2. 中国科学院南京土壤研究所, 南京 211135;
3. 桂林理工大学岩溶地区水污染控制与用水安全保障协同创新中心, 广西桂林 541004
挥发性氯代烃作为一类重要的有机溶剂和化工原料,被广泛应用于电子元件、金属加工、有机合成、机械制造等多种行业[1-2]。三氯乙烯(Trichloroethylene,TCE)是其中最常见的化合物之一,其化学性质稳定,水中溶解度较大,非极性强。然而,由于在大规模生产应用过程中的不恰当处理,TCE往往通过工业废水的不合理排放、储罐的意外泄漏、废物储存场所渗滤液的渗透等方式进入土壤与地下水,导致地下环境污染,威胁人类健康。由于其吸附性和稳定性,会广泛分布在土壤及地下水环境中,引起了环境工作者的广泛关注,被列入美国国家环保局于1976年公布的129种优先控制污染物清单以及中国环境特征污染物的“黑名单”之中[3]。鉴于TCE污染的广泛性、对人体的危害性,加之在研究治理过程中的复杂性,地下环境中TCE的污染修复在近些年成为国内外政府与民众共同关注的话题,也是广大学者和专家研究和探索的热点。
针对TCE污染的复杂性,相关学者推荐了一系列的修复方法,主要有物理修复法(热脱附、气相抽提技术)[4]、微生物修复法[5]、化学修复法[6]等,其中高级氧化技术的研发与运用近年来受到越来越多的重视。高级氧化技术又称深度氧化技术,以产生具有强氧化能力的自由基(多为羟基自由基·OH)为特点,在高温高压、电、声、光辐照、催化剂等反应条件下,能使大分子难降解有机物氧化成低毒或无毒的小分子物质。常用的氧化剂包括Fenton试剂、臭氧、高锰酸钾、过硫酸盐等,具有化学性质稳定、氧化能力强、氧化还原电位(2.5~3.1 eV)高于羟基自由基(1.7~2.8 eV)[7],且pH适用范围广、寿命相对较长的优点,近年来逐渐成为一种很有应用前景的环境修复氧化剂。
常温下过硫酸盐(PS)自身分解较慢,对有机污染物的降解效果较低,需要通过催化活化方式产生具有强氧化能力的硫酸根自由基(SO4•–)[8],活化方式有热活化、碱活化、微波活化、紫外活化、过渡金属活化等[9]。其中,属于过渡金属的铁基材料活化受到了广泛关注。铁的电极电位为–0.440 V,电子供给能力强,且易得、价廉,是一种具有大规模应用潜力的环境修复材料。近十年,常被研究的铁基材料有零价铁粉、纳米零价铁、螯合亚铁、氧化铁、硫化亚铁和硫化纳米零价铁等。其中,纳米零价铁(nZVI)是指粒径范围在1~100 nm的零价铁颗粒。相比于其他铁材料,nZVI具有更大的比表面积和表面能,表面能够产生更丰富的活性位点,大幅提升零价铁的反应速率,能更有效地活化PS产生自由基降解污染物。但该材料本身还存在一些不足,例如,其磁性强,易发生团聚成块沉淀现象,易与水和氧气发生析氢反应,不仅降低了电子利用效率,且在其表面形成一层钝化层,极大地影响了其活化PS的寿命和能力[10-11]。为了改善nZVI的缺陷,提高nZVI催化活化PS的能力,针对nZVI开展了系列表面改性研究[12]。
自从Hassan[13]发现将硫掺入nZVI的氧化层中可以显著提高有机污染物的降解效率以来,硫化改性技术就成为抑制析氢反应发生、加速nZVI电子转移,进而提高PS催化活化反应速率和降解效率的极具潜力的方法之一。目前实验室常用的硫化纳米零价铁(S-nZVI)制备方法主要包括“一步法”和“两步法”,“一步法”的具体操作是将连二亚硫酸钠与硼氢化钠混匀后,共同作为还原剂,与亚铁一步直接合成S-nZVI;而“两步法”则是将先合成制备好的nZVI再与硫化剂进行反应,从而生成S-nZVI。Xu等[14]对不同硫化剂种类及颗粒特征对S-nZVI选择性与反应活性的影响进行研究,结果发现,“一步法”制备的S-nZVI具备更好的降解能力以及更长的使用寿命。前人的研究也证实了S-nZVI活化PS降解有机污染物的实用性和有效性。然而,目前在相关文献中,针对土壤中TCE的降解效果与机理过程的研究相对较少,因此,深入研究S-nZVI活化PS降解TCE的效果与机制,具有重要的理论意义。
本试验采用“一步法”直接合成S-nZVI,通过设置不同的试验条件,包括Fe/S摩尔比、PS浓度、材料投加量、初始pH等变量,同时对比活化材料种类,深入探究S-nZVI活化PS降解TCE的规律与机制,以期为高级氧化技术降解恶臭污染实际场地提供一定的理论支撑。
1 材料与方法 1.1 试验试剂三氯乙烯(分析纯)和腐殖酸钠均购于上海阿拉丁生化科技股份有限公司;七水合硫酸亚铁、连二亚硫酸钠、过硫酸钠、硫代硫酸钠均为分析纯,购于国药集团化学试剂有限公司;5, 5-二甲基-1-吡咯啉-N-氧化物(DMPO)购于同仁化学;甲醇、无水乙醇、叔丁醇均为分析纯,购于南京化学试剂股份有限公司;对苯醌(分析纯)购于上海麦克林生化科技股份有限公司;硼氢化钠(分析纯)购于上海凌峰化学试剂有限公司。
1.2 土壤采集与处理供试土壤采自南京郊区0~20 cm的表层土壤,采集后将土壤样品放置于室内通风无光处晾干,研磨后过60目筛网,贮存备用。其基本理化性质为:土壤有机质含量11.284 g/kg,pH 7.02,含水率2.75%,黏粒(<0.002 mm)、粉粒(0.002~0.05 mm)、砂粒(0.05~2.0 mm)的体积百分比含量分别为4.71%、65.99%、29.29%。鉴于TCE属于挥发性氯代烃,具有极易挥发的特性,因此污染土壤采用人工即时添加TCE的方式进行制备。具体操作步骤为:称取1 g污染土于20 mL顶空瓶中,加入100 µL预先制备好的TCE储备液,土壤中污染物浓度约为50 µg/g。
