2. 中国科学院大学,北京 100049
20世纪60年代,为了应对粮食安全问题,全球范围内发起了一场名为“绿色革命”的农业生产活动。通过高产作物品种的培育,以及肥料与农药的大量使用,作物产量得到明显的提高,为解决世界饥饿问题做出巨大贡献。然而,这场农业科技革命主要以优良的产量指标为导向[1-2],一定程度上忽视了作物的营养品质。近年来,相关学者发现,谷物中的蛋白质、矿物质及维生素等营养物质的含量下降[3]。自“绿色革命”以来,为了解决温饱以及获得更高的经济效益,许多贫困地区扩大种植高产作物品种,缩减其余农牧业的投入,导致人口的饮食多样性降低[4-5],粮食作物成为该地区人口的主要营养元素来源,因此作物营养品质下降关乎全球大约6亿贫困人群的健康安全[6]。
许多研究指出,随着大气CO2浓度升高,虽然植物的生物量增加[7],但养分元素的含量出现下降,其中包括N[8-10]、P[10]和若干微量元素[11]。对于粮食作物,CO2浓度的升高使得谷物中以N元素为主要成分的蛋白质含量出现显著下降[12-15]。Jablonski等[16]发现,CO2浓度升高导致小麦和大麦籽粒N含量显著降低。Loladze[11]利用整合分析发现,当小麦生长在高CO2浓度条件下,有8个营养元素的含量出现降低,其中包括N元素。Myers等[17]报道了在高大气CO2浓度下,水稻、小麦和大豆籽粒的Zn、Fe含量均有不同程度的下降。
1960年至今(2018年),大气CO2浓度由310 μmol/mol增至403 μmol/mol,增幅高达30%。基于目前对大气CO2浓度升高(400 ~ 550 μmol/mol)的研究,“绿色革命”以来,大气CO2浓度升高是否对作物营养品质已具有一定负面影响?对于该问题目前仍缺乏相关研究。由于C3植物对大气CO2浓度升高的响应更为敏感,因此本研究选取主要C3作物(水稻、小麦和大豆)20世纪60年代初的推广品种(旧品种)和目前常用品种(新品种),针对籽粒中的C、N、Fe、Zn元素含量,对“绿色革命”以来大气CO2浓度升高对作物营养品质的影响进行研究,为应对人口营养缺乏以及运筹适应气候变化的相关决策提供现实依据。
1 材料与方法 1.1 植物生长箱概况与参数设置本试验采用PGC-105HID植物生长箱装置,该装置由电镀锌板搭建,内部空间为3.2 m3,地板铺设穿孔铝质通道,面积为1.5 m2。空气通过管道铝孔穿过整个工作区域后由侧面风扇排出。在空气进口处可安装CO2气瓶,出口处安装CO2吸附剂,通过气体循环控制箱体内部CO2浓度。箱体顶部安装有400 W卤素灯和400 W高压钠灯各5个(图 1),为植物生长提供平衡光谱的光照。箱体内部通过水循环管道、超声波加湿装置和隔热层调节箱体内部温度、湿度,并与环境隔离。生长箱的光照、温度、湿度及CO2浓度等条件通过内部电脑程序控制,程序参数可根据试验需要自行设置。控制准确度为:温度±0.5℃,湿度±1%,CO2浓度的控制误差在10%以内,可保证试验结果真实可靠。
|
图 1 生长箱光照分布示意图 Fig. 1 Light distribution in plant grown chambers |
本试验中,生长箱光照于6:00开启,模拟日间气候条件,于20:00关闭,模拟夜间气候条件。灯光开启情况如图 1所示,可使箱体内部光照达1 800 µmol/ (m·s)。湿度设置为70%,CO2浓度作为处理因素,两个生长箱设置为不同的浓度,分别为310 μmol/mol与400 μmol/mol(日间)。由于作物夜间不进行光合作用,因此将生长箱夜间CO2浓度分别设置为450 μmol/mol与550 μmol/mol,以避免作物呼吸作用使密闭箱体内CO2浓度过高影响生长。温度参考不同作物的生长期昼夜温度进行设定:在水稻的整个生育期昼夜温度分别为29℃和21℃;小麦扬花前昼夜温度分别设置为20℃和10℃,扬花后昼夜温度分别设置为25℃和20℃;大豆开花期昼夜温度设置为25℃和20℃,开花后设置为30℃和25℃。
1.2 供试材料与生长条件采用盆栽试验方法,试验用土为稻麦轮作农田耕层土,土壤类型为沙姜黑土,质地为砂壤,其中含砂粒(2 ~ 0.02 mm)约580 g/kg、粉粒(0.02 ~ 0.002 mm)约280 g/kg、黏粒(< 0.002 mm)约140 g/kg,土壤容重1.16 g/cm3,有机碳18.4 g/kg,全氮1.45 g/kg,全磷0.63 g/kg,全钾14.0 g/kg,有效磷10.1 mg/kg,速效钾70.5 mg/kg,阳离子交换量12.8 cmol/kg,pH (H2O)6.8[18]。土壤经风干、挑去碎石和植物细根、碾磨、过2目筛网,每盆装土6.5 kg。
本研究分别进行水稻、小麦和大豆的盆栽试验,每个供试品种均设置两个CO2浓度处理,每个处理设置3个重复(水稻试验中设置了4个重复)。
