湿地是处于陆地与水体之间一种过渡性质的生态系统,有独特的形成发育和演化规律[1],具有极高的资源开发价值和环境调节功能。湿地生态系统由湿地土壤、湿地水文和湿地植物三大要素构成[2-4],其中湿地土壤有别于陆地土壤,是湿地生态系统的物质基础,具有调节径流、过滤降解污染物、维持湿地生物多样性等功能[5]。湿地植物是湿地的重要组成部分,能够降解湿地污染物,起到净化水质的功能[6]。但是由于人类的过度开垦,使得自然湿地面积不断减少,调蓄防洪功能衰退,生物多样性减小,土壤质量下降[7],破坏了湿地生态系统的稳定性。因而,退耕还湿作为一项解决湿地面积减少、恢复湿地生态功能的重要举措,受到了越来越多的关注[8]。
国内外对湿地恢复的研究主要集中在湿地植物种子库和植被演替动态、湿地生态系统健康与景观格局变化、退化湿地的恢复重建等方面[8]。国外部分学者开展了对佛罗里达大沼泽湿地[9]等的研究, 我国对退化湿地生态系统恢复重建的研究起步较晚,主要集中在富营养化湖泊和滩涂地生态恢复方面,但对水源湿地的研究报道鲜少。已有研究表明湿地土壤是恢复湿地生态系统的关键[10],当前对于湿地土壤的研究主要集中在土壤理化性质的垂直变化、时空变化规律,其中还涉及人为干扰和植被覆盖等对湿地土壤的影响等方面[11],这些研究有利于对退耕还湿后土壤生态恢复特征的认识,但对湿地土壤在退耕时间序列上的生态恢复过程研究甚少。目前对于湿地植物的研究主要集中在水生植物对湿地土壤碳氮磷硫[12-14]含量及分布特征的影响[6],以及植物各器官对水质和土壤重金属[15]等污染物的吸附降解效果等方面,但是对不同植物群落在时间梯度上对退耕湿地土壤生态恢复效果评价尚未研究。
本文选取成都市重要饮用水源保护区内的云桥湿地为研究对象,通过测定3种植物群落不同退耕恢复年限下的土壤pH、碱解氮、有机质、速效钾和有效磷等土壤养分,以及土壤过氧化氢酶、淀粉酶、蔗糖酶、脲酶等酶活指标,分析不同植物群落下的土壤养分在退耕时间梯度上的变化特征以及土壤养分与土壤酶活的相关性,并对退耕后湿地土壤生态恢复的变化趋势进行预测。初步认识研究区退耕还湿工程建设完成后的湿地土壤在时间梯度上的生态恢复现状以及不同植物群落下土壤养分的分布特征,进而得出不同植物群落在退耕时间梯度上对湿地土壤的恢复效果。同时也为成都水源湿地在植物选择、植物配置以及如何改善湿地土壤等方面提供科学依据,这对于研究区水源湿地面积的扩大和后期的维护和管理具有重要的意义。
1 材料与方法 1.1 研究区概况研究区位于成都市郫县新民场镇,地理位置30°87′06″ ~ 30°87′61″N,103°89′17″ ~ 102°89′98″E,属亚热带温润季风型气候,气候温和、雨量充沛,年平均温度15.7 ℃,最高气温35.8 ℃,最低气温–5℃,年平均降水量960.0 mm,雨量充沛,日照偏少,无霜期长。研究区云桥湿地曾是成都平原具有数千年历史的自然河流——徐堰河和柏条河的交汇故道,后经人为改造为传统冬水田,由于地下水网丰富,十分适合保留和恢复天然沼泽和湖泊湿地环境。该区域内的蓄水受都江堰灌溉区季节性水位控制,具有良好的水资源及植被环境,现已是成都市重要的自然饮用水源。