1.3 S-nZVI的制备S-nZVI的制备参考前人研究[15],采用“一步法”液相还原制备。具体步骤如下:将一定质量的FeSO4·7H2O加入到含有100 mL厌氧水的三口烧瓶中,并通入氮气1 h以排除溶液中的氧气;然后通过蠕动泵将连二亚硫酸钠和硼氢化钠的混合溶液逐滴加入到三口烧瓶中,整个反应过程持续使用机械搅拌装置搅拌,确保反应充分进行;滴加结束后,继续通氮气反应1 h,以保证反应完全;随后,利用磁铁沉降法分离材料,倒去上清液,再使用无水乙醇和去离子水清洗3次,随后将其放入冰箱过夜冷冻,放置于真空干燥机进行干燥,得到S-nZVI并抽真空保存。在上述操作的基础上,通过改变连二亚硫酸钠的用量分别制备不同Fe/S摩尔比(5、10、20)的材料。另外,基于S-nZVI的制备步骤,在不添加连二亚硫酸钠的情况下,按照类似步骤制备nZVI。
1.4 氧化降解试验批试验在20 mL顶空瓶中进行,首先加入1 g污染土,接着迅速加入一定量S-nZVI和过硫酸钠溶液,控制体系中土水质量比约为1∶5,随即迅速盖好顶空瓶密封,将其放置于水浴摇床上进行反应,振荡频率约为200 r/min,并设置3组平行和3组空白对照试验。在反应过程中于10、20、30、60、120、180、240 min进行破坏性取样,具体操作是使用气密性进样针向顶空瓶中反应体系内注射2 mL饱和硫代硫酸钠溶液以中止反应,随后用顶空–气相(HS-GC)测定TCE剩余含量,利用分光光度法测定反应体系中PS浓度和总铁变化趋势。通过探究PS浓度(30、40、50、60、70 mmol/L)、Fe/S摩尔比(5、10、20)、活化材料投加量(5、10、15 mg/g)、反应体系初始pH(3、5、7、9,通过HCl和NaOH滴定调节)、腐殖酸浓度(50、100、150、200 mg/L)对降解TCE的影响,来判断降解试验的最佳反应条件。
1.5 分析方法采用扫描电子显微镜联合能量色散X射线光谱仪(SEM-EDS,ZEISS Sigma 360,德国)和透射电子显微镜(TEM,JEOL JEM-2100F,日本)观察材料微观形貌和元素分布;采用X射线衍射仪(XRD,Rigaku SmartLab SE,日本)进行物相分析;采用全自动比表面及孔隙度分析仪(BET,Micromeritics ASAP 2460,美国)对材料进行比表面积、孔径等性质测定;采用X射线光电子能谱仪(XPS,Thermo Scientific K-Alpha,美国)进行元素组成和化学态分析。
利用化学探针试验检测反应体系中的主导自由基,分别使用硫代硫酸钠、叔丁醇、对苯醌作为SO4•–、·OH及O2•–的淬灭剂来进行自由基淬灭试验(淬灭剂与氧化剂的摩尔比为10∶1),在反应体系开始前加入相应的自由基淬灭剂,并在1 h后进行破坏性取样,采用HS-GC测定顶空瓶中TCE的剩余浓度。
采用电子顺磁共振波谱(EPR,Bruker E500- 9.5/12,德国)检测体系中产生的自由基种类,以DMPO作为自由基捕获剂,在2 mL的液相进样小瓶中加入一定量的1 mol/L的DMPO溶液,然后再加入一定量的PS溶液和S-nZVI(体系中PS浓度和S-nZVI浓度与批试验保持一致),在超纯水体系下检测SO4•–、·OH,在甲醇体系下检测O2•–。
TCE浓度采用配备有顶空自动采样器(安捷伦7697A,美国)的气相色谱–火焰离子化检测器(GC-FID,安捷伦7890B,美国)测定。顶空进样器条件:加热平衡温度60 ℃;加热平衡时间50 min;定量环温度80 ℃;传输线温度100 ℃;进样体积10 μL。气相色谱条件(HP-5色谱柱:30 m×320 μm×0.25 μm):进样口温度220 ℃;载气为氮气;进样模式为分流进样(进样比20∶1);升温程序为初温40 ℃,保持5 min,以5 ℃/min的速度升至110 ℃,保持1 min,再以6 ℃/min的速度升至200 ℃,保持1 min。
采用气质联用仪(GC-MS)对TCE的降解产物进行测定。仪器配置吹扫捕集仪,色谱柱为DB-624 (60 m×0.25 mm×1.4 μm)。进样口温度设定为220 ℃,载气选用氦气,进样模式为分流进样,进样比为30∶1。升温程序如下:初始温度35 ℃,保持2 min后,以5 ℃/min的速度升至120 ℃,再以10 ℃/min的速度升至220 ℃,并保持1 min。电离模式采用电子轰击(EI),离子源温度为280 ℃,质谱扫描范围设定为35~270 amu。
2 结果与讨论 2.1 硫化纳米零价铁的表征扫描电镜(SEM)观察显示,nZVI呈不规则小球形颗粒链状结构(图 1A、1B),这些颗粒表面较为光滑,可能是由于具有磁相互吸引力而团聚在一起。经过硫化改性后,颗粒尺寸变大,表面粗糙(图 1C、1D)。这可能是因为表面生成了絮片状的FeSx层,材料之间的相互吸引力减弱,减少了团聚性,有效地增大了比表面积和反应活性位点。由S-nZVI的EDS元素分析(图 1E)和元素谱图(图 1F)可知,S-nZVI的主要元素为Fe、S、O,且硫化程度较为均匀,说明S元素成功负载到nZVI的表面。