水稻试验中,供试品种为20世纪60年代推广品种:广场矮,及目前常用品种:扬稻6号和两优084。水稻种子于2016年7月22日浸种,7月26日在正常环境下水培育苗,8月13日移栽,移栽密度为每盆2穴,每穴2株,移栽当天放入生长箱。施肥水平为旧品种参考20世纪60年代该作物的施肥水平,新品种与目前该作物施肥水平一致,施肥量见表 1。施肥方式为:P肥和K肥作为基肥,一次性施加;N肥按基肥40%、分蘖肥30%、穗肥30%,分别于8月13日、8月23日、9月28日施加。
|
|
表 1 作物在不同时期的施肥水平 Table 1 Fertilizer levels of crops at different periods |
小麦试验中,供试品种为20世纪60年代推广品种:阿夫和徐州14,及目前常用品种:周麦22和中麦895。小麦种子于2016年12月21日播种,每盆点播15粒种子。播种后放于室外培养,待返青后于2017年3月6日移入生长箱。施肥水平参照不同品种推广时期的施肥水平,见表 1。施肥方式为:P肥和K肥作为基肥,一次性施加;N肥按基肥40%、腊肥30%、返青肥30%,分别于2016年12月21日、2017年1月21日及3月6日施加。小麦成熟前保持土壤湿润不淹水。
大豆试验中,供试品种为20世纪60年代推广品种:合交6号和合丰22号,及目前常用品种:皖豆15和东农292。大豆种子于2016年6月1日播种,每盆播种2粒,间隔约10 ~ 15 cm,在室外环境下发芽并于6月7日移入生长箱。施肥水平参照不同品种推广时期的施肥水平,见表 1。所有肥料均做基肥一次性施加,其中2/3深施,1/3施于种子下方,以避免烧苗。大豆成熟前保持土壤湿润无淹水。
1.3 样本采集与分析作物成熟后,将籽粒脱壳,于烘箱中85℃烘干至恒重,经球磨仪粉碎后进行C、N、Zn、Fe含量的测定。籽粒C、N含量采用元素分析仪(PE2400 series II CHNS/O, USA)测定,籽粒Zn、Fe含量采用HNO3-HClO4消化,HPLC-ICP-MS测定。
1.4 数据处理原始数据记录与处理和图表制作由Microsoft Excel 2016软件和R3.5.0软件完成,数据的统计分析采用SPSS软件(SPSS 20.0, SPSS Inc., Chicago, IL, US),采用单因素方差分析法分析CO2处理的作用,使用LSD法进行多重比较。
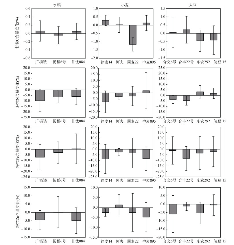
2 结果与分析C、N作为人体所需的大量营养元素,是能量的主要形式和新陈代谢的重要物质基础。由图 2所示,CO2浓度由310 μmol/mol升高至400 μmol/mol对不同作物可食用部分的C含量度几乎没有影响,水稻和大豆籽粒的C含量变化幅度分别在±0.1%和± 0.5%内;小麦品种周麦22号在400 μmol/mol大气CO2浓度下籽粒C含量下降了1.2%,其余小麦品种的籽粒C含量均增加,增幅不足0.5%。CO2浓度升高使水稻籽粒N含量平均下降了7.4%;除中麦895的籽粒N含量略有升高外,其余小麦籽粒N含量均下降了约5%;对大豆而言,合交6号、合丰22号(均为历史品种)的籽粒N含量下降,东农292、皖豆15(目前常用品种)的籽粒N含量上升,变化范围为±5%。CO2浓度升高对作物籽粒N含量的影响均未达到显著水平。
|
(柱状图表示不同作物新、旧品种在经过不同时期CO2浓度(310 μmol/mol和400 μmol/mol)处理后籽粒营养元素相对变化的平均值,误差线表示相对标准误差) 图 2 “绿色革命”以来大气CO2浓度升高对不同作物品种籽粒C、N、Fe、Zn元素含量的影响 Fig. 2 Effect of elevated CO2 on C, N, Fe and Zn concentrations in different crop seeds since green revolution |
由图 2还可知,大气CO2浓度升高使水稻、小麦和大豆籽粒的Fe含量分别平均下降了3.3%、5.8%和3.8%,差异均未达显著水平。作物籽粒的Zn含量变化与Fe含量变化相似,水稻、小麦和大豆籽粒的Zn含量分别下降了3.1%,2.0%和3.3%,差异均未达显著水平。
3 讨论通过大气CO2浓度升高(400 ~ 550 μmol/mol)对作物影响的研究,发现农作物中蛋白质含量普遍降低[11, 14, 19],稻米的蛋白质含量降幅达20%[16];小麦的蛋白质含量平均降低9.1% ~ 10.8%,并影响到面食的加工品质[13, 20]。CO2浓度升高对大豆籽粒蛋白质含量的影响相对较小,但仍保持负面效应[16, 21]。Zhu等[22]通过对不同水稻品种的观察,发现大气CO2浓度升高会显著降低稻米Fe和Zn的含量。同样的结果在小麦和大豆中也被观测到[17, 23-24]。最新的研究结果表明,预计2050年大气CO2浓度升高会造成全球1.22亿人口缺乏蛋白质,1.75亿人口缺Zn,并且膳食Fe含量减少会使14亿育龄妇女及5岁以下幼童处于贫血患病率超过20%的健康危机中[25]。
