2. 广西民族大学政治与公共管理学院, 南宁 530006;
3. 东北农业大学水利与土木工程学院, 哈尔滨 150030
我国土壤环境质量总体状况不容乐观,污染防控形势十分严峻。2014年环境保护部与国土资源部联合发布的《全国土壤污染状况调查公报》[1]显示,我国土壤总点位超标率为16.1%,农田土壤点位超标率高达19.4%。多金属复合是我国土壤污染的突出特征,土壤高背景、工业源、农业源叠加,造成成因复杂、集中连片的土壤多金属污染[2]。我国土壤重金属污染地域特征明显,西南地区多金属复合污染尤为突出,土壤重金属背景值远高于全国土壤平均值,其中最为突出的元素为Cd[2]。除此之外,燃煤电厂排放[3]、矿山废水排放[4]、金属冶炼[5]、交通排放[6]、化肥施用[7]等诸多工业、农业活动同样导致重金属进入周边农田土壤,形成多源耦合的叠加型污染。精准识别土壤多金属污染源,进而采取相应的源头削减与风险阻抗措施,是保障农产品安全的关键措施,对复合污染土壤的防治具有重要意义[8-9]。
稳定同位素分析(isotope ratio analysis, IRA)是一种被广泛采用的源解析手段。利用特定重金属元素在不同环境样品之间具有特异的同位素比值这一特点,能够对污染源进行定量识别[10-11]。借助二元、三元混合模型,或Isosource多元混合模型,能够定量计算污染源对于土壤重金属的贡献率。与传统的多元统计分析方法相比,该方法基于微观层面的同位素差异实现污染源的精准识别,具有先进性与可靠性[12]。同位素比值在不同环境样品中的特异性主要有两个来源:放射性同位素衰变与同位素分馏过程[10]。对于Pb元素,其在不同介质中同位素比值的差异主要是其他元素(U、Th)的放射性衰变所致。而对于Cu、Zn、Cd等元素,自然界中广泛存在的分馏过程造成了同位素的显著差异。由于分馏过程的普遍性与复杂性,即使是在相同污染源内,其同位素比值可能会有较大的变化范围,从而掩盖不同污染源的特异性信号,为源解析带来困难[13]。譬如Cu元素在氧化还原、吸附解吸过程中发生显著的分馏;矿石样品中,δ65Cu比值变化范围可达–16‰ ~ +20‰;相比之下,其他污染源的δ65Cu比值变化较小,经常在–2‰ ~ +2‰的范围内,且同位素比值经常重叠[14]。从这个意义上讲,分馏主导的稳定同位素用于土壤污染源解析非常困难[15]。因此,对于污染源解析,放射性衰变主导、而非分馏主导的稳定同位素更受青睐。
传统的稳定同位素分析往往只能解析特定元素的污染源。对于多金属复合污染的土壤,针对每种重金属元素分别测试同位素虽然理论上可行,但是由于同位素预处理过程繁杂[16]、同位素分析测试缓慢[17],对于大样品数的大面积多金属复合污染情形并不适用。针对该问题,本研究基于Pb稳定同位素分析,通过将矿物学分析与相关分析结合,将Pb稳定同位素解析结果合理外推,高效、准确地定量识别我国西南典型矿区多金属复合污染土壤的污染源,为符合我国国情的土壤污染源解析提供了新思路。