|
图 1 nZVI(A、B)和S-nZVI(C、D)的SEM图以及S-nZVI的EDS元素分析(E)和元素谱图(F) Fig. 1 SEM images of nZVI (A, B) and S-nZVI (C, D), EDS elemental analysis (E) and elemental spectra (F) of S-nZVI |
如图 2A、2B透射电镜结果所示,nZVI呈链状结构,链上分布一些颗粒状物质,这表明nZVI在制备或存在状态下发生了团聚。而图 2C、2D显示,S-nZVI呈核壳状结构,硫化过程改变了nZVI的形貌,使其从链状转变为块状,且具有一定厚度和片状边缘特征。这通常是由于硫化层的存在,可以保护nZVI,防止其被氧化[16]。
|
图 2 nZVI(A、B)和S-nZVI(C、D)的TEM图 Fig. 2 TEM images of nZVI (A, B) and S-nZVI (C, D) |
nZVI和S-nZVI的XRD谱图(图 3)显示,两种材料都在44.66°处检测到了Fe0的特征峰,这说明Fe2+被成功还原成了Fe0。与nZVI相比,S-nZVI的Fe0峰值信号强度明显增强。可能的原因是:零价铁在空气中易氧化生成氧化铁(如FeO、Fe3O4),其衍射峰可能与金属铁峰重叠或掩盖,削弱Fe0的特征峰强度;而硫化处理后的材料表面形成稳定的硫化物层,可抑制氧化,从而保留更强的特征峰。此外,在S-nZVI的65.4°处检测到了FeS的特征峰[17],这也代表了nZVI成功被硫改性,产生了新的晶相FeS。
|
图 3 nZVI和S-nZVI的XRD谱图 Fig. 3 XRD patterns of nZVI and S-nZVI |
nZVI及S-nZVI的BET比表面积、孔体积及平均孔径测试结果如表 1所示。从表中可以看出,相比nZVI,S的掺杂增大了S-nZVI的比表面积,提供更多的活性位点,并使S-nZVI与PS有更多的接触机会,从而更有效地活化PS产生自由基,提高对污染物的降解效率。同时,孔体积和孔径的增大,使得材料的孔隙结构更为开放,有利于反应物分子的扩散和传输,从而提高反应速率和效率。
|
|
表 1 供试材料的比表面积与孔隙结构 Table 1 Specific surface areas and pore structures of tested materials |
S-nZVI的XPS总图谱如图 4所示,可以初步确定样品中含有C、Fe、O、S这几种元素。图 5A为C1s的能谱图,在284.8 eV处有一个强峰,对应C-C/C-H键,这通常是样品表面的碳氢化合物;在286.6 eV、288.71 eV处的峰分别对应C-O和C=O键,这表明材料表面存在含碳的含氧官能团,可能是由于样品暴露在空气中,表面发生了氧化反应,引入了羟基等含氧官能团。图 5B为Fe2p的能谱图,在706.6 eV处的峰对应Fe0,这说明材料中存在零价铁,这是nZVI的主要成分之一;在710.42 eV和711.96 eV处的峰分别对应Fe(Ⅱ)-O和Fe(Ⅲ)-O,这说明材料表面的一部分铁发生了氧化,形成了亚铁氧化物和铁氧化物;此外,714.58 eV和717.99 eV处的卫星峰的存在进一步证实材料表面发生了氧化。图 5C为O1s的能谱图,其中531.69 eV处的峰对应C=O键,与C1s谱图中C=O键的信息相呼应,进一步证实了材料表面存在含氧官能团;530.23 eV处的峰对应Metal-O键,结合Fe2p谱图中Fe(Ⅱ)-O和Fe(Ⅲ)-O的信息,说明材料表面形成了含铁氧化物;532.89 eV处的峰对应C-O键,同样与C1s谱图中的C-O键信息一致,表明样品表面存在含碳的含氧官能团[18]。图 5D为S2p的能谱图,其中161.4 eV和163.04 eV处的峰对应硫化物(Sulfide)的S2p3,表明材料中存在硫化物,说明成功将S引入到了nZVI中;在168.83 eV处的峰对应硫酸盐(Sulfate)的S2p3,可能是由于样品在制备或测试过程中,表面的部分硫化物被氧化成了硫酸盐形式存在[19]。
|
图 4 S-nZVI的X射线光电子能谱总谱图 Fig. 4 X-ray photoelectron spectra of S-nZVI |
|
图 5 S-nZVI中C1s(A)、Fe2p(B)、O1s(C)、S2p(D)的XPS图 Fig. 5 XPS of C1s (A), Fe2p (B), O1s (C), S2p (D) in S-nZVI |
在S-nZVI/PS体系内,PS浓度对于土壤中TCE的降解效果具有显著影响。如图 6所示,在S-nZVI投加量为10 mg/g时,PS浓度从30 mmol/L升至70 mmol/L时,TCE的降解率先增高再降低。当PS浓度为50 mmol/L时,TCE的降解率达到最大值,可达85% 以上。在PS浓度为30~50 mmol/L,随着PS浓度的增高,体系内会增加更多的SO42–,与S-nZVI反应生成更多的SO4•–,促进TCE的降解。且有研究表明,体系内SO4•–浓度的提高会克服其他有机材料与无机离子的竞争,激发更多的SO4•–与PS反应,提高降解效率[20]。而当PS浓度大于50 mmol/L时,过量的PS导致Fe3+和SO42–的产生,反而会降低SO4•–的生成[15],从而降低了S-nZVI/PS体系的降解能力,造成了TCE降解效率的降低。因此,在后续批试验中选择PS浓度为50 mmol/L。
