2. 西北大学陕西省地表系统与环境承载力重点实验室, 西安 710127;
3. 西北大学城市与环境学院, 西安 710127;
4. 咸阳市农业科学研究院, 陕西咸阳 712000;
5. 咸阳市土壤肥料工作站, 陕西咸阳 712000;
6. 旬邑县土壤肥料工作站, 陕西旬邑 711300
土壤是成土因素长期综合作用下逐渐形成的不均一的、具有一定肥力的时空连续体。土壤养分是土壤特性的综合反映,也是衡量土壤肥力的重要指标[1]。土壤养分评价是土壤肥力评价的重要组成部分,是实现土地资源可持续利用的重要手段。同时,土壤养分含量及空间分布受多项自然成土因素和人类生产活动的影响[2]。因此,研究土壤养分综合评价及影响因素对于精准施肥、养分精细管理、土壤资源生态利用和陆地农业生态系统的维护均具有重要意义。
关于土壤养分综合评价,众多学者做了大量研究,其差异性主要表现在评价指标选取、权重获取和综合计算3个方面对于区域土壤养分综合评价的适应性。评价指标的选取主要遵循全面性、主导性和可获取性等原则,以最小数据集进行养分评价研究[3];关于综合评价中权重获取的方法,传统获取方法主要以经验值打分为主,其结果具有主观随意性,从而学者们引进了熵权法、主成分分析和偏相关分析等客观确定权重的方法[4-6];从综合计算方法来看,前期主要采用了主成分分析、综合指数、灰色关联度和地统计分析等方法,近年来,不少学者引进了神经网络模型、TOPSIS、物元分析、云模型和模糊识别模型等方法[4, 6-11],对土壤养分进行综合评价研究。综上所述,在指标权重获取和综合计算方法方面均向客观、定量化发展,逐步提高土壤养分综合评价的客观性、精准性。由于土壤养分具有模糊性和随机性,大部分学者采用一些方法计算参评指标权重和综合值,建立了土壤养分与评价值之间的线性关系,但忽略了土壤养分的一些有用信息,影响了评价结果的精确性。投影寻踪综合评价基于实验数据构造投影目标函数,利用遗传算法寻找最优方向,建立土壤养分样本值与投影值之间一一对应的非线性关系,能够更好反映土壤养分的非均一性及其数据的结构特征,并根据土壤养分分级标准计算对应的经验投影值,从而构建投影寻踪综合评价体系,保证了评价结果的客观性和科学性。同时,苹果种植区土壤养分受多项因子的影响,且每项因子的影响度不一致。前人研究表明,地形因子和土壤类型是影响土壤养分的主要因素[12-13]。为了进一步探究影响因子对土壤养分的影响度,本研究引入随机森林的importance()函数,分析气候、降水、土壤类型和地形因子对土壤养分影响的重要性程度。
以陕西省旬邑县苹果种植区为研究区,选取有机质、碱解氮、速效钾和有效磷为评价指标,将投影寻踪综合评价法引入到土壤养分综合评价中,并计算土壤养分分级标准值的投影值,构建土壤养分综合评价体系,综合评价研究区土壤养分等级水平,绘制土壤养分等级分布图,分析其空间分布特征,并利用随机森林的importance()函数分析影响因子对各项土壤养分的重要性程度。研究结果为土壤养分丰缺状况的综合评估、农作物的精准施肥提供技术支撑和理论依据。
1 材料与方法 1.1 研究区概况旬邑县地处陕西省中部,位于咸阳市东北部,属于关中平原和陕北高原的过渡地带,地处108°08′ ~ 108°52′E,34°57′ ~ 35°33′N,辖区面积1 181 km,下辖11个镇3社区;该县属于暖温带半干旱大陆性气候,年日照时数2 346.9 h,年均气温9.1℃且气温日、年较差均较大,年平均降水量612.9 mm,降水季节变率大,时空分布不均;县内海拔768 ~ 1 835 m,地势为东北高西南低,地貌单元主要包括黄土高原沟壑区和土石山地;全县的地带性土壤为褐土,主要土壤类型包括褐土、黄土、黑垆土和淤土等;植被类型以温带落叶阔叶林为主,包括油松林、辽东栎林、山杨林、白桦林和虎榛子灌丛等,人工植被以苹果树为主。
1.2 数据制备 1.2.1 土壤养分数据制备根据农业部测土配方施肥技术规范和要求,选取旬邑县典型苹果生产园,综合考虑果园的面积、形状、地貌和果树的生长年限,基于全面、均衡和客观的原则,科学确定果园采样单元,在手持GPS情况下,基于“S”形的样点空间分布钻取土样,果园采样深度为0 ~ 40 cm,并记录土壤采样点的地理位置(经度、纬度和高程),每个采样地均匀随机采样15个点,均匀混合后采取“四分法”取1 kg土壤样品,带入实验室经过风干、研磨和过筛,2014年秋季采集有效土壤样品376份,其采样点空间分布如图 1所示。采用油浴加热–重铬酸钾容量法测定土壤有机质含量,采用碱解扩散法测定碱解氮含量,速效钾采用乙酸铵浸提–火焰光度法测定,采用碳酸氢钠浸提–钼锑抗比色法测定有效磷含量[13]。