1 材料与方法 1.1 研究区概况选取我国西南地区的广西壮族自治区某矿区为研究区域,该区域位于云贵高原东南边缘、云贵高原与广西盆地间斜坡地带,构造侵蚀作用强烈,风化剥蚀、雨水、地表水的侵蚀作用形成低山丘陵地貌。成土母质以砂页岩、石灰岩第四纪红色黏土为主,土壤类型为西南地区典型的铁铝土。该区域为典型铜锌矿区,总储量逾1 000万吨,开采时间超过50年,开采方式为地下开采。除此之外,该区域存在若干家铜锌矿采选厂、铅锑合金冶炼厂、矿粉厂等重污染企业,长期的采、选、冶炼活动造成了该区域严重的多金属复合污染。由于历史原因,对冶炼后废石、废渣等缺乏相应监管,就地堆放、简单阻隔填埋造成了潜在的环境风险。流经废渣土的废水浸沥形成渗滤液,所含的高浓度重金属污染物通过包气带污染深层土壤与地下水,或直接流入地表水体,造成严重的环境多金属复合污染。研究区农用地毗邻一小溪,其上游位于矿渣堆放区。
1.2 样品采集与处理于2020年1月在研究区域进行环境样品的采集。共采集85个农田土壤表层样品,样品采集参照GB/T 36197—2018《土壤质量土壤采样技术指南》[18]。采样过程中,使用“梅花形”布点法,布设1 m × 1 m方格,在其4个角点与中心点分别采集约60 g样品充分混合,每一点位采集混合样约300 g,充分混匀后密封于洁净自封袋中。使用动力击入法沿小溪采集4个土芯样品,采样深度分别为1.3、0.8、0.7、0.9 m,用于重金属纵向分布规律的研究。土芯1取自荒地,土芯2取自农用地,土芯3取自农用地与林地交界处、土芯4取自林地(图 1)。除此之外,在农用地周边采集若干矿渣(细碎矿粉)、道路扬尘、有机肥、无机肥、山泉水、溪水与底泥等环境样品,用于农田土壤重金属源解析。
|
(A. 土芯1;B. 土芯2;C. 土芯3;D. 土芯4) 图 1 土芯采样处周边环境 Fig. 1 Surrounding environment of soil cores |
将环境样品带回实验室,固体样品去除石块、植物根茎等,于40 ℃烘箱内烘至恒重(48 h),研磨、过筛(100目)。根据HJ 803—2016《土壤和沉积物12种金属元素的测定王水提取-电感耦合等离子体质谱法》[19]进行样品的微波消解。准确称量0.200 ± 0.001 g固体样品于聚四氟乙烯消解罐中,加入12.00 ml王水(体积比HNO3: HCl = 1:3),使用微波消解仪消解。将消解液转移至比色管,加入高纯水(18 MΩ·cm)定容至50.00 ml,通过0.22 μm微孔滤膜过滤、稀释后待测。水样通过0.22 μm微孔滤膜过滤,存放于4 ℃冰箱内待测。
1.3 样品测定与矿物学分析根据HJ 803—2016方法,使用电感耦合等离子体质谱仪(ICP-MS,仪器型号iCAP RQ,美国赛默飞世尔科技公司)测定环境样品中Cr、Mn、Ni、Cu、Zn、As、Cd、Sb、Pb的浓度,使用10 μg/L Rh作为内标,针对同一样品称量3次进行消解并测定消解液浓度,取平均值作为环境样品重金属的浓度。Pb同位素测定采用Chen等[20]推荐的方法,利用ICP-MS进行测定。将消解后的溶液稀释至Pb浓度30 μg/L,使用内标法(10 μg/L Rh)测定。采用国际通用的NIST SRM 981 Pb同位素标准品(同位素组成:204Pb 1.4255%,206Pb 4.1442%,207Pb 22.0833%,208Pb 52.3470%)作为同位素标样,每隔5个样品测定一次标样。根据所测信号强度计算环境样品206Pb/207Pb、208Pb/206Pb。206Pb/207Pb、208Pb/206Pb分析精度(RSD)分别为0.41% 与0.21%;标样206Pb/207Pb、208Pb/206Pb测定值分别为1.093±0.005(n=10),2.161±.005(n=10),与文献[20-21]报道的ICP-MS对于Pb同位素的分析精度相符。将表层土壤、深层土壤、道路扬尘、矿渣样品用玛瑙研钵精细研磨、过300目筛,使用X-射线衍射仪进行矿物学分析(XRD,仪器型号D/max-2500,日本理学公司,2θ = 3 ° ~ 90 °,扫描速率2 °/min,波长0.154 06 nm,电压40 kV,电流150 mA)。