|
图 6 PS浓度对S-nZVI活化PS降解土壤中TCE的影响 Fig. 6 Effect of PS concentration on degradation of TCE in soil by S-nZVI activated PS |
Fe/S摩尔比代表了材料的硫化程度,是影响材料降解TCE的重要因素之一,本试验探究了不同Fe/S摩尔比(20、10、5)对TCE降解的影响,以筛选出最佳摩尔比的材料进行后续批试验。如图 7所示,当Fe/S为10时,TCE的降解效率(82.99%)显著高于Fe/S为20(69.93%)和Fe/S为5(66.28%)的情况。整体上,随硫化程度的增加,TCE降解效率呈先上升后降低的趋势。当Fe/S从20降低到10时,TCE的降解率也随之提高,这表明S的改性有效增强了nZVI活化PS产生自由基的性能。可能的原因是,随着S掺杂量增加,材料表面形成铁硫化物层,提高材料的稳定性和反应活性,硫化后的nZVI更不容易被氧化,延长其使用寿命,同时硫化层可能促进电子转移,从而更有效地活化PS,显著加快TCE的降解。然而,当含S量进一步增大时,降解效率反而降低,这可能是由于过多的铁硫化物覆盖在nZVI表面,阻挡了表面的活性位点,抑制了Fe0的电子传递。即适量的S投加,形成适当厚度的铁硫化物层,既可以保护零价铁免受外部氧化受损,又能加快体系内的电子转移,进而提高降解效率[21]。综上所示,选用Fe/S为10的S-nZVI材料进行后续批试验。
|
图 7 Fe/S摩尔比对S-nZVI活化PS降解土壤中TCE的影响 Fig. 7 Effect of Fe/S molar ratio on degradation of TCE in soil by S-nZVI activated PS |
活化材料的投加量对TCE的降解效率有着显著影响。如图 8所示,当S-nZVI投加量为5 mg/g时,由于能提供的电子有限,PS受活化产生的活性自由基数量有限,与TCE分子反应的活性自由基不足(这些自由基是降解TCE的关键物质),导致TCE的降解效率较低。当S-nZVI投加量增加至10 mg/g时,TCE的降解率明显提高,这表明随着材料投加量的增加,体系中与TCE反应的活性自由基数量增多。然而,当继续增加S-nZVI投加量时,TCE降解率反而下降。可能的原因:一是过多的S-nZVI颗粒可能会发生团聚,导致其比表面积减小,与PS的有效接触面积降低,活性自由基的产生量减少;二是高浓度的S-nZVI生成大量的Fe2+,会消耗SO4•–生成SO42–;此外,体系在较短时间内提供了大量电子,产生大量自由基(如SO4•–和·OH),自由基之间也可能发生淬灭反应,消耗了原本可用于降解TCE的自由基,从而影响TCE的降解效率。综合以上因素,选择10 mg/g作为S-nZVI的投加量进行后续批试验。
|
图 8 S-nZVI投加量对活化PS降解土壤中TCE的影响 Fig. 8 Effect of S-nZVI dosage on degradation of TCE in soil by activated PS |
反应体系内初始pH对降解TCE的影响如图 9所示。在pH为3和5时,S-nZVI/PS对TCE的降解率分别为80.43% 和78.93%,具有较好的降解效果;随着pH升高至9时,TCE的降解率降低为70.24%。这表明S-nZVI/PS体系在酸性环境下降解TCE的效率高于中性和碱性环境,且在较宽的pH范围内具有较好的降解效果,显示出良好的适应性。酸性条件下,S-nZVI更容易被腐蚀,释放更多的电子和产生更多的Fe2+,有效激活PS产生更多SO4• –[22]。而在中碱性环境中,S-nZVI表面会形成Fe的氢氧化物沉淀,减小了S-nZVI与PS的接触面积,限制了SO4•–的产生,进而抑制了零价铁的电子传递和激活PS的反应。但从TCE的降解效果来看,总体而言,硫化扩展了nZVI活化PS的pH范围,缓减了Fe2+沉淀。
|
图 9 初始pH对S-nZVI活化PS降解土壤中TCE的影响 Fig. 9 Effect of initial pH on degradation of TCE in soil by S-nZVI activated PS |