|
图 1 研究区采样点分布 Fig. 1 Distribution of sampling sites in studied area |
区域土壤养分含量受土壤类型、地形、气候、植被覆盖和土地利用等自然因子和人类活动因子的综合影响[14-16]。参考已有研究成果,根据研究区实际情况,选取土壤类型(soil type,ST)、年均降水(rainfall,Rain)、年均气温(temperature,Temp)、高程(elevation,ELE)、坡度(slope,SLO)、坡向(aspect,ASP)、水平曲率(horizontal curvature,HORIZC)、剖面曲率(profile curvature,PROFC)、地形起伏度(relief,REL)和地形湿度指数(topographic wetness index,TWI)作为影响因子。行政区划矢量图、土壤类型图来源于旬邑县土壤肥料站;年均降水量和年均气温数据来源于世界气象数据库(http://www.worldclim.org/),下载1970—2000年月平均降水和平均气温数据,并计算30 a平均降水量和平均气温;分辨率30 m的DEM数据来源于中国科学院地理空间数据云,利用ArcGIS10.2的地形因子工具提取坡度、坡向、水平曲率和剖面曲率,并利用地图代数计算地形起伏度和地形湿度指数[17]。
1.2.3 数据处理与分析采用平均值±3倍标准差方法剔除土壤养分数据的异常值,利用SPSS软件进行土壤养分一般性统计特征描述,基于DPS9.50软件对土壤养分进行投影寻踪综合评价,计算土壤养分综合投影指数,利用GIS绘制研究区土壤综合养分等级分布图,并基于随机森林的importance()函数分析影响因子对土壤养分的影响度。
1.3 研究方法 1.3.1 投影寻踪综合评价投影寻踪综合评价是一种处理多元数据的新算法,旨在解决多指标样本分类等非线性问题[18]。原理为基于低维空间的投影特征研究高维数据的特征,获得反映实验样本数据结构特征的最优投影特征值,建立因变量与投影特征值之间一一对应的函数关系,从而完成高维数据向低维数据的转换,即将多个评价指标集成为一个综合评价指标,用于评价研究对象的数量与质量差异。其评价步骤如下:
1) 样本集的构建。
| $ \left. {{x_{ij}}\mid i = 1, \cdots ,n;j = 1, \cdots ,m} \right\} $ | (1) |
式中:xij是第i个样本的第 j个指标值。
2) 数据标准化。
| $ x_{ij}^* = \frac{{{x_{ij}}}}{{{x_{j\max }}}} $ | (2) |
3) 投影目标函数Q(a)的构造。将m维数据合成为某一方向的一维投影值,用 m 维的单位向量a(a1,a2,…,am)表征某一投影方向,某土壤样本i 在该方向上的投影值为:
| $ {z_i} = \sum\limits_j^m {{a_j}} x_{ij}^*(i = 1,2, \cdots ,n) $ | (3) |
在优化一维投影指标时,要求投影值Zi的散布特征:局部投影点尽可能密集,尽量凝聚成若干团,但从整体上点团之间尽可能分散,因此用下式进行指标函数的构建:
| $ Q(a) = S(a){\rm{ }}D(a) $ | (4) |
式中:S(a)表示投影值的标准差,D(a)为投影值的局部密度,分别为:
| $ {{S_{(a)}} = \sqrt {\frac{{\sum\limits_{i = 1}^n {{{\left( {{Z_i} - {{\bar Z}_i}} \right)}^2}} }}{{n - 1}}} } $ | (5) |