1.4 数据分析使用Origin 2018进行数据处理与统计分析,相关分析采用t-检验,显著性水平为0.05;使用MDI Jade 6软件进行环境样品矿物成分分析。同位素源解析采用美国环保署推荐的Isosource模型[22],相比于二元、三元混合模型,Isosource考虑多污染源的潜在影响,并给出污染源贡献率的所有可能范围。
| $ {\delta }_{土壤}\text{=}{\delta }_{1}\times {f}_{1}+{\delta }_{2}\times {f}_{2}+\cdot \cdot \cdot +{\delta }_{\text{n}}\times {f}_{\text{n}} $ | (1) |
| $ {f_1} + {f_2} + \cdot \cdot \cdot + {f_{\text{n}}} = 1 $ | (2) |
式中:δ土壤、δ1
矿区农用地表层土壤重金属污染情况与环境样品重金属含量见表 1、表 2。该矿区农用地表层土呈现典型的多金属复合污染,Cr、Mn、Ni、Cu、Zn、As、Cd、Sb、Pb含量分别为190、2 233、64、247、2 058、1 322、18.8、558、534 mg/kg(表 1)。农用地表层土壤Cu、Zn、As、Cd、Pb平均含量是风险筛选值的2.5倍、8.2倍、44.1倍、61.7倍、4.5倍。土壤Mn、Cu、Zn、As、Cd、Sb、Pb含量均高于该矿区母质层土壤参考值(无外源污染的重金属含量),说明人类活动造成了土壤多金属复合污染。变异系数能够在一定程度上反映重金属元素的异质性,矿区农用地土壤Cr、Ni变异系数较低(表 1),说明这两种重金属元素空间分布异质性低;而其他元素的变异系数均大于0.75,说明各种潜在人为源造成了土壤污染物分布的空间不均一性[23]。
|
|
表 1 矿区农用地表层土壤重金属描述描述统计 Table 1 Descriptive statistics of heavy metals in surface agricultural soil samples |
|
|
表 2 环境样品重金属含量 Table 2 Heavy metal concentrations in environmental samples |
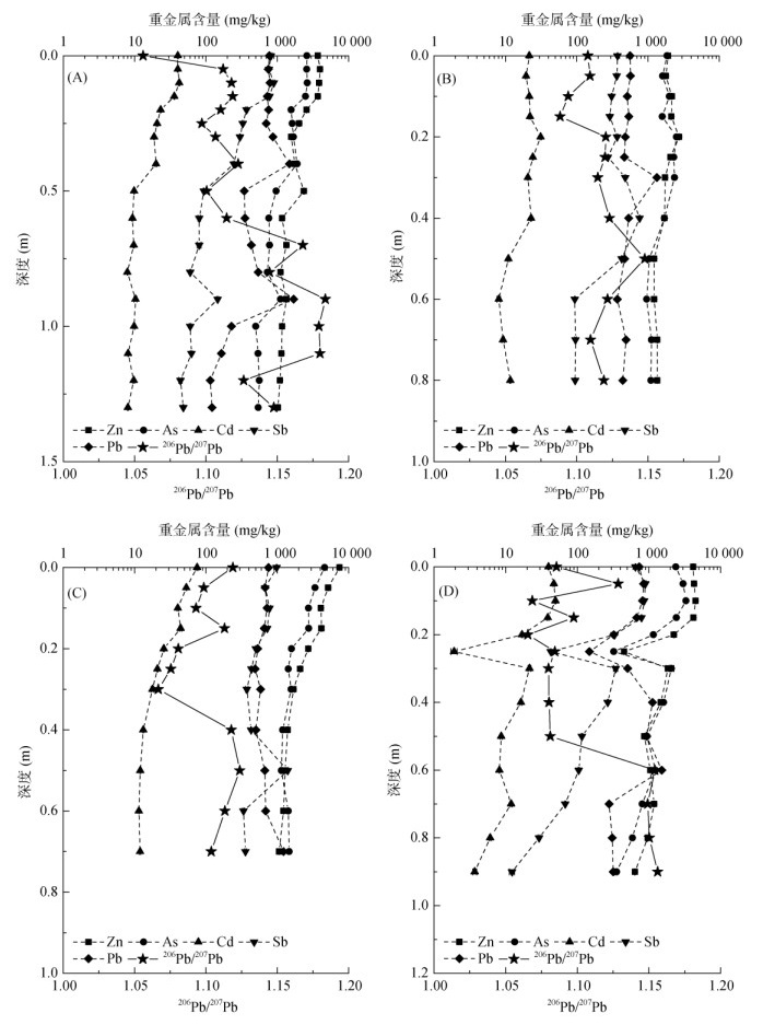
针对从毗邻小溪的荒地与林地采集到的土芯,随着土壤深度的增加,重金属含量呈现逐渐降低的趋势(图 2A和2D)。小溪泛滥期重金属进入土壤表层,并随入渗水流逐渐进入深层。在这一过程中,液相重金属逐渐被土壤固相吸附阻滞,造成了浅层高重金属含量(以外源污染所致为主)与深层低重金属含量(以岩石风化所致为主)的差异性,而206Pb/207Pb同位素比值的上升印证了这一过程(图 2)。但对于从农用地采集到的土芯这一重金属总含量下降与206Pb/207Pb比值上升的规律并不显著(图 2B)。值得注意的是,农用地土芯在20 ~ 30 cm处会出现重金属含量的极值,在极值之前重金属含量与土层深度不存在显著的相关关系,在此极值后重金属含量才会随土层深度的增加而明显下降。这可能是翻耕等人为活动扰动表层土壤所造成的。