腐殖酸作为土壤有机质的主要成分,在自然界中广泛存在。为探究有机质对土壤TCE降解的影响,设置了0、50、100、150、200 mg/L腐殖酸浓度,以评估其对体系内降解反应的影响。结果如图 10所示,TCE的降解率与腐殖酸的含量呈负相关,随着土壤中腐殖酸含量的增加,TCE的降解率逐渐下降。具体而言,在对照组未投加腐殖酸时,TCE在4 h内的降解率为83.32%;而当腐殖酸含量达到200 mg/L时,TCE的降解率降至60.57%。这一现象表明,较高浓度腐殖酸显著抑制了S-nZVI/PS体系中TCE的降解。这种抑制作用可能归因于:①腐殖酸作为一种大分子有机物,含有丰富的芳香结构和多种还原性官能团(如羧基与羟基)[23],能够直接与体系中SO4•–以及其他自由基反应,导致自由基被淬灭;②过量的腐殖酸可能在S-nZVI表面吸附,形成有机包裹层,从而屏蔽活性位点,抑制电子转移;③腐殖质与溶解的Fe2+形成稳定的络合物,可能会抑制Fe2+对PS的活化,从而降低了氧化降解过程的整体效果。有研究[24]认为,高浓度腐殖酸主要通过自由基消化和表面钝化抑制PS氧化降解污染物,但土壤中低浓度的腐殖酸可能通过促进Fe2+释放和电子转移而增强S-nZVI活化PS降解污染物。此外,相对分子量小、芳香化程度低的腐殖酸(如富里酸),则可能更容易参与电子传递,从而影响PS的氧化降解效果;而在酸性条件下,腐殖酸与S-nZVI的络合作用更显著,这可能促进Fe2+的释放,从而促进PS氧化降解污染物。这些方面有待进一步的研究。
|
图 10 腐殖酸含量对S-nZVI活化PS降解土壤中TCE的影响 Fig. 10 Effect of humic acid content on degradation of TCE in soil by S-nZVI activated PS |
如图 11所示,对照组采用单独的PS降解TCE,PS本身具有一定氧化性,但在无活化材料的条件下单独的PS氧化能力有限,无法有效降解TCE。相比之下,nZVI/PS体系对TCE的降解率为59.72%,这是因为nZVI可以与PS反应,将PS中的过氧键(-O-O-)破坏,产生SO4•–等活性物质以降解TCE。然而,反应过程中可能出现的团聚和表面钝化等问题[25],影响了nZVI与PS的持续有效反应,导致降解率不高。更重要的是,nZVI极易与水发生反应生成氢气而消耗电子,从而降低了活化PS产生自由基的能力。而S-nZVI/PS体系对TCE的降解率达约85%,归因于S-nZVI中硫化物的引入改善了材料的电子传递性,增加体系内的电子传递能力,促进了PS产生更多活性自由基;硫化同时抑制了nZVI与H2O的析氢反应,提高了电子传递给PS的选择性和利用效率;并且,其表面的硫化层有效抑制了nZVI颗粒的团聚,延缓了表面钝化过程,使材料在较长时间内保持反应活性,持续高效活化PS降解TCE。在最佳反应体系S-nZVI/PS中,在0~30 min内,PS浓度快速降低,同时总Fe浸出率快速上升,两者呈显著负相关关系(图 12)。表明S-nZVI通过电子转移等方式活化PS产生SO4•–,而产生的Fe2+也用于活化PS来降解TCE。30~240 min内,PS浓度逐渐稳定,PS与S-nZVI反应减缓,但总Fe浸出率仍缓慢上升。这可能是因为反应前期S-nZVI表面已被破坏,内部的Fe逐渐暴露,与体系中的H2O发生反应,因此尽管PS浓度不再快速变化,但Fe的浸出过程仍在持续。
|
图 11 硫化对nZVI活化PS降解土壤中TCE的影响 Fig. 11 Effect of vulcanization on degradation of TCE in soil by nZVI activated PS |
|
图 12 反应体系内PS浓度(A)、总Fe浸出率(B)随时间变化 Fig. 12 Changes of PS concentration (A) and total iron leaching rate (B) with time in reaction system |
为确定反应体系中的主导活性自由基,使用硫代硫酸钠、叔丁醇、对苯醌分别作为SO4•–、·OH和O2•–的淬灭剂,进行化学探针试验,确定体系内主导自由基。如图 13所示,硫代硫酸钠的添加导致降解率降低至3.48%,而硫代硫酸钠主要淬灭SO4•–,该结果揭示了体系中对TCE的降解起核心主导作用的自由基是SO4•–。在添加叔丁醇的体系中,TCE的降解率为39.61% 左右,这说明·OH参与了体系中TCE的降解,但并非最主要的活性自由基。而添加对苯醌对TCE降解的抑制作用最小,这表明O2• – 对于TCE降解的贡献作用最小。
|
图 13 自由基淬灭试验 Fig. 13 Free radical quenching experiment |
为明确反应体系中活性自由基种类,开展了电子顺磁共振(EPR)试验,结果见图 14。在纯DMPO体系未检测到响应信号,表明DMPO捕获剂未受杂质污染。在DMPO+PS体系中,检测到了微弱的1∶1∶1∶1的DMPO-·OH信号峰,而未检测到DMPO-SO4•–信号峰。在DMPO/S-nZVI/PS超纯水体系内,很明显地观察到了1∶2∶2∶1的DMPO-·OH信号峰和1∶1∶1∶1∶1∶1的DMPO-SO4•–信号峰,表明S-nZVI活化PS可以产生SO4•–和·OH。值得注意的是,尽管在EPR图谱中DMPO-SO4•–信号弱于DMPO-·OH信号,但不能推断·OH对于体系内TCE降解的贡献高于SO4•–,这是因为DMPO对于SO4•–的捕获效率易受体系内其他物质影响,部分金属离子、有机物会与SO4•–或DMPO发生竞争反应,且SO4•–在体系内会将自身电子传递给H2O从而转化成·OH(式1)。同时,在DMPO/S-nZVI/PS+甲醇体系中未检测到DMPO- O2•–的信号峰。但这并不意味着体系内不存在O2•–,体系内的SO4•–和·OH具有较高的活性,会与O2•–发生反应(式2、3),使其在被EPR检测到之前就已被转化或消耗。综合上述结果并结合自由基淬灭试验可知,SO4•–是体系内降解TCE的主导自由基。