| $ {{D_{(a)}} = \sum\limits_{i = 1}^n {\sum\limits_{k = 1}^n {\left( {R - {r_{ik}}} \right)} } f\left( {R - {r_{ik}}} \right),\quad {r_{ik}} = \left| {{z_i} - {z_k}} \right|} $ | (6) |
式中:
4) 最佳投影方向的估计。目标函数Q(a)值与投影方向向量a有关,当Q(a)取最大值时的a方向是最能反映高维数据结构特征的方向。因此本研究通过求解投影目标函数优化问题来估计最佳投影方向,即求解:
| $ \left\{ {\begin{array}{*{20}{c}} {\max Q(a)}&{}\\ {s.t.\left\| a \right\| = 1}&{} \end{array}} \right. $ | (7) |
遗传算法在优化全局方面具有很好的效果,用于解决目标函数优化问题。
5) 投影寻踪综合评价。在获得近似最佳投影方向之后,计算土壤养分综合投影指数(comprehensive projection index,CPI),并计算每个经验等级的投影特征值,通过经验等级对应投影值,建立基于投影值的评价体系,对其进行综合评价。
1.3.2 普通克里格普通克里格是地统计插值的主要方法之一,以变异函数理论和结构分析为基础,对区域化变量进行无偏最优估值的方法[19-20]。普通克里格是在区域化变量满足前提假设之下,基于区域化变量之间的空间自相关性,采用半方差函数对实验数据进行结构分析,利用观测值与估计值之间的线性关系,对待估值点进行最优无偏估计[21],其公式如下:
| $ {{\rm Z}^{\rm{*}}}\left( x \right) = \sum\limits_{i = 1}^n {{\lambda _i}{\rm Z}} \left( {{x_i}} \right) $ | (8) |
式中:n代表样本数,λi为样点xi处的观测值Z(xi)与待估值Z*(x)的权重系数。
1.3.3 随机森林随机森林是由Breiman提出的一种机器学习算法,由一系列CART决策树集成[22-23]。本研究采用随机森林的变量重要性指标,对每项影响因子对土壤养分的影响度进行排序。基本原理为:在构建决策树过程中,将4/5的样点作为训练集,剩余1/5为袋外数据(out-of-bag,OOB),作为验证集。影响因子重要性大小基于计算预测精度的平均下降量(% IncMSE)获得,预测精度的平均下降量是指将每个预测变量替换为随机噪音后,所有决策树的袋外验证样本的预测精度的平均下降量。下降量越大的影响因子,其重要性就越大,即对土壤养分含量的影响度就越大,预测精度下降量小,表明其影响因子的重要性较低。基于R软件的Random Forest包对土壤养分影响因子的重要性进行排序。
2 结果与分析 2.1 土壤养分的一般性描述研究区土壤养分的一般统计特征如表 1所示,从表 1可知,苹果种植区各养分指标的平均含量为:有机质12.386 g/kg,碱解氮49.152 mg/kg,速效钾201.27 mg/kg,有效磷17.444 mg/kg。参照陕西省渭北地区苹果园土壤养分分级标准[24],土壤有机质含量属于Ⅲ级,表明其区域有机质为中等水平,这与王娟等[25]研究的果园有机质含量水平具有一致性;碱解氮含量属于Ⅳ级,其碱解氮含量低于大多数苹果主产区;速效钾含量属于Ⅱ级,表明其土壤中钾含量偏高,这与研究区黑垆土中钾素含量偏高及人工追肥有关;有效磷含量属于Ⅲ级,表明果区土壤有效磷含量属于中等水平。根据单项土壤养分丰缺评价结果,苹果园应增加有机肥施用量,合理调控氮磷钾肥的施用比例,实现科学施肥。
|
|
表 1 苹果种植区土壤养分含量一般性统计描述 Table 1 Statistical description of soil nutrients in apple-planting area |
从变异系数来看,4项土壤养分的变异系数均处于10% ~ 100%,这表明土壤养分均呈中等程度变异,其排序为速效钾 > 有效磷 > 有机质 > 碱解氮,其中速效钾的变异程度最大,其值为35.367%,表明人为施肥活动对土壤中速效钾含量影响较大。从K-S检验结果来看,4项土壤养分指标均存在一些偏态,经过对数转换之后,其峰度值和偏度值均接近3和0,数据呈对数正态分布(标准正态分布的K值和S值分别为3和0)。总的来说,苹果区土壤养分空间分布不均匀,且均呈中等程度变异。
