2. 中国地质大学(武汉)环境学院, 武汉 430074;
3. 洪湖市农业技术推广中心, 湖北洪湖 433299;
4. 湖北省农业科学院植保土肥研究所/国家土壤质量洪山观测实验站, 武汉 430064
稻虾共作(Integrated rice-crayfish co-culture,IRCC),即在同一块稻田种植水稻和养殖小龙虾(克氏原螯虾,Procambarus clarkii),是近十几年在我国迅猛发展起来的一种稻渔综合利用模式[1]。该模式每年可收获1季中稻和2季小龙虾,社会经济效益良好,在湖北、安徽、湖南、江苏和江西等省份得到快速推广。截至2023年底,全国稻虾种养面积达2 530万亩(15亩=1 hm2),占小龙虾总养殖面积的85.8%[2]。
IRCC的基本理念与传统稻–渔综合种养相似,即通过稻田生态系统中的微生物和害虫为小龙虾提供天然饵料,同时小龙虾的排泄物为水稻生长提供生物肥,实现能量和物质的高效循环,从而提高单位营养物质投入的经济效益[3]。然而,IRCC的水力管理显著区别于传统稻渔模式。传统稻渔模式中,由于生活习性、捕鱼方法和上市时间等因素,养殖对象(鱼、蟹、泥鳅等)通常在水稻田进行短期的单养或套养[4-5],不影响后续旱生作物种植。IRCC则不同,小龙虾分散的繁殖习性限制了苗种的集约化培育,苗种主要来源于自然繁殖[6]。为获取翌年的小龙虾苗种,养殖户多在每年的9—10月水稻收获后,将稻田灌满水,以未捕完的成虾为亲本,繁殖小龙虾苗种。IRCC模式下,稻田基本上变成了浅水的养虾池,全年淹水时间达到320多天。
由于长期淹水、小龙虾饲料大量投入和磷肥施用等,IRCC加剧了稻田次生潜育化,土壤全磷盈余,磷形态改变,磷肥力下降[7-10]。磷是生命活动必需的矿质营养元素,也是水体富营养化的关键控制因子[11-12]。IRCC稻田土壤中全磷的积累高于传统水旱轮作田,实施IRCC年限越长,土壤全磷增量越大[9-10]。土壤磷素盈余,存在流失和污染下游水体的风险[13-15]。同时,为保障小龙虾生长所需,小龙虾饲料富含一定量的钙盐,而小龙虾摄取的大部分钙会以脱壳形式返回土壤,导致土壤钙积累,促进土壤交换性磷、铁结合态磷等向钙结合态磷转化,磷的有效性降低。
随着IRCC持续实施,稻田土壤肥力、pH和氧化还原电位等关键理化性质改变,部分IRCC稻田出现水稻减产现象,且呈逐年加剧的趋势[16]。同时,由于小龙虾国内市场的饱和以及消费习惯的改变,IRCC模式的总体经济效益逐年下降。为降低风险,部分农户开始将IRCC稻田恢复为传统的水旱轮作(Paddy-upland rotation,PR)模式,如水稻-小麦、油菜、蔬菜轮作或休耕。PR模式不仅能有效改善淹水土壤的理化性质,缓解次生潜育化,维持土壤肥力与生产力,还具有更低的磷素投入和用水强度,显著降低农业面源磷流失风险,在当前日益严峻的水体富营养化背景下,展现出突出的环境优势。因此,IRCC恢复为PR不仅是对市场波动的适应策略,也是提升土壤磷资源管理效率、实现农业绿色发展的有效路径之一[17-19]。然而,当前关于长期淹水背景下IRCC稻田恢复PR后土壤磷形态及其有效性变化规律的研究仍较为缺乏,制约了相关管理策略的优化与推广。
基于此,本研究以江汉平原恢复PR的IRCC稻田为研究对象,探讨恢复PR后土壤磷形态和有效性的变化规律,为IRCC稻田转型利用后土壤磷肥力的可持续管理、环境风险控制提供理论依据。
1 材料与方法 1.1 研究区概况和试验设计研究区位于湖北省洪湖市燕窝镇(113°90′E~ 114°00′E,30°03′N~30°09′N),位于长江中游江汉平原的东南部。洪湖市是全国最早发展IRCC模式的区域之一,常年位居全国县市小龙虾产量排名第二位[2]。该地区气候属于亚热带湿润季风气候,年平均降水量为1 060.5~1 331.1 mm,降水主要集中在5—9月。年平均气温约为16.6 ℃,无霜期较长,平均为266.5 d[20]。除IRCC模式外,该地区稻田的主要种植模式有水稻–油菜、水稻–小麦、水稻–棉花轮作等。土壤类型以水稻土为主,同时分布有潮土、黄棕壤和草甸土[21]。