| $\mathrm{SO}_4^{\cdot-}+\mathrm{H}_2 \mathrm{O} \rightarrow \mathrm{SO}_4^{2-}+\cdot \mathrm{OH}+\mathrm{H}^{+} $ | (1) |
| $ \mathrm{SO}_4^{\cdot-}+\mathrm{O}_2^{\cdot-} \rightarrow \mathrm{SO}_4^{2-}+\mathrm{O}_2 $ | (2) |
| $ \cdot \mathrm{OH}+\mathrm{O}_2^{\cdot-} \rightarrow \mathrm{HO}_2^{-}+\mathrm{O}_2 $ | (3) |
|
图 14 S-nZVI/PS体系内纯净DMPO(A)、SO4•–和·OH(B)及O2•–(C)的EPR图谱 Fig. 14 EPR maps of pure DMPO (A), SO4•– and ·OH (B), O2•– (C) in S-nZVI/PS system |
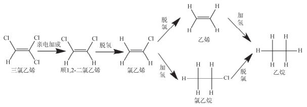
为探究TCE的降解路径,采用吹扫捕集-气质联用仪对降解产物进行鉴定,并结合前人研究进行推导[26],结果如图 15所示。通过标准图谱检索,检测到TCE降解的中间产物为顺1, 2-二氯乙烯、氯乙烯、氯乙烷、乙烷。从GC-MS的测定结果中可以推测,TCE的去除路径可能是SO4•–先攻击三氯乙烯分子中的C=C双键,生成自由基中间体(C2HCl3•–),随后Cl–解离,形成顺1, 2-二氯乙烯,然后SO4•–继续攻击C-Cl键,生成乙烯基自由基(C2H2Cl•–),随后脱去第二个Cl–,形成氯乙烯。氯乙烯的降解分为两条路径,一部分是SO4•–攻击C-Cl键,生成乙烯基自由基(C2H3•–),然后与H·自由基结合完成脱氯生成乙烯,最后通过加氢反应生成乙烷;另一部分是H·自由基攻击双键,取代后成为氯乙烷,在SO4•–的攻击下完成进一步脱氯生成乙烷。
|
图 15 S-nZVI/PS体系降解TCE的路径 Fig. 15 Degradation path of TCE in S-nZVI/PS system |
1) 在PS浓度为50 mmol/L、Fe/S=10、S-nZVI/PS投加量为10 mg/g、pH=3、腐殖酸含量为0的条件下,S-nZVI/PS体系对土壤中TCE有着最佳降解效果。
2) 比较3种催化剂体系对TCE的降解效果,发现PS<nZVI/PS<S-nZVI/PS,表面硫改性提高了nZVI的降解能力。
3) 根据反应过程中PS的浓度变化及总Fe浸出率推断体系反应趋势,并结合化学探针试验和电子顺磁共振试验确定SO4•–为反应体系中的主要活性自由基,并经TCE的降解产物分析,推测TCE最终降解成乙烷。
| [1] |
郎印海, 聂新华, 贾永刚. 零价铁渗透反应格栅原位修复地下水中氯代烃的应用及研究进展[J]. 土壤, 2006, 38(1): 23-28 ( 0) |
| [2] |
Eguchi M, Kitagawa M, Suzuki Y, et al. A field evaluation of in situ biodegradation of trichloroethylene through methane injection[J]. Water Research, 2001, 35(9): 2145-2152 DOI:10.1016/S0043-1354(00)00494-2 ( 0) |
| [3] |
沈德中. 污染环境的生物修复[M].
化学工业出版社, 北京, 2002
( 0) |
| [4] |
杨珍珍, 耿兵, 田云龙, 等. 土壤有机污染物电化学修复技术研究进展[J]. 土壤学报, 2021, 58(5): 1110-1122 ( 0) |
| [5] |
Azizian M F, Marshall I P G, Behrens S, et al. Comparison of lactate, formate, and propionate as hydrogen donors for the reductive dehalogenation of trichloroethene in a continuous-flow column[J]. Journal of Contaminant Hydrology, 2010, 113(1/2/3/4): 77-92 ( 0) |
| [6] |
Mei Q W, Kim K H, Han I. Correlation analysis of pollutant factors influencing the sulfite/UV-L advanced reduction process[J]. KSCE Journal of Civil Engineering, 2018, 22(2): 475-481 DOI:10.1007/s12205-017-1536-3 ( 0) |
| [7] |