研究区自2011年退耕还湿工程分期建设以来,湿地总面积已达23 hm2,水域面积达40%,水生植物的覆盖面积已达42.76%。其中,一期湿地面积为3.73 hm2,水生植物群落主要有芦竹(Arundo donax)、芦苇(Phragmites communis)、水烛(Typha angustifolia)、睡莲(Nymphaea tetragona)和鸢尾(Iris tectorum);二期湿地以原生态的水塘和老河沟为基础,面积达8.8 hm2,优势植物群落有芦苇、菖蒲(Acorus calamus)和伞草(Cyperus alternifolius)群落,种植面积较大的水生植物群落还有睡莲、肾厥(Nephrolepis auriculata)、白茅(Imperata cylindrica)等;三期湿地于2015年建设完成,湿地面积达10.46 hm2,种植面积较大的水生植物有7种,其中以芦苇和菖蒲为优势植物群落。本文研究选取分期建设湿地所共有的3种植物群落芦苇、白茅、雀稗,分别代表研究区退耕恢复湿地的优势植物群落、常见湿地植物群落及自然生长植物群落。
1.2 土样采集与处理于2017年6月在成都市郫县三道堰云桥湿地,选取不同建设年限(3、5、7 a)的3个退耕湿地为采样区,植物群落选择雀稗、芦苇、白茅是三区共有且覆盖度较高的植物群落,采样区除退耕时间不同外,其余自然条件相同或相近。每个采样区随机设置3个重复样地,每个样地需含上述3种植物群落,样地内每种植物群落下随机设置一个2 m × 2 m的样方,以点状采样的方式采集5个0 ~ 10 cm的表层土壤混合均匀,并做好标记。同时,采集邻近3个采样区的陆地土壤作为对照组,共计采样36个。
采集的样品做好标记用保鲜袋存储,剔除土壤中的根系和小碎石后将土样分为2部分:一部分鲜土保存于4 ℃冰箱中,用于土壤生化性质的测定;另一部分自然风干后,挑去根、细小石砾后研磨,根据试验要求分别过2、0.25和0.49 mm筛后,标记保存用于理化性质测定。研究区不同退耕年限邻近区陆地土壤的基本性质和酶活性见表 1。
|
|
表 1 研究区不同退耕年限的陆地土壤养分 Table 1 Nutrients in wetlands returned from farmlands with different years |
参照鲁如坤[16]的方法进行。利用酸度计测定土壤pH,水土比为2.5︰1;采用重铬酸钾氧化外加热法测定土壤有机质含量;采用碱解扩散法测定土壤碱解氮含量;采用碳酸氢钠–钼锑抗比色法测定土壤有效磷;采用乙酸铵提取–火焰光度法测定土壤速效钾。
1.3.2 酶活测定土壤酶活性测定采用关荫松[17]的方法进行。用高锰酸钾滴定法测定过氧化氢酶活性,酶活性以1 g土壤20 min内消耗0.1 mol/L KMnO4的量表示;用3, 5二硝基水杨酸比色法测定蔗糖酶活性,酶活性以1 g土壤在37 ℃培养24 h中每小时产生葡萄糖的量表示;用3, 5-二硝基水杨酸比色法测定淀粉酶活性,酶活性以1 g土壤在37 ℃培养24 h中每小时产生葡萄糖的量表示;用靛酚蓝比色法测定脲酶活性,酶活性以1 g土壤在37 ℃培养24 h中每小时释放出NH3-N的量表示。
1.4 数据分析采用Excel 2007软件对数据进行计算、处理和绘图,归一化系数分析;应用SPSS 13软件对不同样地间各指标进行方差分析、显著性分析及相关性分析,并采用Duncan法进行多重比较,统计显著性水平(P < 0.05)。