工业革命以来,由于人类活动大气CO2浓度开始攀升,CO2浓度升高所带来的作物营养品质下降实际已经发生。本试验结果显示,“绿色革命”以来大气CO2浓度升高(310 ~ 400 μmol/mol)使水稻、小麦和大豆籽粒的N、Fe、Zn含量下降,虽然下降幅度未达到显著水平,但该趋势在不同的作物品种中存在普遍性,甚至部分品种的Zn、Fe含量降幅超过5%。有研究认为虽然“绿色革命”促进了粮食作物产量的大幅增长,但营养品质却出现下降,严重影响了贫困地区的膳食安全[5]。本试验发现,不同作物20世纪60年代推广品种在400 μmol/mol CO2浓度下生长,其籽粒的N、Fe、Zn含量出现不同程度的下降(仅阿夫小麦的Zn含量上升),说明品种改良技术并非造成“绿色革命”以来作物营养品质下降的唯一原因,大气CO2浓度升高的影响不容忽视。另外,通过对比CO2浓度升高对新旧品种营养品质的影响,可以发现,3种作物籽粒的Zn、Fe含量变化及水稻小麦籽粒的N含量变化在新旧品种间并未呈现出明显规律,仅新旧品种大豆的籽粒N含量变化分别出现上升和下降的趋势,但该趋势仍需要更多的品种进一步验证。本试验中,育种技术对CO2浓度升高造成的作物籽粒养分品质下降并无明显缓解的作用,但该结论还需通过CO2浓度与品种的双因素试验以进一步验证。
CO2浓度升高使作物籽粒营养品质下降的机制目前尚未完全明确,因为CO2升高会影响作物元素吸收和代谢的多个过程[26-28]。一种常被认可的假设是增加非结构性碳水化合物浓度的稀释作用[10],为了验证该假设,Myers等[17]测量了不同作物的营养元素含量,发现每一种作物的元素变化彼此不同,该现象说明作物养分品质的下降并非仅仅由于CO2稀释作用。Fangmeier等[29]认为,在CO2浓度升高的情况下,谷物中的蛋白质含量降低可能是光合组织中常见的蛋白质含量降低的结果,因为在灌浆过程中N的供应主要来自于衰老光合组织中分解代谢蛋白的转移[29-30]。但该假设并不能解释Zn、Fe含量的下降。由于植物根部吸收离子后,有一部分存留在根内,大部分运输到植物体其他部分,包括籽粒,而离子的木质部运输主要随蒸腾流上升或顺着浓度差扩散。因此有学者提出,CO2浓度升高会导致植物叶片的气孔关闭,从而减弱蒸腾作用,降低蒸腾拉力,离子的吸收和运输受到影响[31-32]。绿色革命至今,大气CO2浓度由310 μmol/mol上升至400 μmol/mol,相比于未来大气CO2浓度(550 ~ 600 μmol/mol),该浓度对蒸腾作用的影响可能还未达到引起作物籽粒养分品质显著下降的阈值,但该假设还需通过对光合功能叶的气孔导度、蒸腾作用等相关参数进行测定,以待进一步验证。
4 结论“绿色革命”以来大气CO2浓度升高(310 ~ 400 μmol/mol)对3种C3作物水稻、大豆、小麦的籽粒C元素含量几乎没有影响,籽粒N、Fe、Zn元素含量呈现不同程度的下降趋势,但均未达到显著水平;该下降趋势在20世纪60年代推广品种及目前常用品种中普遍存在,且无明显规律。结果表明:“绿色革命”以来大气CO2浓度升高对作物营养品质下降的影响不容忽视。
致谢: 感谢汪玉副研究员对试验给予的指导,感谢张继双、陶冶、王东明、蔡颖在试验中的帮助。
| [1] |
成臣, 汪建军, 程慧煌, 等. 秸秆还田与耕作方式对双季稻产量及土壤肥力质量的影响[J]. 土壤学报, 2018, 55(1): 247-257 ( 0) |
| [2] |
张雅蓉, 李渝, 刘彦伶, 等. 长期施肥对黄壤有机碳平衡及玉米产量的影响[J]. 土壤学报, 2016, 53(5): 1275-1285 ( 0) |
| [3] |
刘鹏, 朱大洲, 梁克红, 等. 农产品中微量营养素含量下降原因综合分析与应对策略[J]. 中国食物与营养, 2016, 22(12): 35-38 DOI:10.3969/j.issn.1006-9577.2016.12.009 ( 0) |
| [4] |
Singh R B, Hales S, de Wet N, et al. The influence of climate variation and change on diarrheal disease in the Pacific Islands[J]. Environmental Health Perspectives, 2001, 109(2): 155-159 DOI:10.1289/ehp.01109155 ( 0) |