2.2 土壤养分综合评价在前人研究成果的基础上[26],根据土壤养分分级标准,依据最优投影方向计算综合投影值,从而划分土壤养分等级,有利于客观、精确地对土壤养分等级进行划分。根据苹果园各项土壤养分分级标准值,利用公式(2)对其标准值进行标准化处理,基于DPS软件计算最优投影方向,并利用公式(3)计算该最优投影方向的综合投影值,其结果见表 2。从表 2可知,土壤养分分级标准值对应的综合投影值分别为2.106 5、1.600 2、1.100 9和0.647 8,据此对土壤养分综合投影指数划分等级,其结果为:Ⅰ级(> 2.106 5)、Ⅱ级(2.106 5 ~ 1.600 2)、Ⅲ级(1.600 2 ~ 1.100 9)、Ⅳ级(1.100 9 ~ 0.647 8)和Ⅴ级(< 0.647 8)。
|
|
表 2 土壤养分分级标准及其综合投影值 Table 2 Grading standards of soil nutrients and their comprehensive projection values |
利用投影寻踪综合评价计算土壤养分综合投影指数,并对其进行一般性统计描述(表 3),变幅为0.653 ~ 1.516,平均值1.022,变异系数14.746%,表示其呈中等程度变异。在LOG变换之后,峰度3.283,偏度–0.034,其值分别接近3和0,数据接近正态分布。同时,根据上述综合投影指数等级划分标准,CPI属于Ⅲ级和Ⅳ级,其比重分别为73.404%和26.596%,表明研究区土壤综合养分属于中等偏下水平。
|
|
表 3 土壤养分综合投影指数一般性描述 Table 3 Statistical description of comprehensive projection index (CPI) of soil nutrients |
为了客观、精准分析研究区土壤综合指数空间分布特征,参考前人研究成果[27],基于训练集和验证集数据,利用6项精度参数对其进行交叉验证,获得最优变异函数理论模型,此基础之上利用普通克里格对土壤养分综合指数进行空间插值,绘制土壤养分综合指数等级分布图,分析其空间分布特征。
2.3.1 普通克里格插值数据符合正态分布是地统计分析的前提假设,因此实验数据必须接近正态分布,才能进行地统计插值及其相关分析[28]。从上文可知,土壤养分综合指数满足正态分布的要求,能进行普通克里格插值预测。为了提高预测精度,选择最优变异函数理论模型,利用ArcGIS将实验数据分为80%训练集和20%验证集,分别为301和75个样点,运用地统计向导工具对变异函数模型进行交叉验证,结合6项精度参数综合比较3类理论模型的精度,结果如表 4所示。从表 4可知,在训练集交叉验证中,相比于指数函数、高斯函数,球面函数的ME(平均误差)、RMSE(均方根预测误差)更小,MESD(标准平均值)更接近于0,DABS(|RMSE-ASE|)值更小,同时在验证集交叉验证中,验证集球面函数的ME、RMSE、ASE(平均值标准误差)和DABS也更小,MESD更接近于0,表明球面函数为本研究拟合效果最优的变异函数理论模型。
|
|
表 4 普通克里格的变异函数模型精度比较 Table 4 Accuracy comparison of variogram models of ordinary Kriging |
基于普通克里格对训练样本的土壤养分综合指数进行空间预测,数据采用LOG变换,选择球面函数模型,获得研究区土壤养分综合指数图。同时,为了对插值结果的精准性做进一步验证,利用ArcGIS 10.2的Spatial analyst工具,基于土壤养分综合指数图提取75个验证样点的综合指数,与其原始综合指数做精度比较,其中平均值、极大值和极小值的相对预测误差分别为6.587%、2.265%和10.291%,表明预测结果与土壤养分的实际状况相吻合。