彭菲, 王肖磊, 方国东, 等. 过硫酸盐在不同类型土壤中分解产生自由基的过程机制研究[J]. 土壤, 2022, 54(6): 1210-1218 DOI:10.13758/j.cnki.tr.2022.06.015 ( 0) |
| [8] |
Song X N, Xu X H, Wu D L, et al. Unexpectedly enhanced degradation of acetaminophen by sulfoxides probe in Fe(Ⅱ)-activated persulfate oxidation: The mechanism and the selectivity[J]. Separation and Purification Technology, 2024, 344: 127156 DOI:10.1016/j.seppur.2024.127156 ( 0) |
| [9] |
Matzek L W, Carter K E. Activated persulfate for organic chemical degradation: A review[J]. Chemosphere, 2016, 151: 178-188 DOI:10.1016/j.chemosphere.2016.02.055 ( 0) |
| [10] |
Cai J, Zhang Y. Enhanced degradation of bisphenol S by persulfate activated with sulfide-modified nanoscale zero-valent iron[J]. Environmental Science and Pollution Research, 2022, 29(6): 8281-8293 DOI:10.1007/s11356-021-16156-8 ( 0) |
| [11] |
Chen J S, Luo H Y, Luo D Y, et al. New insights into the degradation of nitrobenzene by activated persulfate with sulfidated nanoscale zero-valent iron: Synergistic effects of reduction and reactive oxygen species oxidation[J]. Separation and Purification Technology, 2023, 322: 124252 DOI:10.1016/j.seppur.2023.124252 ( 0) |
| [12] |
李炎璐, 杨兴伦, 卞永荣, 等. 生物质炭负载硫化纳米零价铁活化过硫酸盐降解土壤中典型恶臭苯系物的规律与机制[J]. 土壤学报, 2025, 62(1): 127-140 ( 0) |
| [13] |
Hassan S M. Reduction of halogenated hydrocarbons in aqueous media: I. Involvement of sulfur in iron catalysis[J]. Chemosphere, 2000, 40(12): 1357-1363 DOI:10.1016/S0045-6535(99)00271-4 ( 0) |
| [14] |
Xu J, Wang Y, Weng C, et al. Reactivity, selectivity, and long-term performance of sulfidized nanoscale zerovalent iron with different properties[J]. Environmental Science & Technology, 2019, 53(10): 5936-5945 ( 0) |
| [15] |
Jiang Q, Jiang S M, Li H, et al. A stable biochar supported S-nZVI to activate persulfate for effective dichlorination of atrazine[J]. Chemical Engineering Journal, 2022, 431: 133937 DOI:10.1016/j.cej.2021.133937 ( 0) |
| [16] |
Brumovský M, Filip J, Malina O, et al. Core–shell Fe/FeS nanoparticles with controlled shell thickness for enhanced trichloroethylene removal[J]. ACS Applied Materials & Interfaces, 2020, 12(31): 35424-35434 ( 0) |
| [17] |
Cao Z, Li H, Lowry G V, et al. Unveiling the role of sulfur in rapid defluorination of florfenicol by sulfidized nanoscale zero-valent iron in water under ambient conditions[J]. Environmental Science & Technology, 2021, 55(4): 2628-2638 ( 0) |