本研究以燕窝镇洲脚村一块大田为研究对象(114°00′4.06′′E,30°05′28.17′′N)。该田块原采用水稻–油菜轮作种植模式,后根据农户需求调整为以下3种不同耕作模式:①稻虾共作恢复水旱轮作模式(IRCC-PR),3块试验田(每块面积0.55 hm2),于2018年3月起实施IRCC,至2020年10月水稻收获后开始种植油菜,恢复为水稻–油菜轮作;②持续稻虾共作模式(IRCC),1块试验田,面积1.05 hm2,自2020年3月起持续实施IRCC;③传统水旱轮作模式(PR),2块试验田(每块面积0.50 hm2),始终维持水稻–油菜轮作模式。该大田土壤类型为粉砂壤质水稻土。作物施肥管理如下:水稻季施氮肥(N)150 kg/hm2、磷肥(P2O5)75 kg/hm2、钾肥(K2O)100 kg/hm2,其中,磷肥、钾肥及50% 的氮肥作为基肥施用,剩余氮肥作为追肥。油菜季施氮肥(N)120 kg/hm2、磷肥(P2O5) 60 kg/hm2、钾肥(K2O)75 kg/hm2,其中,磷肥以及50% 的钾肥和氮肥作为基肥施用,剩余钾肥和氮肥作为追肥。
1.2 样品采集于2022年5月采用五点采样法采集0~50 cm土壤样品。采样时,去除表面可见凋落物,按深度分为5个土层(0~5、5~10、10~20、20~30、30~50 cm)采集土样,同一田块内相同土层的土壤混合为一个样品,共采集30个样品。部分土样于室内风干后,挑出可见的石块、残根等,研磨、过筛(10目和100目),用于后续相关指标分析。其余新鲜土壤样品在–20 ℃下冷冻保存。供试土壤基本理化性质见表 1。
|
|
表 1 土壤基本理化性质 Table 1 Basic physicochemical properties of soils |
土壤有效磷(Olsen-P)采用碳酸氢钠浸提–钼锑抗比色法测定[22];土壤碱性磷酸酶活性(Alkaline phosphatase activity,APA)使用新鲜土壤,采用对硝基苯磷酸二钠比色法测定[22]。
土壤磷形态分级:采用Moir和Tiessen[23]改进的Hedley磷分级方法,按照土壤磷素稳定性由弱到强,依次分为H2O提取磷(H2O-Pi和H2O-Po)、NaHCO3提取磷(NaHCO3-Pi和NaHCO3-Po)、NaOH提取磷(NaOH-Pi和NaOH-Po)、HCl提取磷(HCl-Pi)和残余磷(Residual-P)。提取步骤如下:称取1.0 g过100目筛的风干土样于50 mL离心管中,逐级加入H2O、0.5 mol/L NaHCO3(pH=8.2)、0.1 mol/L NaOH和1 mol/L HCl进行提取;剩余残渣在550 ℃煅烧2 h,用1 mol/L H2SO4提取。每次振荡提取16 h,离心后取上清液测定[23]。其中,HCl-Pi和Residual-P采用钼锑抗比色法直接测定;H2O、NaHCO3和NaOH提取态磷包含有机(Po)和无机(Pi)两种形态,无机磷部分直接采用钼锑抗比色法测定;部分提取液经过K2SO4消解后测定全磷,全磷与无机磷的差值即为有机磷。其中,H2O提取磷和NaHCO3提取磷为活性磷(Labile-P),NaOH提取磷和HCl提取磷为中等活性磷(Moderate-P)。
Olsen-P反映土壤中易被作物吸收利用的磷,是指征土壤磷有效性的最常用指标[24-26];土壤APA活性常用于表征有机磷的矿化水平。本研究用二者指示受试土壤的磷有效性水平。所有指标分析均进行3组平行测定。
1.4 数据处理所有数据运用Excel 2016进行整理,利用SPSS 26.0软件进行方差分析、组间多重比较和Pearson相关性分析,通过Origin 2021完成作图。
2 结果与分析 2.1 稻虾共作恢复水旱轮作后土壤磷形态变化由表 2可知,所有耕作模式土壤中均以HCl-P含量最高(298.9~414.4 mg/kg),其次为Residual-P(136.0~ 248.1 mg/kg),其余形态磷含量均低于40.0 mg/kg。不同形态磷含量排序为HCl-P > Residual-P > NaOH-P > NaHCO3-P > H2O-P。IRCC-PR和PR土壤中,所有形态磷含量均表现为表层高、深层低;IRCC土壤中,仅H2O-Po、NaHCO3-Pi、NaHCO3-Po和NaOH-Pi呈一定程度表层高、深层低,且表层和深层土壤含量差值小于其余两种耕作模式处理土壤。