2 结果与分析 2.1 土壤养分在时间梯度上的变化由图 1A可知:土壤pH介于6.0 ~ 7.65,其中退耕3 a的白茅群落最大(pH = 7.65),退耕5 a的陆地土壤pH最小(pH = 6.0)。随着退耕时间的增加,湿地土壤pH整体呈降低趋势,且不同植物群落下的土壤pH在退耕时间序列上存在差异。如:退耕3 a白茅群落下的土壤pH显著高于雀稗和芦苇群落;退耕5 a,雀稗和白茅群落下的土壤pH无显著差异,且高于芦苇群落;退耕7 a,雀稗群落的土壤pH显著低于芦苇和白茅群落。就单个植物群落来说,在退耕恢复的3 ~ 7 a,雀稗群落下的土壤pH明显降低,芦苇和白茅群落的土壤pH在退耕恢复的3 ~ 5 a显著降低,在退耕5 ~ 7 a变化较小。
|
(图柱上方小写字母不同表示各土样间酶活性在P < 0.05水平差异显著,下图同) 图 1 研究区与对照区不同退耕年限下土壤养分变化 Fig. 1 Physiochemical properties in wetlands returned from farmlands with different years |
土壤有机质是土壤肥力的重要指示物[18],是衡量湿地土壤质量的关键因素,从图 1B可知,土壤有机质含量在8.25 ~ 22.70 mg/kg,其中7 a对照区的陆地土壤有机质含量最高(22.70 mg/kg),退耕5 a、7 a芦苇群落下的土壤有机质含量最低(8.25 mg/kg)。在退耕恢复的时间序列上,除芦苇群落外,湿地土壤的有机质含量无显著差异,但整体低于对照区的陆地土壤;退耕7 a,除芦苇群落的土壤有机质含量(8.25 mg/kg)显著较低外,其余均与对照无显著差异。就单个植物群落来说,芦苇群落在退耕恢复的3 ~ 7 a,其土壤有机质含量从12.97 mg/kg降到8.25 mg/kg;而雀稗和白茅植物群落的有机质含量在退耕的3 ~ 7 a无显著变化。
由图 1C可知,研究区土壤碱解氮含量变化幅度大,其中对照区7 a的陆地土壤最高(244.24 mg/kg),退耕5 a白茅群落最低(18.89 mg/kg)。随着退耕时间的增加,土壤碱解氮含量整体增加,但3种植物群落在年间和年内变化存在差异:如退耕3 a,植物群落间的土壤碱解氮含量无显著差异,均高于对照区的陆地土壤;退耕5 a、7 a,芦苇和白茅群落下的土壤碱解氮含量无显著差异,均显著低于雀稗群落。在退耕恢复的3 ~ 7 a,3种植物群落的碱解氮含量整体低于对照区。就单一植物群落来说,雀稗在退耕3 ~ 7 a土壤碱解氮含量显著增加;芦苇和白茅的碱解氮含量在退耕恢复的时间序列上呈先降低后增加的变化趋势。
土壤速效钾和有效磷是土壤中能够直接被植物所利用的养分[11],从图 1D可以看出土壤速效钾在51.45 ~ 151.57 mg/kg之间,退耕3 a的雀稗最低(51.45 mg/kg),7 a对照区的陆地土壤最高(151.57 mg/kg)。在同一退耕恢复年限内,3种植物群落间的土壤速效钾含量无显著差异,但整体含量低于陆地土壤。其中,在退耕恢复的3 ~ 5 a,3种植物群落间的土壤速效钾无显著差异,但在退耕恢复的5 ~ 7 a,土壤的速效钾含量增加,且在退耕7 a显著低于对照区的陆地土壤(151.57 mg/kg)。