2.3.2 土壤养分空间分布特征为了客观、定量化研究土壤养分的空间分布特征,参考前人研究成果[13],自然断裂分级法(jenks)根据数据中固有的特征,对其数值进行科学分组,使其差异最大化。利用自然断裂分级法对土壤养分综合指数进行分级,有利于精细表征土壤养分等级情况,细化土壤养分内部差别,实现土壤养分精细化管理。利用jenks将土壤养分综合指数划分为5个自然级,分别为极高(1.249 ~ 1.516)、高(1.123 ~ 1.249)、中等(1.012 ~ 1.123)、低(0.897 ~ 1.012)和极低(0.653 ~ 0.897),计算了每个等级所占面积的比重(表 5),并绘制了土壤养分综合指数等级分布图(图 2)。
|
|
表 5 土壤养分综合指数分级及面积比例 Table 5 Classification and area ratio of integrated soil nutrient index |
|
图 2 研究区土壤养分综合指数等级分布图 Fig. 2 Distribution of integrated soil nutrient index in study area |
从图 2可知,研究区土壤养分综合投影指数的大致空间分布格局为:除湫坡头镇东部、职田镇和土桥镇等地区,CPI是从西部向东部递减,其高值区的空间分布与黑垆土分布的地理位置大致吻合,主要分布在张洪镇、原底乡、丈八寺、土桥镇和太镇南部等地区,其低值区主要分布在蒲塬乡、城关镇、湫坡头和太镇的北部等地区,其分布区域的主要土壤类型为黄绵土。土壤养分CPI极高的面积占全区的14.415%,主要分布在太镇南部、张洪镇北部和丈八寺镇南部等地区,这与当地黑垆土的养分含量高、坡度适宜以及人工施肥量有关;综合养分指数中等的区域占总面积的35.450%,其空间分布不均,主要分布在中部和东部;综合指数低的地区占全区的20.115%,主要分布在湫坡头镇南部、太镇北部和蒲塬乡等地区。土壤养分综合指数等级从高到低的面积比例:14.415︰28.522︰35.450︰20.115︰1.498,中等、低和极低的总面积占全区的57.063%,表明大部分苹果种植区土壤养分属于中等及偏下水平,主要分布在中部和东部。综上所述,研究区总体土壤养分属于中等及偏下,主要分布在中部和东部,因此,应调整施肥结构,因地制宜,实现科学、精准施肥。
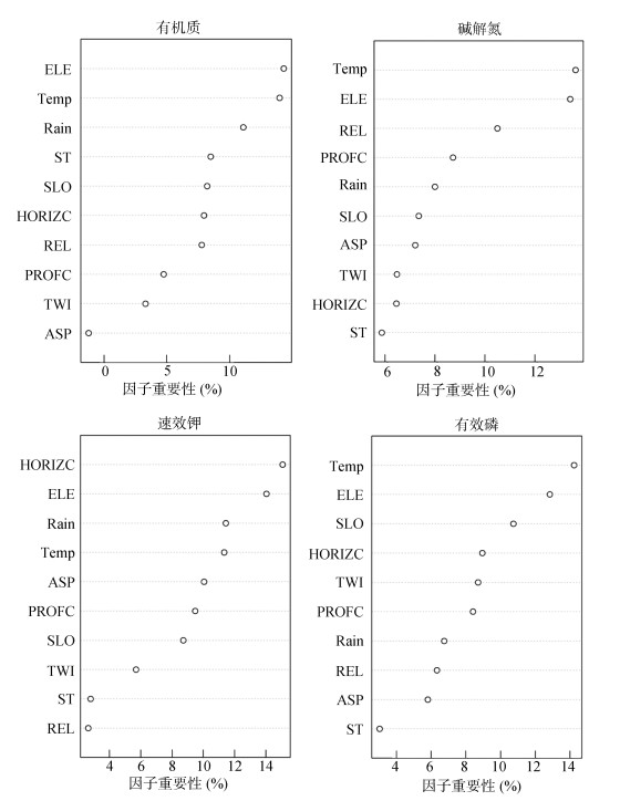
2.4 土壤养分影响因素基于importance()函数对土壤养分10项影响因子进行重要性排序,其结果见图 3,从图 3可知,其影响因子对每项土壤养分的影响度存在较大差异。研究区高程和气温对有机质含量影响度很大,其%IncMSE值分别为18.556%和16.231%,表明高程和气温是影响研究区有机质的主导性因子,这与前期研究成果具有一致性[29],其次降水和土壤类型对土壤有机质也具有较大影响。从碱解氮来看,气温、高程和地形起伏度对其含量重要性排名前三,其%IncMSE值分别为13.539%、13.320%和10.405%,这与气温高低影响土壤中氮素的分解程度,高程和地形起伏度影响区域土壤中氮素的流动与保持程度等有关。对于速效钾而言,水平曲率和高程对速效钾含量的影响很大,其%IncMSE值分别为15.080%和14.044%,这与土壤速效钾的养分特性有关。影响有效磷含量的3个主要因子为气温、高程和坡度,其重要性分别为14.133%、12.728%和10.631%,气温和高程因子影响土壤有机质含量,从而影响土壤有效磷含量及其分布。
|
(ST:土壤类型;Rain:年均降水;Temp:年均气温;ELE:高程;SLO:坡度;ASP:坡向;HORIZC:水平曲率;PROFC:剖面曲率;REL:地形起伏度;TWI:地形湿度指数) 图 3 土壤养分影响因子重要性 Fig. 3 Importance of impact factors of soil nutrients |
综上所述,影响因子对研究区土壤养分含量的影响度差异性很大,其中高程、气温和坡度等因子为主导因子,这与土壤养分特性、当地气候和地形地貌有关。其中有机质主要受高程、气温、降水和土壤类型的影响;碱解氮含量主要与气温、高程、地形起伏度和剖面曲率有关;速效钾含量主要受水平曲率、高程、降雨和气温影响;有效磷含量主要与气温、高程、坡度和水平曲率有关。