|
(A. 土芯1;B. 土芯2;C. 土芯3;D. 土芯4) 图 2 土芯重金属含量与Pb同位素特征 Fig. 2 Metal concentrations and Pb isotope signatures of four soil cores |
无人为扰动的背景土壤富集了质量数较轻的206Pb(206Pb/207Pb = 1.163,208Pb/206Pb = 2.080),而道路扬尘、矿渣、农业污染源则富集了高质量数的207Pb与208Pb(图 3)。矿区周边农用地土壤样品的同位素比值落在自然背景-人为源的二元混合线上,说明农用地的土壤受到了外源污染[10, 24]。与矿区道路扬尘、矿渣污染源相比,农业源206Pb/207Pb变化较大,而208Pb/206Pb变化较小,与土壤样品的变化规律存在显著不同,在一定程度上说明农业活动可能并非主要的污染源(图 3)。矿渣、矿区道路扬尘的同位素信号有所重叠、且均位于自然背景-人为源的二元混合线上。其他环境样品,如附近小溪溪水、底泥、山泉水等的同位素比值均位于自然背景-人为源混合线上,说明采矿等人类活动造成了矿区地表水的污染,而使用受到污染的地表水进行灌溉,或是雨季溪水泛滥淹没沿岸农用地,都会造成农田土壤中重金属的积累。对于土芯样品,随着土层深度的增加,206Pb/207Pb呈现上升趋势,并逐渐接近自然背景(图 2),表层土受到人为源的影响较大,而深层土壤的重金属主要来自于岩石风化这一自然过程。
|
图 3 环境样品Pb同位素特征 Fig. 3 Pb isotope signatures of environmental samples |
矿渣、道路扬尘、背景土、污染表层土、深层土的矿物成分存在差异(图 4)。污染表层土样品1(Zn 6 105 mg/kg,As 2 633 mg/kg,Cd 56.5 mg/kg,Sb 1 434 mg/kg,Pb 1 334 mg/kg)、表层土样品2(Zn 7 732 mg/kg,As 3 888 mg/kg,Cd 68.9 mg/kg,Sb 2 867 mg/kg,Pb 2 794 mg/kg)分别为毗邻小溪(潜在污染途径为矿山浸沥后污染水体淹没农田)、靠近矿区公路(潜在污染途径为细碎矿粉在矿石运输过程中溅出,随扬尘进入农田)的典型多金属复合污染土壤样品。未受污染的背景土壤最显著的矿物成分为石英(SiO2),而受到污染的表层土壤中还会分别在2θ = 27.5°、2θ = 28.3°出现三氧化二锑(Sb2O3)与碳酸钙(CaCO3)的衍射峰,而这两个峰同样为道路扬尘样品的衍射特征峰,而该矿区道路扬尘主要来自于矿石运输过程中细碎矿粉的溅出。靠近小溪的污染表层土样品1在2θ = 47.4°出现了硫铜锡锌矿(Cu2ZnSnS4)的衍射峰,而这一衍射峰也是铜锌矿的重要特征峰,预示受上游矿山开采活动污染水体淹没农田造成的土壤重金属积累。上述结果表明矿渣浸沥与矿区道路扬尘均为该地区农田土壤染污的潜在途径。土芯样品1在深层存在钙铝榴石(Ca3Al2(SiO4)3)的特征峰,由于成土过程转变了母质的矿物学特征[25],浅层土壤中未发现这种矿物的信号。土芯样品2由于多金属污染物含量相对较低,X-射线衍射峰与背景土相比,并未出现明显差异。