| [5] |
Pingali P. Green Revolution: Impacts, limits, and the path ahead[J]. Proceedings of the National Academy of Sciences of the United States of America, 2012, 109(31): 12302-12308 DOI:10.1073/pnas.0912953109 ( 0) |
| [6] |
Seck P A, Diagne A, Mohanty S, et al. Crops that feed the world 7: Rice[J]. Food Security, 2012, 4(1): 7-24 DOI:10.1007/s12571-012-0168-1 ( 0) |
| [7] |
王东升, 陈莉莉, 黄忠阳, 等. 产CO2气肥残余物对番茄产量和品质的影响[J]. 土壤, 2017, 49(5): 893-896 ( 0) |
| [8] |
宝俐, 董金龙, 李汛, 等. CO2浓度升高和氮素供应对黄瓜叶片光合色素的影响[J]. 土壤, 2016, 48(4): 653-660 ( 0) |
| [9] |
Francesca Cotrufo M, Ineson P, Scott A. Elevated CO2 reduces the nitrogen concentration of plant tissues[J]. Global Change Biology, 1998, 4(1): 43-54 ( 0) |
| [10] |
Gifford R M, Barrett D J, Lutze J L. The effects of elevated[CO2] on the C︰N and C︰P mass ratios of plant tissues[J]. Plant and Soil, 2000, 224(1): 1-14 DOI:10.1023/A:1004790612630 ( 0) |
| [11] |
Loladze I. Rising atmospheric CO2 and human nutrition: toward globally imbalanced plant stoichiometry?[J]. Trends in Ecology and Evolution, 2002, 17(10): 457-461 ( 0) |
| [12] |
Seneweera S. Effects of elevated CO2 on plant growth and nutrient partitioning of rice (Oryza sativa L.) at rapid tillering and physiological maturity[J]. Journal of Plant Interactions, 2011, 6(1): 35-42 ( 0) |
| [13] |
Taub D R, Miller B, Allen H. Effects of elevated CO2 on the protein concentration of food crops: a meta‐analysis[J]. Global Change Biology, 2008, 14(3): 565-575 ( 0) |
| [14] |
Terao T, Miura S, Yanagihara T, et al. Influence of free‐air CO2 enrichment (FACE) on the eating quality of rice[J]. Journal of the Science of Food and Agriculture, 2005, 85(11): 1861-1868 DOI:10.1002/jsfa.2165 ( 0) |
| [15] |
Yong Z H, Chen G Y, Zhang D Y, et al. Is photosynthetic acclimation to free-air CO2 enrichment (FACE) related to a strong competition for the assimilatory power between carbon assimilation and nitrogen assimilation in rice leaf?[J]. Photosynthetica, 2007, 45(1): 85-91 ( 0) |
| [16] |