土壤有效磷含量在6.80 ~ 27.54 mg/kg范围,其中退耕3 a的雀稗群落最低(6.80 mg/kg),7 a对照区的最高(27.54 mg/kg)。在退耕恢复的时间序列上,除雀稗群落土壤有效磷含量在退耕5 ~ 7 a显著增加外,芦苇和白茅的土壤有效磷含量无显著差异,且整体低于陆地土壤。3种植物群落在同一恢复年限下的土壤有效磷含量在退耕3 a、5 a无显著差异,但在退耕7 a,雀稗群落的土壤有效磷含量(16.05 mg/kg)显著高于芦苇和白茅,但显著低于对照区的陆地土壤。就单个植物群落来说,雀稗群落在退耕3 ~ 7 a土壤有效磷含量增加;芦苇和白茅在退耕恢复的3 ~ 7 a无明显变化。
总的来说,研究区湿地土壤在退耕恢复的3 ~ 7 a,各土壤养分含量均有所增加,土壤的整体肥力也在逐渐增强,但仍低于对照区的陆地土壤。
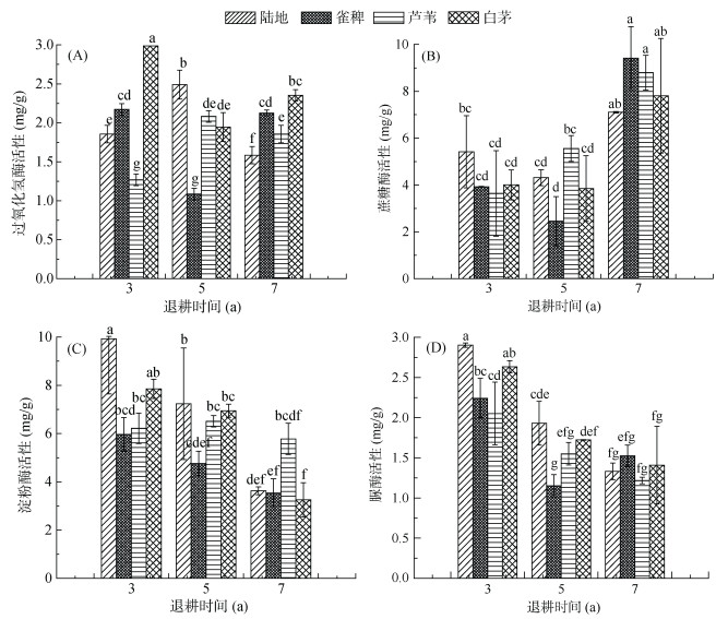
2.2 土壤酶活在时间梯度上的变化过氧化氢酶是土壤腐殖质化大小和有机质积累程度的指标,广泛存在于土壤中,可以用来判断土壤肥力状况和总的生物学活性[19]。由图 2A可知:土壤过氧化氢酶活性为1.09 ~ 2.99 mg/g,其中退耕5 a雀稗的最低(1.09 mg/g),退耕3 a白茅群落的最高(2.99 mg/g)。随着退耕时间的增加,不同植物群落的过氧化氢酶在相同恢复时间存在差异,如退耕3 a,3种植物群落间的土壤过氧化氢酶差异显著;退耕5 a,雀稗群落显著低于芦苇和白茅群落;退耕7 a,3种植物群落的土壤过氧化氢酶显著高于对照区的陆地土壤,且芦苇群落的酶含量显著低于雀稗和白茅。在退耕恢复的3 ~ 7 a,芦苇群落的土壤过氧化氢酶呈增加趋势,雀稗和白茅呈先降低后增加的变化。
|
图 2 研究区与对照区不同退耕年限下土壤酶活变化 Fig. 2 Enzyme activities in wetlands returned from farmlands with different years |
土壤蔗糖酶对增加土壤中易溶有机物质起重要作用,也可以反映土壤有机质的变化。从图 2B可以看出:土壤蔗糖酶介于2.46 ~ 9.41 mg/g,其中雀稗群落下的土壤蔗糖酶活在退耕5 a时最低(2.45 mg/g),退耕7 a最高(9.41 mg/g)。在相同退耕时间内,3种植物群落的土壤蔗糖酶活无显著差异,且在退耕7 a,植物群落的蔗糖酶活高于对照区的陆地土壤。在退耕恢复的3 ~ 7 a,雀稗群落的土壤蔗糖酶活呈先降低后增加的变化,而芦苇和白茅群落下的土壤蔗糖酶活整体呈增加趋势。
从图 2C可知:土壤的淀粉酶活性介于3.25 ~ 9.93 mg/g,其中3 a对照区最高(9.93 mg/g),退耕7 a白茅的最低(3.25 mg/g)。在相同退耕时间内,3种植物群落下的土壤淀粉酶活无显著差异,但与对照区的陆地土壤差异显著,如退耕3 a,雀稗和白茅群落下的土壤淀粉酶显著低于对照区;退耕5 a,雀稗群落(4.76 mg/g)显著低于陆地土壤;退耕7 a,除芦苇群落(5.78 mg/g)略高外,其余与对照区均无明显差异。总的来说,在退耕恢复的3 ~ 7 a,雀稗和白茅群落的土壤淀粉酶活整体呈降低趋势,而芦苇群落在退耕恢复的3 ~ 7 a,其土壤淀粉酶活无明显变化。