| [18] |
Jiang Q, Zhang Y, Jiang S M, et al. Graphene-like carbon sheet-supported nZVI for efficient atrazine oxidation degradation by persulfate activation[J]. Chemical Engineering Journal, 2021, 403: 126309 DOI:10.1016/j.cej.2020.126309 ( 0) |
| [19] |
Wang J L, Wang S Z. Activation of persulfate (PS) and peroxymonosulfate (PMS) and application for the degradation of emerging contaminants[J]. Chemical Engineering Journal, 2018, 334: 1502-1517 DOI:10.1016/j.cej.2017.11.059 ( 0) |
| [20] |
何思莹. 高岭土负载硫化纳米零价铁激活过硫酸盐去除电子垃圾拆解地土壤中的十溴联苯醚[D]. 太原: 太原理工大学, 2019.
( 0) |
| [21] |
Li D, Mao Z, Zhong Y, et al. Reductive transformation of tetrabromobisphenol A by sulfidated nano zerovalent iron[J]. Water Research, 2016, 103: 1-9 ( 0) |
| [22] |
Lai B, Chen Z Y, Zhou Y X, et al. Removal of high concentration p-nitrophenol in aqueous solution by zero valent iron with ultrasonic irradiation (US-ZVI)[J]. Journal of Hazardous Materials, 2013, 250/251: 220-228 DOI:10.1016/j.jhazmat.2013.02.002 ( 0) |
| [23] |
Zhang S N, Hao Z N, Liu J F, et al. Molecular insights into the reactivity of aquatic natural organic matter towards hydroxyl (•OH) and sulfate (SO4•–) radicals using FT-ICR MS[J]. Chemical Engineering Journal, 2021, 425: 130622 DOI:10.1016/j.cej.2021.130622 ( 0) |
| [24] |
Devi P, Saroha A K. Synthesis of the magnetic biochar composites for use as an adsorbent for the removal of pentachlorophenol from the effluent[J]. Bioresource Technology, 2014, 169: 525-531 DOI:10.1016/j.biortech.2014.07.062 ( 0) |
| [25] |
Diao Z H, Xu X R, Chen H, et al. Simultaneous removal of Cr(Ⅵ) and phenol by persulfate activated with bentonite- supported nanoscale zero-valent iron: Reactivity and mechanism[J]. Journal of Hazardous Materials, 2016, 316: 186-193 DOI:10.1016/j.jhazmat.2016.05.041 ( 0) |
| [26] |
徐晓莹. g-C3N4@α-FOD活化过硫酸盐协同低温等离子体对水中三氯乙烯去除性能的研究[D]. 合肥: 合肥学院, 2023.
( 0) |
2. Institute of Soil Science, Chinese Academy of Sciences, Nanjing 211135, China;
3. Collaborative Innovation Center for Water Pollution Control and Water Safety in Karst Area, Guilin University of Technology, Guilin, Guangxi 541004, China
2026, Vol. 58



0)