3 讨论根据土壤养分的一般性描述统计,研究区土壤有机质为中等水平,这与王娟等[25]和王留好等[30]对该区域有机质的研究结果基本吻合,并与陕西省有机质的平均水平相一致。果园碱解氮含量为Ⅳ级,表明土壤碱解氮处于缺乏状态,这与张丽娜等[31]研究苹果园土壤氮含量偏低的结论具有一致性,这与苹果树生长过程中养分吸收特点及果农培肥等有关。果园速效钾含量为较高水平,这与研究区大部分土壤属于黑垆土,钾含量高有关。有效磷含量为中等水平,且变异系数大,这表明其含量主要与果农磷肥使用量、施肥习惯有关。因此,果农应增施有机肥、氮肥,减少钾肥,科学调配苹果树的用肥比例。
基于投影寻踪综合评价土壤养分,利用普通克里格绘制土壤综合养分等级图,并分析其空间分布特征,其结果与前期研究成果具有一致性[28],表明此方法运用到土壤养分综合评价中具有可行性和科学性。土壤养分综合投影指数为Ⅲ级和Ⅳ级,呈中等偏下水平,这与前期研究成果具有一致性。利用训练集和验证集的精度交叉验证,选择最优变异函数理论模型,能够更好模拟土壤综合养分的空间分布结构,从而提高预测精度。利用相对预测误差进一步检验精度,其平均值和极大值的相对预测误差6.587%和2.265%,表明预测结果精度较好,与养分实际状况基本一致,可进行后续的土壤综合养分空间分布特征分析。CPI总体格局为从西部向东部递减,高值区主要分布在西部的张洪镇、原底乡、丈八寺镇和东部的土桥镇等地区,这些地区养分含量高的主要原因为:该区域的主要土壤类型为黑垆土,其养分含量高、保肥性能好,同时坡度、坡向较适宜,光照和水热充足。低值区主要分布在西部的城关镇-蒲塬乡一带,其原因为:黄绵土为该区域的主要土壤类型,其土壤保肥效果差,腐殖质含量少,综合肥力低下,同时也与高程、坡度等地形因子有关。为了进一步探讨土壤样分含量及分布差异大的原因,采用随机森林的importance()函数分析了4项养分的影响因素。从分析结果来看,高程、气温和坡度等因子是影响单项土壤养分的主导因子,这与当地的自然环境和苹果树的生长特性有关。研究区平均高程为1 201.827 m,相对高程为707 m,高程差异大,其养分形成的自然条件差异大,从而导致其土壤养分差异较大。坡度对单项土壤养分影响度大,这与当地处于关中平原与陕北高原的过渡地带,坡度变化率大有关。
投影寻踪综合评价依据数据本身寻找最优方向,获取最优投影特征值,实现客观赋权,减少了人为因素干扰,提高了研究结果的精准性。总的来说,采用投影寻踪和GIS相结合的方法,客观、精准地对土壤综合养分进行了空间定量化研究,但投影指标的选取对分类评价影响具有不确定性,因此在土壤养分综合评价过程中,应进一步构建更加全面的评价指标体系,不同投影方向优选算法也影响评价结果的客观性,这些均有待进一步研究。本研究利用importance()函数有效分析了土壤养分含量的影响因素,但缺乏对土壤影响因素的直接定量化及其空间可视化研究。同时由于土壤养分综合评价和影响因素的复杂性,可进一步采用多元评价方法对其评价,分析其适应性,同时深入研究土壤养分影响因素定量化的科学问题。
4 结论1) 根据苹果种植区土壤养分分级标准,研究区土壤有机质含量属于Ⅲ级,为中等水平,碱解氮等级为Ⅳ级,其低于平均水平,速效钾含量属于Ⅱ级,为较高水平,有效磷含量等级为Ⅲ级,4项养分指标的变异系数均在10% ~ 100%,呈中等程度变异,因此,果园应科学调配氮磷钾肥的施用比例,重点增施氮肥和有机肥。
2) 基于投影寻踪综合评价法获得土壤养分综合投影指数,CPI范围为0.653 ~ 1.516,平均值1.022,呈中等程度变异,CPI属于Ⅲ级和Ⅳ级,土壤综合养分为中等偏下水平。基于精度参数的交叉验证,球面函数为最优变异函数模型。
3) 研究区土壤CPI的总体空间分布格局:除湫坡头镇东部、职田镇和土桥镇等地区,从西部向东部递减,其等级从高到低的面积比例为14.415︰28.522︰35.450︰20.115︰1.498,其中等及以下的累积比例为57.063%。总的来说,研究区土壤养分为中等偏下水平,主要分布在东部。影响因素分析表明:高程、气温和坡度等因子为主导因子,且每项影响因子对养分的影响度差异较大。
| [1] |
陶睿, 王子芳, 高明, 等. 重庆市丰都县紫色土养分空间变异及土壤肥力评价[J]. 土壤, 2017, 49(1): 155-161 ( 0) |
| [2] |