|
|
表 2 土壤不同形态磷含量(mg/kg) Table 2 Contents of various soil phosphorus fractions (mg/kg) |
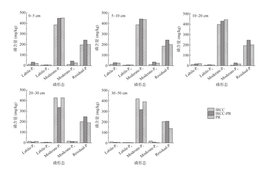
按照土壤磷形态活性进一步分类计算(图 1)。结果显示,所有耕作模式土壤中等活性磷(Moderate-P)含量最高(323.1~492.9 mg/kg),活性磷(Labile-P)含量最低(9.8~42.2 mg/kg)。相较于IRCC,IRCC-PR土壤Moderate-Pi和Moderate-Po含量在0~5、5~10和10~ 20 cm 3个土层升高,在20~30 cm和30~50 cm土层中降低;Residual-P则在所有土层高于IRCC土壤。所有耕作模式土壤中,Moderate-P占比最高(57.2%~ 72.7%),其次为稳定态磷(Residual-P,25.5%~40.0%),Labile-P占比最低(1.8%~5.4%)(表 3);其中,Moderate-P和Labile-P主要由无机磷组成。相较于IRCC,IRCC-PR土壤Moderate-P占比降低,而Residual-P占比升高。
|
图 1 土壤不同活性形态磷含量变化 Fig. 1 Changes in contents of different active forms of phosphorus in soil |
|
|
表 3 不同活性形态磷在全磷中的占比(%) Table 3 Percentages of different active forms of phosphorus in total phosphorus (%) |
由图 2可知,3种耕作模式处理土壤Olsen-P含量随土层深度的变化规律不同。IRCC-PR土壤Olsen-P含量介于2.3~11.8 mg/kg,且随土层深度的增加显著下降;表层0~5 cm土壤的Olsen-P含量为底层30~50 cm土壤的5.1倍。PR土壤Olsen-P含量介于3.3~8.7 mg/kg,随土层深度增加的下降趋势较缓,在20~30 cm土层开始呈现显著下降;表层0~5 cm土壤的Olsen-P含量为底层30~50 cm土壤的2.6倍。IRCC土壤Olsen-P含量介于5.3~7.0 mg/kg,且随土层深度的增加无明显变化趋势;其30~50 cm土层含量最低,20~30 cm土层Olsen-P含量最高,为前者的1.3倍。IRCC土壤Olsen-P在0~5 cm和5~10 cm土层显著低于IRCC-PR和PR土壤,而在20~30 cm和30~50 cm土层则显著高于二者。
|
(图中大写字母不同表示同一土层不同耕作模式处理间差异显著(P < 0.05);小写字母不同表示同一耕作模式处理不同土层间差异显著(P < 0.05);下图同) 图 2 不同耕作模式处理土壤有效磷含量 Fig. 2 Soil available phosphorus contents under different cultivation modes treatments |
与Olsen-P相似,3种耕作模式处理土壤APA活性随土层深度的变化规律不同(图 3)。IRCC-PR和PR土壤的APA活性无明显差异,分别介于183.5~554.6 mg/ (kg·h) 和71.4~517.7 mg/(kg·h),且均随土层深度的增加而下降;其中,前者在10~20 cm土层开始呈现显著下降,后者在20~30 cm土层开始呈现显著下降,0~5 cm土层分别是30~50 cm土层的3.0倍和7.3倍。IRCC土壤APA活性介于71.8~196.9 mg/(kg·h),随土层深度的增加无明显趋势,在0~5、5~10和10~ 20 cm土层显著低于IRCC-PR和PR土壤。
|
图 3 不同耕作模式处理土壤碱性磷酸酶活性 Fig. 3 Soil alkaline phosphatase activity under different cultivation modes treatments |