|
(A. 表层污染土壤;B. 土芯1;C. 土芯2。矿物组成为:(■)SiO2(PDF 46-1045);(▲)CaCO3(PDF 05-0586);(●)Sb2O3(PDF 11-0689);(◆)Cu2ZnSnS4(PDF 26-0575);(★)Ca3Al2(SiO4)3(PDF 39-0368)) 图 4 环境样品矿物成分分析 Fig. 4 Mineralogical analysis of environmental samples |
针对本研究的多金属复合污染情形,在基于Pb同位素特征开展源解析之前需要探究将Pb元素的源解析外推至其他元素的可行性[26]。通过相关分析,发现Zn、As、Cd、Sb的含量与Pb的含量均存在很强的相关关系(图 5),说明重金属元素的来源存在一定的相似性,Pb同位素的结果可以在一定程度上揭示其余重金属元素的污染源。
|
图 5 土壤重金属含量相关性分析 Fig. 5 Correlation analysis of soil metal concentrations |
基于稳定同位素源解析的最常用方法为二元混合模型,该模型能够定量估计自然源、人为源对于土壤重金属的贡献率。根据二元混合模型,土壤的同位素比值是自然源与人为源混合的结果[10, 24]。
| $ {\delta }_{土壤}\text{=}{\delta }_{1}\times {f}_{1}+{\delta }_{2}\times {f}_{2} $ | (3) |
| $ {f_1} + {f_2} = 1 $ | (4) |
式中:
二元混合模型的重要假设为有且仅有一个人为污染源,可通过将Pb同位素比值与Pb含量的倒数进行相关分析验证[26-27]。对于本研究,Pb同位素比值与Pb含量之间并无显著的相关关系(图 6),表明该研究区域土壤受到多个潜在污染源的影响,无法通过简单的二元混合模型进行污染源的定量解析。
|
图 6 Pb含量与Pb同位素的相关性分析 Fig. 6 Correlation analysis of soil Pb concentration and Pb isotope composition. |
与二元混合模型相比,Isosource模型能够基于多个污染源的同位素比值,给出所有潜在污染源贡献率的可能组合(表 3)。Isosource模型计算的结果表明,对于矿区的农田土壤,自然源的贡献仅占11% ~ 39%。由于矿渣、道路扬尘、农业源的同位素信号存在交叠,无法通过Isosource模型区分这两个潜在污染源的贡献率高低。
|
|
表 3 污染源Pb同位素比值与贡献率 Table 3 Pb isotope ratios and contribution rates of various sources |
基于以上源解析结果,该矿区农用地的多金属复合污染主要是由人为污染源造成,其占比达到61% ~ 89%。在诸多人为源中,铜锌矿渣浸沥、道路扬尘、化肥与有机肥施用都是潜在的污染源,但由于这些污染源的同位素特征信号存在交叠,无法仅凭同位素分析得到可靠的源解析结果。结合矿物学分析的结果,可得出矿渣浸沥、矿区道路扬尘的共同作用造成了土壤重金属的积累。