Jablonski L M, Wang X Z, Curtis P S. Plant reproduction under elevated CO2 conditions: A meta‐analysis of reports on 79 crop and wild species[J]. New Phytologist, 2002, 156(1): 9-26 DOI:10.1046/j.1469-8137.2002.00494.x ( 0) |
| [17] |
Myers S S, Zanobetti A, Kloog I, et al. Increasing CO2 threatens human nutrition[J]. Nature, 2014, 510(7503): 139-142 DOI:10.1038/nature13179 ( 0) |
| [18] |
Xie B H, Zhou Z X, Mei B L, et al. Influences of free-air CO2 enrichment (FACE), nitrogen fertilizer and crop residue incorporation on CH4 emissions from irrigated rice fields[J]. Nutrient Cycling in Agroecosystems, 2012, 93(3): 373-385 DOI:10.1007/s10705-012-9523-z ( 0) |
| [19] |
Högy P, Fangmeier A. Effects of elevated atmospheric CO2 on grain quality of wheat[J]. Journal of Cereal Science, 2008, 48(3): 580-591 DOI:10.1016/j.jcs.2008.01.006 ( 0) |
| [20] |
Weigel H, Manderscheid R. CO2 enrichment effects on forage and grain nitrogen content of pasture and cereal plants[J]. Journal of Crop Improvement, 2005, 13: 73-89 DOI:10.1300/J411v13n01_05 ( 0) |
| [21] |
Zhang G Y, Sakai H, Tokida T, et al. The effects of free-air CO2 enrichment (FACE) on carbon and nitrogen accumulation in grains of rice (Oryza sativa L.)[J]. Journal of Experimental Botany, 2013, 64(11): 3179-3188 DOI:10.1093/jxb/ert154 ( 0) |
| [22] |
Zhu C W, Kobayashi K, Loladze I, et al. Carbon dioxide (CO2) levels this century will alter the protein, micronutrients, and vitamin content of rice grains with potential health consequences for the poorest rice-dependent countries[J]. Science Advances, 2018, 4(5): eaaq1012 ( 0) |
| [23] |
Myers S S, Wessells K R, Kloog I, et al. Effect of increased concentrations of atmospheric carbon dioxide on the global threat of zinc deficiency: A modelling study[J]. The Lancet. Global Health, 2015, 3(10): e639-e645 ( 0) |
| [24] |
Smith M R, Myers S S. Impact of anthropogenic CO2 emissions on global human nutrition[J]. Nature Climate Change, 2018, 8(9): 834-839 DOI:10.1038/s41558-018-0253-3 ( 0) |
| [25] |