土壤脲酶活性的高低可以表征土壤氮素的营养状况等[20],由图 2D可知,土壤脲酶活性介于1.15 ~ 2.90 mg/g,3 a对照区陆地土壤最高(2.90 mg/g),5 a雀稗最低(1.15 mg/g)。在退耕时间序列上,土壤脲酶活性整体降低,且在退耕3 ~ 5 a低于对照区,退耕7 a与陆地土壤无显著差异。3种植物群落下的土壤脲酶在退耕恢复的3 a、5 a存在差异,但在退耕7 a无显著差异。就单个植物群落而言,除雀稗群落土壤脲酶酶活在退耕3 ~ 5 a降低,5 ~ 7 a增加外,芦苇和白茅群落下的土壤脲酶酶活均降低。
整体来说,研究区湿地土壤酶活在退耕恢复的3 ~ 5 a低于陆地土壤,但在退耕恢复7 a与陆地土壤无显著差异。其中土壤过氧化氢酶和蔗糖酶在退耕恢复的3 ~ 7 a呈现先降低后增加的变化规律;而土壤淀粉酶和脲酶在退耕恢复的3 ~ 7 a呈降低趋势。
2.3 研究区不同植物群落湿地恢复效果为了探究不同植物群落对退耕湿地土壤的整体恢复效果,本文对雀稗、芦苇和白茅不同退耕年限下土壤的化学性质和酶活进行了归一化处理,归一化系数=(各指标测定值–区域内平均测定值)/(区域内最大值–区域内最小值)[21]。
如表 2所示,随着退耕时间的增加,雀稗、芦苇和白茅3种植物群落土壤的归一化结果呈现退耕5 a < 3 a < 7 a的变化趋势,这与退耕后土壤理化性质和酶活的变化规律基本一致。在湿地退耕3 a,雀稗和白茅群落土壤的归一化指数分别是1.074和1.759,明显高于芦苇群落;退耕恢复5 a,湿地土壤的归一化结果为负值,即退耕恢复5 a,土壤养分低于退耕恢复3 ~ 7 a土壤养分的整体水平;在退耕恢复7 a,雀稗群落土壤的归一化系数1.882最高,白茅群落为1.647,芦苇群落为–0.218,与退耕恢复3 a、5 a相比,土壤整体肥力相对增强。但不同植物群落对退耕湿地土壤各养分的恢复效果仍存在明显差异,其中雀稗植物群落在退耕恢复7 a后,除土壤淀粉酶和脲酶含量较低外,其余养分含量明显高于平均水平;而芦苇植物群落在退耕恢复7 a后,其土壤有机质、有效磷的含量低于平均水平,土壤的整体肥力低于雀稗和白茅植物群落;白茅植物群落在退耕恢复7 a后,土壤有机质的积累量明显高于雀稗和芦苇,且除土壤有效磷、淀粉酶、脲酶含量较低外,土壤各养分含量高于平均水平,可见,不同植物群落对退耕湿地土壤的恢复效果不同。
|
|
表 2 不同植物群落在时间梯度上的土壤养分归一化结果 Table 2 Normalized results of nutrients in wetlands under different vegetation communities in time series |
由表 3可知,研究区土壤pH与土壤有机质和过氧化氢酶均呈显著正相关(P < 0.05),与脲酶呈极显著正相关,与有效磷呈极显著负相关(P < 0.01);土壤碱解氮与土壤速效钾和土壤蔗糖酶呈极显著正相关,与土壤淀粉酶呈极显著负相关;土壤有效磷和土壤淀粉酶呈显著负相关;土壤速效钾和土壤蔗糖酶呈极显著正相关,与土壤淀粉酶呈显著负相关;土壤过氧化氢酶与土壤脲酶呈显著正相关;土壤淀粉酶和土壤脲酶呈极显著正相关。由此可知,土壤化学性质和土壤酶活之间存在较强的相关性,且土壤各酶活相互间也密切相关,其中,土壤pH与土壤脲酶,碱解氮与速效钾、蔗糖酶,速效钾与蔗糖酶,淀粉酶与脲酶等相互间的相关系数在0.6 ~ 0.8之间呈强相关,因而土壤pH、碱解氮、速效钾、淀粉酶、脲酶等可以作为评价云桥退耕湿地土壤生态恢复的重要指标。