3 讨论Pb的4种稳定同位素中,仅有自然丰度最低的204Pb是严格意义上长期稳定的同位素(与同位素衰变无关),而206Pb、207Pb、208Pb分别来源于238U、235U、232Th的放射性衰变(半衰期分别为4.468×109、7.038×108、1.401×1010 a),环境样品形成时间的不同导致了Pb稳定同位素组成的显著差异[28]。因此Pb稳定同位素能够被成功应用于大气[29]、土壤[30]、水体[31]等环境介质的污染源解析中。而其他重金属元素的同位素,往往由于氧化还原、蒸发冷凝、吸附解吸、沉淀溶解等生物地球化学过程产生分馏,不同环境样品之间同位素比值往往并无明显差异,为源解析带来困难[10, 15]。
尽管Pb同位素被广泛应用于污染源解析,但不同潜在污染源的信号重叠是一个经常遇到的问题。Huang等[32]在对市郊农田土壤的污染源解析过程中发现,道路扬尘、固体废弃物、有机肥料的206Pb/207Pb、208Pb/206Pb比值存在严重的信号重叠,无法通过同位素分析识别交通源、生活源与农业源对土壤重金属污染的贡献率。Shetaya等[33]注意到金属冶炼、交通排放造成的Pb同位素信号均位于自然背景-人为源混合线的一端,无法仅通过Pb同位素分析将两种污染源区分。本研究发现交通、采矿源的Pb同位素信号存在明显的重叠,无法通过Pb同位素分析将这两个污染源进行区分;尽管Isosource模型能够估算出各污染源所有可能的贡献率范围,但是由于各人为源之间同位素比值存在相似性,估算出的污染源贡献率也趋于相同(表 3)。因此,采用辅助的分析手段,对于具体人为污染源的识别是非常必要的。
通过矿物学分析,发现矿渣浸沥与矿区道路扬尘的共同作用导致了该地区农田土壤的Pb污染。由于历史原因,矿渣的随意堆放、简单填埋造成了潜在的环境风险。矿渣中的重金属随降雨浸沥流入小溪,雨季河水泛滥淹没周边农田,造成重金属的积累;溪水、底泥样品的同位素比值符合自然源-人为源混合规律,印证了这一假说。矿石运输过程中矿粉飞溅,通过道路扬尘进入农田也是一重要染污途径。借助本研究提供的源解析思路并将其进一步用于大面积中轻度污染农田污染成因分析,对我国受污染耕地源头防控与安全利用具有重要的意义。结合相关分析,Pb同位素源解析的结果能够在一定程度上反映其他重金属元素的污染源。相比于宏观层面的主成分分析、因子分析等传统多元统计分析手段,将Pb稳定同位素分析与矿物学分析相结合,能够从微观层面深入解析土壤重金属的污染源,对于多金属复合污染土壤污染源的精准识别是非常必要的。
4 结论1) 该矿区农用地呈现典型的多金属复合污染特征,其中Zn、As、Cd、Sb、Pb污染尤为严重。重金属元素含量之间存在良好的相关性,为多金属源解析提供了可能。
2) Pb同位素分析表明,矿区农田土壤重金属污染是自然源与采矿共同作用的结果。相比之下,农业活动,如化肥、畜禽粪便有机肥的添加对于土壤重金属的积累贡献不大。人为源对于土壤重金属的贡献率高达61% ~ 89%,但是由于不同染污途径(矿渣浸沥、矿区道路扬尘)之间存在相似的206Pb/207Pb、208Pb/206Pb比值,仅凭Pb同位素分析无法分辨究竟是何种过程造成了土壤重金属的积累。
3) 通过矿物学分析,发现该矿区农田土壤的多金属复合污染是矿渣浸沥与道路扬尘共同作用的结果。
| [1] |
环境保护部, 国土资源部. 全国土壤污染状况调查公报[R/OL]. [2014-4-17]. http://www.gov.cn/govweb/foot/site1/20140417/782bcb88840814ba158d01.pdf.
