部氮吸收量显著高于N0处理;在8~16 cm土层,仅N10处理的地下部氮吸收量显著高于N0处理;在16~24 cm土层,所有处理间地下部氮吸收量无显著差异(P > 0.05,图 4D)。减氮处理(–N10和–N10D)地下部氮吸收量和0~8 cm土层氮吸收量显著低于N10处理(图 4B、4D)。而地上部、地下部和地下部分层磷吸收量及总吸磷量在各处理间无显著差异(图 4E、4F、4G和4H)。
|
(图A、B、C、E、F、G中不同小写字母表示不同处理间差异在P < 0.05水平显著,图D、H中不同小写字母表示相同土层中不同处理间差异在P < 0.05水平显著) 图 4 不同施肥处理玉米地上部、地下部及其分层氮、磷吸收量 Fig. 4 Nitrogen and phosphorus absorptions of maize shoot, root, and root layers under different fertilization treatments |
表 1结果显示,–N10Ca处理0~8 cm和8~16 cm土层的土壤pH显著高于N0处理(P < 0.05)。在0~8 cm土层,所有深施处理(N10、–N10、–N10D、N10Ca和–N10Ca)的土壤铵态氮、有效磷、速效钾和矿物质氮含量均显著低于N0处理;N10Ca和–N10Ca处理的硝态氮含量显著高于N0处理。除N0处理外,深施处理的铵态氮和矿物质氮含量随土壤深度增加而增加。在8~16 cm土层中N10处理土壤铵态氮含量最高,在16~24 cm土层中所有深施处理铵态氮和矿物质氮含量显著高于N0处理。在8~16 cm土层,N10、–N10和–N10D处理的硝态氮含量显著低于N0处理(P < 0.05);所有深施处理土壤有效磷含量显著高于N0处理。在16~24 cm土层,除–N10Ca处理外,其他深施处理的土壤速效钾含量显著高于N0处理。
|
|
表 1 不同施肥处理不同土层土壤理化性质 Table 1 Soil properties of different layers under different fertilization treatments |
本研究结果表明,与肥料表面施用相比,肥料深施(10 cm)增加了玉米地上部和地下部(0~8 cm和8~16 cm)生物量及氮吸收量。这一结果证实,肥料深施可有效改善酸性红壤上玉米生长和氮素吸收(图 1和图 4)。此外,减氮深施未降低玉米生物量,进一步表明肥料深施是提升酸性红壤生产潜力的一项可行措施。这与其他肥料深施研究的结果类似。例如,高飞等[17]研究得出西北旱作区黑垆土中,氮肥25 cm深施能为玉米提供更好的养分供给,显著提高玉米产量。在潮土中,相同施氮量下,深施处理棉花单株成铃数、果节数、单铃质量均高于浅施处理[18]。在砂质黏壤土中,肥料深施(15、25、35 cm)显著提高小麦氮吸收和产量[19]。Liu等[20]的全球Meta分析表明,与表面施氮肥相比,5~10、10~15 cm和 > 15 cm深施氮肥的作物产量分别增加了7.57%、11.63% 和11.85%。尤其在本研究供试酸性红壤上,肥料深施对玉米生长的促进效果与配施石灰和硝化抑制剂效果无显著差异(图 1),应用潜力更大。而且,肥料深施相比施用石灰和硝化抑制剂等措施,在没有多余外源物质投入的情况下提高作物产量,表现出独特的优势。以往研究表明,石灰和硝化抑制剂可提高酸性土壤上作物生长和养分利用率[8, 21]。但在本研究中,二者与肥料配合深施未表现出显著效果,具体表现为在0~8 cm和16~24 cm土层土壤pH未显著提高(表 1),这可能与其深施有关。石灰集中施于单一土层后溶解缓慢,难以下移至深层土壤,导致其对表层和深层土壤酸度的改良作用受限[22-23]。此外,硝化抑制剂的效果与土壤有机质含量、土壤微生物和土壤pH密切相关,且受土壤类型、气候条件等外界环境的影响[9]。刘发波等[9]研究发现,硝化抑制剂在不同土壤类型中效果存在差异,其中在潮土中的抑制效果优于在水稻土中,而在红壤中作用效果最差。由于红壤pH较低,硝化作用较弱,硝化抑制剂对红壤的硝化作用抑制效果不显著。Wang等[24]研究结果进一步证实,随着土壤pH的降低,硝化抑制剂对硝化过程的抑制效果随之降低。
由于深层土壤含水量高于表层,深施肥料可延长肥料的可用性,同时增加铵态氮和硝态氮在深层土壤中的含量,从而提高作物对养分的吸收和利用[25-26]。根系主要分布在浅表层,集中深施使根系在高浓度铵态氮的诱导下到向更深土层生长,从而增强养分吸收,促进作物生长发育[20, 27-28]。先前的研究表明,深施氮肥可促进植物根系生长,增加侧根数量和侧根密度,扩大根系的深度分布[25, 29-30]。本研究结果相似,肥料深施显著增加了0~8 cm和8~16 cm土层玉米根系根长、根表面积和根体积(图 2和图 3),从而扩大了根系对养分吸收的范围。在肥料深施条件下,0~8 cm土层玉米根平均直径减小,表明须根数量增加,这有助于扩大根土接触面积,增强植株对速效性较低养分的吸收[31]。另一方面,肥料集中深施可在一定程度上提高养分供应强度,提升植物对氮素的吸收利用(图 2)。此外,在氮肥深施条件下,带负电荷的土壤胶体使更多的铵态氮可以作为非交换性铵态氮保留在土壤中,抑制了氨挥发,减少了氮的损失[28]。