|
|
表 3 研究区土壤理化性质与土壤酶活的相关性 Table 3 Correlation between physiochemical properties and enzyme activities in wetlands in study area |
土壤理化性质是湿地生态系统中极其重要的生态因子,直接影响湿地生态系统的生产力,土壤的pH、有机质、氮、磷、钾等养分能反映湿地生境,可以作为评价湿地土壤生态恢复质量的重要指标[7, 19-22]。其中,土壤水分和土壤有机质是湿地土壤区别于陆地的最主要特征,王莉雯和卫亚星[24]利用高光谱模型对盘锦湿地土壤氮磷含量的研究指出氮磷也是湿地生态系统土壤中的重要营养元素,其对湿地植被生长、湿地生态系统生产力和湿地环境生态净化功能等具有重要的影响作用。本文研究结果表明:随着退耕时间的增加,云桥退耕恢复湿地土壤养分含量也逐年增加,但退耕湿地土壤的整体养分含量仍低于邻近陆地土壤,这与张平究等[21]、包先明等[23]对菜子湖退耕初期湿地土壤养分的研究结果相一致,即退耕初期湿地土壤养分整体低于陆地土壤。研究区湿地土壤有机质、碱解氮、速效钾呈退耕5 a < 3 a < 7 a的变化规律,可能与湿地退耕前的土壤养分含量有关,对照区未退耕的陆地土壤养分整体存在5 a < 3 a < 7 a的差异(表 1)。其中,在退耕恢复的3 ~ 5 a湿地土壤养分整体呈降低趋势,这可能是由于退耕后土壤处于长期的水淹状态,使得原有的土壤养分流失;同时土壤水文条件的改变也会影响土壤生物的数量,进而影响到湿地土壤的整体肥力。在退耕恢复7 a研究区土壤的整体肥力有所增强,这可能与退耕还湿后人类干扰活动的减少有关,但由于研究区退耕湿地的恢复时间较短,水生植物群落的生物量还处于增长期,因而研究区退耕湿地土壤的整体养分仍低于对照区的陆地土壤,研究区的湿地土壤还需要更长的恢复时间才可能演替到自然湿地的稳定状态。
土壤酶是土壤生物地球化学循环的重要参与物质,主要来源于土壤微生物、植物根系分泌物和动植物残体[17]。土壤酶不仅参与土壤中许多重要的生物化学过程,而且与土壤理化性质[25-26]、土壤肥力状况[20, 27]密切相关,在一定程度上也可以表征湿地土壤的演变动态[28]。包先明等[23]指出土壤酶活是评价土壤肥力的重要指标,对退耕时间序列下湿地土壤酶活性研究,可更深入认识退化湿地生态恢复过程。本文通过研究云桥湿地土壤酶在退耕时间梯度上的变化得出:在退耕恢复的3 ~ 7 a,除土壤蔗糖酶和过氧化氢酶活性在退耕5 ~ 7 a增强外,脲酶和淀粉酶活性均明显降低,这与包先明等[23]对菜子湖退耕湿地酶活变化的研究结果相一致。其中,退耕湿地土壤的过氧化氢酶和蔗糖酶活性在退耕恢复7 a后略高于邻近陆地土壤,表明退耕恢复3 ~ 7 a湿地土壤有机质的积累程度和腐殖质的腐化程度增强,土壤肥力逐渐增强;土壤脲酶和淀粉酶活性在退耕恢复的3 ~ 5 a略低于邻近陆地土壤,这是因为退耕还湿后土壤长期的水淹状态,会对土壤微生物的数量产生影响,对土壤酶的活性产生影响,这一结果也与包先明等[23]研究结果相一致, 说明研究区退耕湿地土壤酶活性向着自然湿地方向演替。