利用Pearson相关性分析探讨土壤不同形态磷对磷有效性的影响(表 4)。结果表明,土壤Olsen-P与APA、Labile-Pi、Labile-Po、Moderate-Pi和Moderate-Po间均呈显著正相关(P < 0.01),土壤APA与Labile-Pi、Labile-Po、Moderate-Po和Residual-P间呈显著正相关(P < 0.01)。不同活性的磷形态间总体呈显著正相关(P < 0.05),Moderate-Pi与Residual-P间呈显著负相关(P < 0.05)。
|
|
表 4 不同形态磷与土壤有效磷、碱性磷酸酶的Pearson相关性 Table 4 Correlation coefficients among soil available phosphorus, alkaline phosphatase activity, and various soil phosphorus fractions |
在IRCC-PR模式下,长期淹水的IRCC土壤经历了较长时间的旱生作物生长期,土壤水分的显著变化可诱导土壤磷形态的转变[27]。本研究中,各形态磷含量的排序依次为HCl-P > Residual-P > NaOH-P > NaHCO3-P > H2O-P,这一结果与闫金垚等[28]在长江流域水稻–油菜轮作土壤及吴璐璐等[29]在潮土中的研究结果一致。相较于IRCC和PR模式,IRCC-PR土壤的Moderate-P占比下降,而Labile-P和Residual-P占比上升。Moderate-P主要由化学吸附于铁、铝矿物表面的磷及钙矿物结合态磷构成,而Labile-P主要包含弱吸附于土壤表面的可交换无机磷及易矿化可溶性有机磷[23]。植物优先利用土壤中的Labile-P,当活性磷供应不足时,土壤中会发生一系列生物地球化学过程,将Moderate-P转化为有效磷以维持供应[30]。IRCC-PR土壤磷形态的变化增强了短期土壤磷活性,但削弱了土壤长期供磷潜能,可能导致磷肥需求增加,从而提高生产成本并加大环境风险。因此,在IRCC-PR模式下,通过施肥管理来优化磷的有效性尤为重要。例如,可以选择在旱生作物生长季节增加磷肥施用量,而在水稻季减少磷肥施用,以平衡作物对磷的需求,并降低环境风险[31]。
土壤TP和Olsen-P含量在IRCC-PR和PR模式下的相同土层中近似,且均表现为表层高、深层低。在耕作层(0~20 cm),其含量明显高于IRCC,但在底层土壤则明显低于后者。这可能是由于以下两方面原因:①在IRCC-PR和PR模式下,每年种植水稻和油菜两茬作物,作物吸收的磷随植株残体分解富集于表层土壤;②IRCC模式下,田块只在水稻季施用一季化肥,而IRCC-PR和PR模式下需施用两季化肥[32]。由于磷肥多以基肥方式施用,且土壤基质对磷具有强吸附性,施入的磷主要积累于耕作层,提高了土壤TP和Olsen-P含量。相比之下,IRCC土壤的TP和Olsen-P含量随土层深度增加略微升高,可能是由于小龙虾掘洞的生活习性增强了土层间物质交换,促进了磷素的剖面迁移。IRCC-PR和IRCC土壤的TP和Olsen-P呈现不同的剖面分布规律,表明恢复水旱轮作后需采取不同的磷流失风险控制策略。在IRCC-PR模式下,磷肥施用量增加,磷素在表层土壤中富集,应重点关注磷随土壤侵蚀和地表径流的流失风险;而在IRCC模式下,则需关注磷的淋溶流失风险。
土壤APA活性通常用于表征微生物矿化有机磷的能力,而活性磷含量的增加可抑制土壤APA活性[33-34]。本研究发现,IRCC-PR和PR模式下,土壤APA活性随土层深度增加显著下降,并且在0~30 cm土层中的活性明显高于IRCC土壤;而IRCC土壤APA活性随土层深度变化不明显。这一差异可能与长期淹水抑制了微生物活性,进而降低微生物胞外酶活性有关[35-36]。土壤APA活性与Olsen-P呈现相似的分布趋势,可能由以下两方面因素共同导致:①本研究中土壤Olsen-P平均含量为6.1 mg/kg(1.8~12.4 mg/kg),低于都江雪等[37]调查的稻田平均Olsen-P含量(21.79 mg/kg),总体处于缺磷状态;②IRCC-PR土壤的Olsen-P含量相较IRCC虽有所增加,但仍不足以满足水旱轮作引起的微生物生物量增长需求。