4 结论在酸性红壤上,肥料深施可有效促进玉米生长和养分吸收,表现较高的应用潜力。肥料深施的优势主要体现在增加根长、根表面积和根体积,扩大根系与养分的吸收面积,提高根区土壤养分供应能力。
| [1] |
赵其国. 开拓资源优势, 创新研发潜力, 为我国南方红壤地区社会经济发展作贡献——纪念中国科学院红壤生态实验站建站30周年[J]. 土壤, 2015, 47(2): 197-203 ( 0) |
| [2] |
Zhao X Q, Chen R F, Shen R F. Coadaptation of plants to multiple stresses in acidic soils[J]. Soil Science, 2014, 179(10/11): 503-513 ( 0) |
| [3] |
Tian D S, Niu S L. A global analysis of soil acidification caused by nitrogen addition[J]. Environmental Research Letters, 2015, 10(2): 024019 DOI:10.1088/1748-9326/10/2/024019 ( 0) |
| [4] |
赵学强, 潘贤章, 马海艺, 等. 中国酸性土壤利用的科学问题与策略[J]. 土壤学报, 2023, 60(5): 1248-1263 ( 0) |
| [5] |
张昊青, 赵学强, 张玲玉, 等. 石灰和双氰胺对红壤酸化和硝化作用的影响及其机制[J]. 土壤学报, 2021, 58(1): 169-179 ( 0) |
| [6] |
闫静, 时仁勇, 王昌军, 等. 不同改良剂对酸性烟田的改良效果及其对烤烟生长的影响[J]. 土壤, 2023, 55(3): 612-618 DOI:10.13758/j.cnki.tr.2023.03.019 ( 0) |
| [7] |
黄建凤, 吴腾飞, 叶芳, 等. 有机肥与石灰配施对华南酸性土壤的改良效果[J]. 农业资源与环境学报, 2024, 41(3): 606-613 ( 0) |
| [8] |
崔磊, 李东坡, 武志杰, 等. 不同硝化抑制剂对红壤氮素硝化作用及玉米产量和氮素利用率的影响[J]. 应用生态学报, 2021, 32(11): 3953-3960 ( 0) |
| [9] |
刘发波, 郎明, 马笑, 等. 硝化抑制剂类型和剂量对不同类型土壤硝化抑制作用机理的研究[J]. 中国土壤与肥料, 2022(8): 66-75 ( 0) |
| [10] |
李长青, 纪萌, 马萌萌, 等. 天然增效剂与化学抑制剂复配对小麦/玉米轮作体系产量、氮素利用及氮平衡的影响[J]. 应用生态学报, 2023, 34(9): 2391-2397 ( 0) |
| [11] |
李玉青, 焦艳艳, 朱晓颖, 等. 不同氮肥施用深度对小麦旗叶光合特征、产量及品质的影响[J]. 农业科技通讯, 2024(8): 79-82 ( 0) |
| [12] |
Liu X W, Wang H Y, Zhou J M, et al. Effect of N fertilization pattern on rice yield, N use efficiency and fertilizer-N fate in the Yangtze River Basin, China[J]. PLoS One, 2016, 11(11): e0166002 DOI:10.1371/journal.pone.0166002 ( 0) |
| [13] |
朱文彬, 曾科, 田玉华, 等. 不同深施方式对太湖地区稻田氨挥发和氮肥利用率的影响[J]. 土壤, 2023, 55(4): 729-738 DOI:10.13758/j.cnki.tr.2023.04.005 ( 0) |
| [14] |
丁相鹏, 李广浩, 张吉旺, 等. 控释尿素基施深度对夏玉米产量和氮素利用的影响[J]. 中国农业科学, 2020, 53(21): 4342-4354 ( 0) |
| [15] |
彭术. 氮肥减量深施对双季稻产量和氮素迁移转化的影响研究[D]. 长沙: 湖南农业大学, 2019.