本研究中退耕还湿7 a后湿地土壤的酶活整体略高于邻近陆地土壤的酶活,因此我们将研究区退耕恢复7 a的土壤养分及酶活与退耕恢复21 a菜子湖的土壤养分和酶活[23]变化趋势进行了比较,发现研究区湿地土壤在退耕恢复5 ~ 7 a的变化趋势与菜子湖湿地接近(图 3),这表明云桥湿地土壤在退耕5 ~ 7 a向着湿地土壤肥力的方向演化,但由于研究区湿地土壤恢复时间较短,还需要对研究区退耕还湿后的土壤生态恢复演替过程进行长期的科学研究。
|
图 3 菜子湖与云桥湿地土壤在时间梯度上的生态恢复变化趋势 Fig. 3 Trend of ecological restoration in Caizihu and Yunqiao wetlands in time gradient |
本文对不同退耕年限下湿地土壤养分和酶活的相关性分析,得出土壤pH与土壤有机质、有效磷、过氧化氢酶和脲酶在P < 0.01水平呈极显著相关,其中土壤pH、速效钾、碱解氮、过氧化氢酶和脲酶可以作为评价云桥湿地土壤恢复的重要指标。研究区湿地土壤的理化性质与土壤酶活间存在极大的相关性,这与杨晓东等[28]对艾比湖湿地的研究结果相一致,同时通过对不同植物群落下湿地土壤的理化性质和酶活做归一化处理,比较不同植物群落在时间梯度上对退耕湿地土壤整体肥力的作用效果,得出雀稗(1.882)和白茅(1.647)植物群落对退耕湿地土壤的恢复效果良好,而芦苇群落的土壤肥力在退耕恢复的5 ~ 7 a相对较薄弱,但其土壤养分的归一化值(-2.18)与李勇等[26]对滨河湿地芦苇群落土壤理化性质归一化处理的研究结果值相吻合,表明芦苇植物群落对退耕湿地土壤养分的恢复也起到一定的促进作用。其中,3种植物群落土壤养分在退耕恢复3 ~ 7 a呈现:雀稗 > 白茅 > 芦苇的变化规律,这可能与3种植物本身的生物学特性以及植物对退耕湿地水文的适应等因素有关。如雀稗为川西地区常见的速生禾草湿地植被[29],也是本文研究区湿地自然生长的植物群落,其适应性强、根系发达、入土深,可以直接改善退耕后的湿地土壤,且在秋冬季植物地上部分枯萎,土壤有机质得到积累,湿地土壤肥力明显增强。而芦苇是湿地建设期人工种植的优势植物种,在生长初期植物生长较为缓慢,需要汲取更多的营养成分[30],且对土壤的恢复作用也受芦苇自身固定作用的影响[31],因而在恢复初期对湿地土壤养分的恢复效果暂不显著,由此可见,植物群落类型对退耕湿地土壤的恢复效果有一定的影响。
通过以上分析讨论,本文为云桥湿地后期的维护和管理提出了3点改进意见:①每年冬季定期收割部分水生植物,增加土壤有机质含量,为春夏植物生长提供更多养分,同时也为土壤动物和土壤微生物提供了充足的食物;②在春季可以适当地向湿地土壤投放一些生物菌群,扩大微生物数量,有助于加速土壤养分的吸收,提高土壤酶活;③不同的植物群落类型对退耕湿地土壤养分作用效果不同,可以增加湿地水生植物类型并根据对土壤各养分的补增效果进行混植,有助于加快湿地生态恢复等。