( 0) |
| [2] |
骆永明, 滕应. 我国土壤污染的区域差异与分区治理修复策略[J]. 中国科学院院刊, 2018, 33(2): 145-152 ( 0) |
| [3] |
李家飞, 刘鸿雁, 陈竹, 等. 不同污染区土壤汞的分布特征及变化规律[J]. 土壤, 2020, 52(1): 160-166 ( 0) |
| [4] |
Choudhury B U, Malang A, Webster R, et al. Acid drainage from coal mining: Effect on paddy soil and productivity of rice[J]. Science of the Total Environment, 2017, 583: 344-351 DOI:10.1016/j.scitotenv.2017.01.074 ( 0) |
| [5] |
Zhou Y T, Wang L L, Xiao T F, et al. Legacy of multiple heavy metal(loid)s contamination and ecological risks in farmland soils from a historical artisanal zinc smelting area[J]. Science of the Total Environment, 2020, 720: 137541 DOI:10.1016/j.scitotenv.2020.137541 ( 0) |
| [6] |
Szwalec A, Mundała P, Kędzior R, et al. Monitoring and assessment of cadmium, lead, zinc and copper concentrations in arable roadside soils in terms of different traffic conditions[J]. Environmental Monitoring and Assessment, 2020, 192(3): 155 DOI:10.1007/s10661-020-8120-x ( 0) |
| [7] |
Tian D, Li Z, O'Connor D, et al. The need to prioritize sustainable phosphate-based fertilizers[J]. Soil Use and Management, 2020, 36(3): 351-354 DOI:10.1111/sum.12578 ( 0) |
| [8] |
李烜桢, 骆永明, 侯德义. 土壤健康评估指标、框架及程序研究进展[J]. 土壤学报, 2021, 59(3): 617-625 ( 0) |
| [9] |
张梓良, 林健, 冬明月, 等. 苏南某区污染耕地农产品镉汞状况调查及健康风险评价[J]. 土壤, 2022, 54(1): 206-210 ( 0) |
| [10] |
Wiederhold J G. Metal stable isotope signatures as tracers in environmental geochemistry[J]. Environmental Science & Technology, 2015, 49(5): 2606-2624 ( 0) |
| [11] |
张妙月, 尹威, 王毅, 等. 稳定同位素示踪土壤中重金属环境行为的研究进展[J]. 土壤学报, 2022, 59(5) DOI:10.11766/trxb202101180694 ( 0) |
| [12] |
陈雅丽, 翁莉萍, 马杰, 等. 近十年中国土壤重金属污染源解析研究进展[J]. 农业环境科学学报, 2019, 38(10): 2219-2238 DOI:10.11654/jaes.2018-1449 ( 0) |
| [13] |
Wang L W, Jin Y L, Weiss D J, et al. Possible application of stable isotope compositions for the identification of metal sources in soil[J]. Journal of Hazardous Materials, 2021, 407: 124812 DOI:10.1016/j.jhazmat.2020.124812 ( 0) |
| [14] |
Wang Z H, Chen J B, Zhang T. Cu isotopic composition in surface environments and in biological systems: A critical review[J]. International Journal of Environmental Research and Public Health, 2017, 14(5): 538 DOI:10.3390/ijerph14050538 ( 0) |
| [15] |
Bigalke M, Weyer S, Kobza J, et al. Stable Cu and Zn isotope ratios as tracers of sources and transport of Cu and Zn in contaminated soil[J]. Geochimica et Cosmochimica Acta, 2010, 74(23): 6801-6813 DOI:10.1016/j.gca.2010.08.044 ( 0) |
| [16] |
Li W, Gou W X, Li W Q, et al. Environmental applications of metal stable isotopes: Silver, mercury and zinc[J]. Environmental Pollution, 2019, 252: 1344-1356 DOI:10.1016/j.envpol.2019.06.037 ( 0) |
| [17] |
Yang L, Tong S Y, Zhou L, et al. A critical review on isotopic fractionation correction methods for accurate isotope amount ratio measurements by MC-ICP-MS[J]. Journal of Analytical Atomic Spectrometry, 2018, 33(11): 1849-1861 DOI:10.1039/C8JA00210J ( 0) |
| [18] |
国家市场监督管理总局、中国国家标准化管理委员会. 土壤质量土壤采样技术指南: GB/T 36197—2018[S]. 北京: 中国标准出版社, 2018.