韩丹, 程先富, 谢金红, 等. 大别山区江子河流域土壤有机质的空间变异及其影响因素[J]. 土壤学报, 2012, 49(2): 403-408 ( 0) |
| [3] |
张世文, 张立平, 叶回春, 等. 县域土壤质量数字制图方法比较[J]. 农业工程学报, 2013, 29(15): 254-262 DOI:10.3969/j.issn.1002-6819.2013.15.031 ( 0) |
| [4] |
杨建宇, 欧聪, 李琪, 等. 基于云模型的耕地土壤养分模糊综合评价[J]. 农业机械学报, 2018, 49(1): 251-257 ( 0) |
| [5] |
黄婷, 岳西杰, 葛玺祖, 等. 基于主成分分析的黄土沟壑区土壤肥力质量评价——以长武县耕地土壤为例[J]. 干旱地区农业研究, 2010, 28(3): 141-147, 187 ( 0) |
| [6] |
赵串串, 安若兰, 赵巧玉, 等. 物元模型在玉树地区林地土壤养分评价中的应用[J]. 土壤, 2014, 46(6): 984-988 ( 0) |
| [7] |
韩磊, 李锐, 朱会利. 基于BP神经网络的土壤养分综合评价模型[J]. 农业机械学报, 2011, 42(7): 109-115 ( 0) |
| [8] |
Li H, Leng W J, Zhou Y B, et al. Evaluation models for soil nutrient based on support vector machine and artificial neural networks[J]. The Scientific World Journal, 2014, 2014: 478569 ( 0) |
| [9] |
张彬, 杨联安, 冯武焕, 等. 基于改进TOPSIS和COK的土壤养分综合评价[J]. 干旱区资源与环境, 2016, 30(7): 180-185 ( 0) |
| [10] |
王晶, 任丽, 杨联安, 等. 基于云模型的西安市蔬菜区土壤肥力综合评价[J]. 干旱区资源与环境, 2017, 31(10): 183-189 ( 0) |
| [11] |
梁斌, 齐实. 北京山区土壤养分空间变化特征研究[J]. 土壤, 2018, 50(4): 769-777 ( 0) |
| [12] |
高灯州, 闵庆文, 陈桂香, 等. 联合梯田农业文化遗产稻田土壤养分空间变异特征[J]. 生态学报, 2016, 36(21): 6951-6959 ( 0) |
| [13] |
张彬, 杨联安, 杨粉莉, 等. 苹果主产区土壤养分空间分布特征及其影响因素——以陕西省礼泉县为例[J]. 土壤, 2016, 48(4): 777-784 ( 0) |
| [14] |
王玉军, 欧名豪. 徐州农田土壤养分和重金属含量与分布研究[J]. 土壤学报, 2017, 54(6): 1438-1450 ( 0) |
| [15] |
Zhu A, Yang L, Li B L, et al. Construction of membership functions for predictive soil mapping under fuzzy logic[J]. Geoderma, 2010, 155(3-4): 164-174 DOI:10.1016/j.geoderma.2009.05.024 ( 0) |
| [16] |
宫兆宁, 李洪, 阿多, 等. 官厅水库消落带土壤有机质空间分布特征[J]. 生态学报, 2017, 37(24): 8336-8347 ( 0) |
| [17] |
黄兴成, 颜家均, 刘洪斌, 等. 低山丘陵区农田土壤有机质预测性制图[J]. 西南师范大学学报(自然科学版), 2013, 38(5): 142-149 DOI:10.3969/j.issn.1000-5471.2013.05.027 ( 0) |
| [18] |
付强, 付红, 王立坤. 基于加速遗传算法的投影寻踪模型在水质评价中的应用研究[J]. 地理科学, 2003, 23(2): 236-239 DOI:10.3969/j.issn.1000-0690.2003.02.018 ( 0) |
| [19] |
徐建华. 计量地理学(2版)[M].