Bloom A J, Smart D R, Nguyen D T, et al. Nitrogen assimilation and growth of wheat under elevated carbon dioxide[J]. Proceedings of the National Academy of Sciences of the United States of America, 2002, 99(3): 1730-1735 DOI:10.1073/pnas.022627299 ( 0) |
| [26] |
BassiriRad H, Gutschick V P, Lussenhop J. Root system adjustments: regulation of plant nutrient uptake and growth responses to elevated CO2[J]. Oecologia, 2001, 126(3): 305-320 DOI:10.1007/s004420000524 ( 0) |
| [27] |
Lynch J P, St Clair S B. Mineral stress: The missing link in understanding how global climate change will affect plants in real world soils[J]. Field Crops Research, 2004, 90(1): 101-115 DOI:10.1016/j.fcr.2004.07.008 ( 0) |
| [28] |
McDonald E P, Erickson J E, Kruger E L. Research note: Can decreased transpiration limit plant nitrogen acquisition in elevated CO2?[J]. Functional Plant Biology, 2002, 29(9): 1115 DOI:10.1071/FP02007 ( 0) |
| [29] |
Fangmeier A, Chrost B, Hogy P, et al. CO2 enrichment enhances flag leaf senescence in barley due to greater grain nitrogen sink capacity[J]. Environmental and Experimental Botany, 2000, 44(2): 151-164 DOI:10.1016/S0098-8472(00)00067-8 ( 0) |
| [30] |
Salon C, Munierjolain N, Duc G, et al. Grain legume seed filling in relation to nitrogen acquisition: a review and prospects with particular reference to pea[J]. Agronomie, 2001, 21: 539-552 DOI:10.1051/agro:2001143 ( 0) |
| [31] |
Miglietta F, Peressotti A, Viola R, et al. Stomatal numbers, leaf and canopy conductance and the control of transpiration[J]. Proceedings of the National Academy of Sciences of the United States of America, 2011, 108(28): 201105831 ( 0) |
| [32] |
de Boer H J, Lammertsma E, Wagnercremer F, et al. Climate forcing due to optimization of maximal leaf conductance in subtropical vegetation under rising CO2[J]. Proceedings of the National Academy of Sciences of the United States of America, 2011, 108(10): 4041-4046 DOI:10.1073/pnas.1100555108 ( 0) |
2. University of Chinese Academy of Sciences, Beijing 100049, China
2020, Vol. 52



0)