土壤Olsen-P和APA活性均可指示土壤磷的有效性,其与某一形态磷的相关性越高,说明该形态磷的有效性越高[38]。本研究发现,Olsen-P与Labile-Pi相关性最佳,相关性系数高达0.97(P < 0.01),表明Labile-Pi是作物最有效的磷源,这一结果与不同类型土壤的已有研究一致[39-41]。此外,Olsen-P与Labile-Po、Moderate-Pi和Moderate-Po相关系数为0.53~0.82,均呈显著正相关(P < 0.01),说明这些磷形态可在有效磷库不足时,通过微生物矿化或生物地球化学过程转化为有效磷。土壤APA活性与Labile-Pi、Labile-Po和Moderate-Po间相关性最佳,相关系数为0.66~0.71(P < 0.01),说明这些磷形态在土壤微生物活动中优先被吸收利用。此外,APA活性与Residual-P也呈显著正相关(相关系数为0.49,P < 0.01),表明在易获取磷源不足的情况下,土壤微生物可通过活化稳定态磷获取有效磷[30]。
4 结论相比于持续稻虾共作土壤,恢复水旱轮作后,土壤活性磷和稳定态磷占比增加,而中等活性磷占比下降,土壤中长期供磷潜力降低,磷肥需求可能上升。土壤有效磷在剖面上的分布表现为表层高、深层低,耕作层含量高于持续稻虾共作土壤,而底层土壤则低于后者。恢复水旱轮作的稻虾共作田,土壤磷随土壤侵蚀和地表径流的流失风险较高,而持续稻虾共作田土壤磷的淋溶流失风险较高,需针对性调整磷流失风险控制策略。未来,需在更大区域范围和更长时间尺度上开展研究,深入解析恢复水旱轮作后土壤磷形态的演变规律、磷肥力的恢复速度和程度,以指导磷肥的科学施用和环境风险管理。
| [1] |
曹凑贵, 江洋, 汪金平, 等. 稻虾共作模式的"双刃性"及可持续发展策略[J]. 中国生态农业学报, 2017, 25(9): 1245-1253 ( 0) |
| [2] |
全国水产技术推广总站, 中国水产学会. 中国小龙虾产业发展报告(2024)[J]. 中国水产, 2024, 584(7): 14-20 ( 0) |
| [3] |
Li K M. Rice-fish culture in China: A review[J]. Aquaculture, 1988, 71(3): 173-186 DOI:10.1016/0044-8486(88)90257-8 ( 0) |
| [4] |
Frei M, Becker K. A greenhouse experiment on growth and yield effects in integrated rice–fish culture[J]. Aquaculture, 2005, 244(1/2/3/4): 119-128 ( 0) |
| [5] |
Li X D, Dong S L, Lei Y Z, et al. The effect of stocking density of Chinese mitten crab Eriocheir sinensis on rice and crab seed yields in rice–crab culture systems[J]. Aquaculture, 2007, 273(4): 487-493 DOI:10.1016/j.aquaculture.2007.10.028 ( 0) |
| [6] |
Gong L J, Shu X Y, Zhang C Y, et al. Status and prospect of crop rotation of Procambarus clarkii and mid-season rice in China[M]//Information Technology and Agricultural Engineering. Berlin, Heidelberg: Springer, 2012: 283–291.