高等教育出版社, 北京, 2014
( 0) |
| [20] |
赵明松, 李德成, 张甘霖, 等. 江淮丘陵地区土壤养分空间变异特征——以安徽省定远县为例[J]. 土壤, 2016, 48(4): 762-768 ( 0) |
| [21] |
周磊, 齐雁冰, 常庆瑞, 等. 县域耕地土壤速效钾空间预测方法的比较[J]. 西北农林科技大学学报(自然科学版), 2012, 40(8): 193-199 ( 0) |
| [22] |
Breiman L. Random forest[J]. Machine Learning, 2001, 45(1): 5-32 ( 0) |
| [23] |
史静静, 杨琳, 曾灿英, 等. 土壤制图中多目标属性的环境因子及其尺度选择——以黑龙江鹤山农场为例[J]. 地理研究, 2018, 37(3): 635-646 ( 0) |
| [24] |
高义民.陕西渭北苹果园土壤养分特征时空分析及施肥效应研究[D].杨凌: 西北农林科技大学, 2013.
( 0) |
| [25] |
王娟, 翟丙年, 王宏斌, 等. 旬邑县苹果园土壤肥力分析与评价[J]. 陕西农业科学, 2014, 60(2): 19-23 DOI:10.3969/j.issn.0488-5368.2014.02.009 ( 0) |
| [26] |
谢贤健, 韦方强, 张继, 等. 基于投影寻踪模型的滑坡危险性等级评价[J]. 地球科学, 2015, 40(9): 1598-1606 ( 0) |
| [27] |
黄安, 杨联安, 杜挺, 等. 基于主成分分析的土壤养分综合评价[J]. 干旱区研究, 2014, 31(5): 819-825 ( 0) |
| [28] |
沈润平, 丁国香, 魏国栓, 等. 基于人工神经网络的土壤有机质含量高光谱反演[J]. 土壤学报, 2009, 46(3): 391-397 DOI:10.3321/j.issn:0564-3929.2009.03.003 ( 0) |
| [29] |
张彬.基于GIS的苹果主产区土壤养分空间预测及管理系统研究[D].西安: 西北大学, 2017.
( 0) |
| [30] |
王留好, 同延安, 刘剑. 陕西渭北地区苹果园土壤有机质现状评价[J]. 干旱地区农业研究, 2007, 25(6): 189-192 ( 0) |
| [31] |
张丽娜, 李军, 范鹏, 等. 黄土高原典型苹果园地深层土壤氮磷钾养分含量与分布特征[J]. 生态学报, 2013, 33(6): 1907-1915 ( 0) |
2. Shaanxi Key Laboratory of Earth Surface System and Environmental Carrying Capacity, Northwest University, Xi′an 710127, China;
3. College of Urban and Environmental Science, Northwest University, Xi'an 710127, China;
4. Academy of Agriculture Sciences of Xianyang, Xianyang, Shaanxi 712000, China;
5. Xianyang Station of Soil and Fertilizer, Xianyang, Shaanxi 712000, China;
6. Xunyi Station of Soil and Fertilizer, Xunyi, Shaanxi 711300, China
2020, Vol. 52



0)