( 0) |
| [16] |
鲁如坤. 土壤农业化学分析方法[M].
中国农业科技出版社, 北京, 2000
( 0) |
| [17] |
高飞, 任亮奇, 崔增团, 等. 氮肥深施对旱作覆膜农田土壤养分含量及春玉米产量的影响[J]. 干旱地区农业研究, 2023, 41(5): 89-98 ( 0) |
| [18] |
郭莉莉, 李飞, 李彩红, 等. 氮肥减量深施对油后密植棉花光合特性、产量和氮素利用效率的影响[J]. 华北农学报, 2022, 37(S1): 221-230 ( 0) |
| [19] |
Wang Y X, Xu Y R, Guo Q, et al. Increasing winter wheat yield and nitrogen utilization, and reducing residual soil nitrogen in semi-humid areas: A study matching deep fertilizer application with regional water scenarios[J]. European Journal of Agronomy, 2024, 153: 127065 DOI:10.1016/j.eja.2023.127065 ( 0) |
| [20] |
Liu S J, Pubu C, Zhu Y Z, et al. Optimizing nitrogen application depth can improve crop yield and nitrogen uptake–A global meta-analysis[J]. Field Crops Research, 2023, 295: 108895 DOI:10.1016/j.fcr.2023.108895 ( 0) |
| [21] |
方煜, 黄凯, 杨京民, 等. 石灰、生物炭对酸性土壤改良及玉米生长的影响[J]. 江西农业学报, 2022, 34(4): 80-87 ( 0) |
| [22] |
de Moraes F A, Moreira S G, Peixoto D S, et al. Lime incorporation up to 40 cm deep increases root growth and crop yield in highly weathered tropical soils[J]. European Journal of Agronomy, 2023, 144: 126763 DOI:10.1016/j.eja.2023.126763 ( 0) |
| [23] |
dos Santos D R, Tiecher T, Gonzatto R, et al. Long-term effect of surface and incorporated liming in the conversion of natural grassland to no-till system for grain production in a highly acidic sandy-loam Ultisol from South Brazilian Campos[J]. Soil and Tillage Research, 2018, 180: 222-231 DOI:10.1016/j.still.2018.03.014 ( 0) |
| [24] |
Wang Z H, Meng Y, Zhu-Barker X, et al. Responses of nitrification and ammonia oxidizers to a range of background and adjusted pH in purple soils[J]. Geoderma, 2019, 334: 9-14 DOI:10.1016/j.geoderma.2018.07.038 ( 0) |
| [25] |
Wang Y X, Xu Y R, Guo Q, et al. Adopting nitrogen deep placement based on different simulated precipitation year types enhances wheat yield and resource utilization by promoting photosynthesis capacity[J]. Field Crops Research, 2023, 294: 108862 DOI:10.1016/j.fcr.2023.108862 ( 0) |
| [26] |
Wu P, Liu F, Chen G Z, et al. Can deep fertilizer application enhance maize productivity by delaying leaf senescence and decreasing nitrate residue levels[J]. Field Crops Research, 2022, 277: 108417 DOI:10.1016/j.fcr.2021.108417 ( 0) |
| [27] |
Zhang N H, Luo H Q, Li H, et al. Maximizing potato Tuber yields and nitrogen use efficiency in semi-arid environments by precision fertilizer depth application[J]. European Journal of Agronomy, 2024, 156: 127147 DOI:10.1016/j.eja.2024.127147 ( 0) |
| [28] |
朱彤, 李红, 周艳萍, 等. 肥料深施、红萍和土壤pH对稻田氨挥发的影响[J]. 土壤学报, 2025, 62(1): 223-232 ( 0) |
| [29] |
Jing J Y, Gao W, Cheng L Y, et al. Harnessing root-foraging capacity to improve nutrient-use efficiency for sustainable maize production[J]. Field Crops Research, 2022, 279: 108462 DOI:10.1016/j.fcr.2022.108462 ( 0) |
| [30] |
Wang L Y, Li X L, Mang M, et al. Heterogeneous nutrient supply promotes maize growth and phosphorus acquisition: Additive and compensatory effects of lateral roots and root hairs[J]. Annals of Botany, 2021, 128(4): 431-440 DOI:10.1093/aob/mcab097 ( 0) |
| [31] |
Wang L Y, Rengel Z, Cheng L Y, et al. Coupling phosphate type and placement promotes maize growth and phosphorus uptake by altering root properties and rhizosphere processes[J]. Field Crops Research, 2024, 306: 109225 DOI:10.1016/j.fcr.2023.109225 ( 0) |
2. University of Chinese Academy of Sciences, Beijing 100049, China;
3. School of Resources and Environment, Northeast Agricultural University, Harbin 150030
2026, Vol. 58



0)