( 0) |
| [7] |
陈世俭, 马毅杰. 四湖地区潜育化土壤的肥力特征与改良利用[J]. 土壤, 2002, 34(2): 73-76 ( 0) |
| [8] |
Yuan P L, Wang J P, Li C F, et al. Long-term rice–crayfish farming aggravates soil gleying and induced changes of soil iron morphology[J]. Soil Use and Management, 2022, 38(1): 757-770 DOI:10.1111/sum.12688 ( 0) |
| [9] |
Hou J, Zhang D Y, Zhu J Q. Nutrient accumulation from excessive nutrient surplus caused by shifting from rice monoculture to rice–crayfish rotation[J]. Environmental Pollution, 2021, 271: 116367 DOI:10.1016/j.envpol.2020.116367 ( 0) |
| [10] |
Li Q M, Xu L, Xu L J, et al. Influence of consecutive integrated rice–crayfish culture on phosphorus fertility of paddy soils[J]. Land Degradation & Development, 2018, 29(10): 3413-3422 ( 0) |
| [11] |
司友斌, 王慎强, 陈怀满. 农田氮、磷的流失与水体富营养化[J]. 土壤, 2000, 32(4): 188-193 ( 0) |
| [12] |
Schindler D W. Evolution of phosphorus limitation in lakes[J]. Science, 1977, 195(4275): 260-262 DOI:10.1126/science.195.4275.260 ( 0) |
| [13] |
Hou J, Wang X L, Xu Q, et al. Rice-crayfish systems are not a Panacea for sustaining cleaner food production[J]. Environmental Science and Pollution Research, 2021, 28(18): 22913-22926 DOI:10.1007/s11356-021-12345-7 ( 0) |
| [14] |
Gray C W, McDowell R W, Carrick S, et al. The effect of irrigation and urine application on phosphorus losses to subsurface flow from a stony soil[J]. Agriculture, Ecosystems & Environment, 2016, 233: 425-431 ( 0) |
| [15] |
Fischer P, Pöthig R, Venohr M. The degree of phosphorus saturation of agricultural soils in Germany: Current and future risk of diffuse P loss and implications for soil P management in Europe[J]. Science of the Total Environment, 2017, 599/600: 1130-1139 DOI:10.1016/j.scitotenv.2017.03.143 ( 0) |
| [16] |
Gu S, Zhou W, Bai J, et al. Insufficient Zn uptake reduces rice grain yield in integrated rice-crayfish culture–a case study in the Jianghan Plain, China[J]. Archives of Agronomy and Soil Science, 2023, 69(6): 861-874 DOI:10.1080/03650340.2022.2042471 ( 0) |
| [17] |
Zhou W, Lv T F, Chen Y, et al. Soil physicochemical and biological properties of paddy-upland rotation: A review[J]. The Scientific World Journal, 2014, 2014(1): 856352 ( 0) |
| [18] |
范明生, 江荣风, 张福锁, 等. 水旱轮作系统作物养分管理策略[J]. 应用生态学报, 2008, 19(2): 424-432 ( 0) |
| [19] |
王子琬, 梁新强. 土壤干湿交替对磷素释放的影响机制[J]. 环境生态学, 2020, 2(5): 54-58 ( 0) |
| [20] |
郭笑笑. 洪湖市乡村聚落空间分布特征及影响因素研究[D]. 荆州: 长江大学, 2023.
( 0) |
| [21] |
郑雄伟, 张响荣, 王瑞杰, 等. 洪湖市土壤酸碱度趋势分析及影响因素[J]. 华东地质, 2023, 44(2): 197-205 ( 0) |
| [22] |
鲍士旦. 土壤农化分析(3版)[M].
中国农业出版社, 北京, 2000
( 0) |
| [23] |
Moir J, Tiessen H. Characterization of available P by sequential extraction[M]//Soil Sampling and Methods of Analysis, Second Edition. Boca Raton: CRC Press, 2007.
( 0) |
| [24] |
Sr O. Estimation of available phosphorus in soils by extraction with sodium bicarbonate[M]. US Department of Agriculture, 1954.