( 0) |
| [19] |
中华人民共和国环境保护部. 土壤和沉积物12种金属元素的测定王水提取–电感耦合等离子体质谱法: HJ 803—2016[S]. 北京: 中国环境科学出版社, 2016.
( 0) |
| [20] |
Chen L, Zhou S L, Wu S H, et al. Combining emission inventory and isotope ratio analyses for quantitative source apportionment of heavy metals in agricultural soil[J]. Chemosphere, 2018, 204: 140-147 DOI:10.1016/j.chemosphere.2018.04.002 ( 0) |
| [21] |
Jeon S K, Kwon M J, Yang J S, et al. Identifying the source of Zn in soils around a Zn smelter using Pb isotope ratios and mineralogical analysis[J]. Science of the Total Environment, 2017, 601/602: 66-72 ( 0) |
| [22] |
US EPA. Stable Isotope Mixing Models for Estimating Source Proportions[EB/OL]. Washington D. C., USA: United States Environmental Protection Agency, 2017.
( 0) |
| [23] |
Guo G H, Wu F C, Xie F Z, et al. Spatial distribution and pollution assessment of heavy metals in urban soils from southwest China[J]. Journal of Environmental Sciences, 2012, 24(3): 410-418 ( 0) |
| [24] |
Weiss D J, Rehkämper M, Schoenberg R, et al. Application of nontraditional stable-isotope systems to the study of sources and fate of metals in the environment[J]. Environmental Science & Technology, 2008, 42(3): 655-664 ( 0) |
| [25] |
Dixon J B, Schulze D G. Soil Mineralogy with Environmental Applications[M].
Soil Science Society of America, Madison, WI, USA, 2002
( 0) |
| [26] |
Huang Y, Zhang S P, Chen Y, et al. Tracing Pb and possible correlated Cd contamination in soils by using lead isotopic compositions[J]. Journal of Hazardous Materials, 2020, 385: 121528 ( 0) |
| [27] |
Wilcke W, Krauss M, Kobza J, et al. Quantification of anthropogenic lead in Slovak forest and arable soils along a deposition gradient with stable lead isotope ratios[J]. Journal of Plant Nutrition and Soil Science, 2001, 164(3): 303-307 ( 0) |
| [28] |
Hoefs J. Stable Isotope Geochemistry[M].
Springer International Publishing, Cham, 2018
( 0) |
| [29] |
Souto-Oliveira C E, Babinski M, Araújo D F, et al. Multi-isotope approach of Pb, Cu and Zn in urban aerosols and anthropogenic sources improves tracing of the atmospheric pollutant sources in megacities[J]. Atmospheric Environment, 2019, 198: 427-437 ( 0) |
| [30] |
赵奕然, 谷建辉, 万卫, 等. 株洲城郊农田土壤重金属污染特征与Pb同位素示踪[J]. 环境科学学报, 2020, 40(3): 1074-1084 ( 0) |
| [31] |
Dunnington D W, Roberts S, Norton S A, et al. The distribution and transport of lead over two centuries as recorded by lake sediments from northeastern North America[J]. Science of the Total Environment, 2020, 737: 140212 ( 0) |
| [32] |
Huang Y, Li T Q, Wu C X, et al. An integrated approach to assess heavy metal source apportionment in peri-urban agricultural soils[J]. Journal of Hazardous Materials, 2015, 299: 540-549 ( 0) |
| [33] |
Shetaya W H, Marzouk E R, Mohamed E F, et al. Chemical and isotopic fractionation of lead in the surface soils of Egypt[J]. Applied Geochemistry, 2019, 106: 7-16 ( 0) |
2. School of Politics and Public Administration, Guangxi University for Nationalities, Nanning 530006, China;
3. School of Water Conservancy and Civil Engineering, Northeast Agricultural University, Harbin 150030, China
2022, Vol. 54



0)