( 0) |
| [25] |
Khan A, Zhang G N, Li T Y, et al. Fertilization and cultivation management promotes soil phosphorus availability by enhancing soil P-cycling enzymes and the phosphatase encoding genes in bulk and rhizosphere soil of a maize crop in sloping cropland[J]. Ecotoxicology and Environmental Safety, 2023, 264: 115441 DOI:10.1016/j.ecoenv.2023.115441 ( 0) |
| [26] |
Wu Q, Zhang S B, Zhao Y, et al. Effects of initial carbon- phosphorus ratio on phosphatase, and phosphorus availability in sludge composting[J]. Bioresource Technology, 2023, 382: 129192 DOI:10.1016/j.biortech.2023.129192 ( 0) |
| [27] |
程传敏, 曹翠玉. 水旱轮作中不同类型土壤无机磷形态转化及其有效性的比较[J]. 南京农业大学学报, 1996, 19(4): 32-36 ( 0) |
| [28] |
闫金垚, 郭丽璇, 王昆昆, 等. 长江流域稻-油轮作区土壤磷库现状及环境风险分析[J]. 土壤学报, 2023, 60(1): 247-257 ( 0) |
| [29] |
吴璐璐, 张水清, 黄绍敏, 等. 长期定位施肥对潮土磷素形态和有效性的影响[J]. 土壤通报, 2021, 52(2): 379-386 ( 0) |
| [30] |
Sharpley A, Jarvie H P, Buda A, et al. Phosphorus legacy: Overcoming the effects of past management practices to mitigate future water quality impairment[J]. Journal of Environmental Quality, 2013, 42(5): 1308-1326 DOI:10.2134/jeq2013.03.0098 ( 0) |
| [31] |
朱文彬, 汪玉, 王慎强, 等. 太湖流域典型稻麦轮作农田稻季不施磷的农学及环境效应探究[J]. 农业环境科学学报, 2016, 35(6): 1129-1135 ( 0) |
| [32] |
宁大伟. 江汉平原油菜—水稻轮作制度下施肥效果及经济效益的研究[D]. 武汉: 华中农业大学, 2010.
( 0) |
| [33] |
Liang X Q, Jin Y, He M M, et al. Composition of phosphorus species and phosphatase activities in a paddy soil treated with manure at varying rates[J]. Agriculture, Ecosystems & Environment, 2017, 237: 173-180 ( 0) |
| [34] |
Chatzistathis T, Monokrousos N, Psoma P, et al. How fully productive olive trees (Olea europaea L., cv. 'Chondrolia Chalkidikis') manage to over-satisfy their P nutritional needs under low Olsen P availability in soils?[J]. Scientia Horticulturae, 2020, 265: 109251 DOI:10.1016/j.scienta.2020.109251 ( 0) |
| [35] |
张静, 可文静, 刘娟, 等. 不同深度土壤控水对稻田土壤微生物区系及细菌群落多样性的影响[J]. 中国生态农业学报(中英文), 2019, 27(2): 277-285 ( 0) |
| [36] |
阚靖博, 李丽娜, 曲东, 等. 淹水培养过程中水稻土细菌丰度与群落结构变化[J]. 生物多样性, 2014, 22(4): 508-515 ( 0) |
| [37] |
都江雪, 柳开楼, 黄晶, 等. 中国稻田土壤有效磷时空演变特征及其对磷平衡的响应[J]. 土壤学报, 2021, 58(2): 476-486 ( 0) |
| [38] |
吕家珑, 张一平, 陶国树, 等. 23年肥料定位试验0~100 cm土壤剖面中各形态磷之间的关系研究[J]. 水土保持学报, 2003, 17(3): 48-50 ( 0) |
| [39] |
穆晓慧, 李世清, 党蕊娟. 黄土高原石灰性土壤不同形态磷组分分布特征[J]. 中国生态农业学报, 2008, 16(6): 1341-1347 ( 0) |
| [40] |
苏贵锐, 荣飞龙, 张薇, 等. 减磷施肥配施生物炭对南方酸性稻作土壤磷素形态的影响[J]. 中国土壤与肥料, 2024(1): 19-27 ( 0) |
| [41] |
Zheng Z M, MacLeod J A, Sanderson J B, et al. Soil phosphorus dynamics after ten annual applications of mineral fertilizers and liquid dairy manure: Fractionation and path analyses[J]. Soil Science, 2004, 169(6): 449-456 DOI:10.1097/01.ss.0000131225.05485.25 ( 0) |
2. School of Environmental Studies, China University of Geosciences, Wuhan 430074, China;
3. Honghu Agricultural Technology Extension Center, Honghu, Hubei 433299, China;
4. Institute of Plant Protection and Soil Fertilizer, Hubei Academy of Agricultural Sciences/National Agricultural Experimental Hongshan Station for Soil Quality, Wuhan 430064, China
2026, Vol. 58



0)