本文对云桥湿地不同退耕年限下3种植物群落下的土壤生态恢复过程做了初步探究,为水源湿地生态恢复工程的物种选择、植物配置以及退耕还湿后期的维护和管理等均具有一定的参考价值。但由于研究区退耕恢复时间较短,且本文只选取了3种植物群落类型,因此后期还需要在研究区选择更多的植物群落类型来探究不同植物群落对退耕湿地土壤的生态恢复效果,通过对退耕湿地土壤的生态恢复过程进行长期且持续的检测,以期对退耕湿地土壤的生态演替过程有一个全面且科学的认识。
4 结论1) 退耕还湿后,研究区湿地土壤的化学性质在时间梯度上呈先降低后增加的变化趋势,且土壤的整体肥力低于对照区的陆地土壤;而湿地土壤的酶活随着退耕时间的增加,与陆地土壤差异明显,表明退耕湿地土壤的生态恢复可能正朝着自然湿地的演替方向进行。
2) 在退耕恢复的时间序列上,3种植物群落间的整体土壤养分水平存在差异说明植物群落类型对退耕湿地土壤的恢复效果可能存在差异。本文研究发现雀稗群落能有效增强退耕湿地土壤肥力,而芦苇群落对土壤肥力的增强效果相对较弱。
3) 退耕湿地土壤化学性质和土壤酶活的相关性关系表明湿地土壤酶活和化学性质关系密切,能够在一定程度上反映土壤的营养水平。其中土壤pH、碱解氮、速效钾与土壤淀粉酶和脲酶在P < 0.01水平上呈极显著相关且相关值较高,可以作为评价云桥退耕湿地土壤生态恢复的重要指标。
致谢: 感谢王丽教授给出宝贵的修改意见,并耐心指导;感谢党宁馨、唐彬童、程婷婷、刘尧尧等研究生同学试验中的意见指导;感谢舒超、李高明等参与野外采样。
| [1] |
张福群.卧龙湖湿地生态系统稳定性分析与评价研究[D].沈阳: 东北大学, 2010
( 0) |
| [2] |
杨会利.河北省典型滨海湿地演变与退化状况研究[D].石家庄: 河北师范大学, 2008
( 0) |
| [3] |
殷书柏, 李冰, 沈方, 等. 湿地定义研究[J]. 湿地科学, 2015, 13(1): 55-65 DOI:10.3969/j.issn.1673-3290.2015.01.14 ( 0) |
| [4] |
刘厚田. 湿地生态环境[J]. 生态学杂志, 1996(1): 75-78, 71 DOI:10.3321/j.issn:1000-4890.1996.01.001 ( 0) |
| [5] |
徐明露.不同退耕年限下湿地土壤重金属含量、生物有效性及风险评价[D].芜湖: 安徽师范大学, 2016
( 0) |
| [6] |
李胜男, 崔丽娟, 宋洪涛, 等. 不同湿地植物土壤氮、磷去除能力比较[J]. 生态环境学报, 2012, 21(11): 1870-1874 DOI:10.3969/j.issn.1674-5906.2012.11.017 ( 0) |
| [7] |
杨艳芳, 孟向东, 张平究. 不同退耕年限条件下菜子湖湿地土壤理化性质变化[J]. 生态与农村环境学报, 2013, 29(3): 322-328 DOI:10.3969/j.issn.1673-4831.2013.03.009 ( 0) |
| [8] |
戴伟男, 韩勤, 刘新宇, 等. 退耕还湿区生态恢复初探[J]. 防护林科技, 2017(10): 109-110 ( 0) |
| [9] |
Villa J A, Mitsch W J, Song K, et al. Contribution of different wetland plant species to the DOC exported from a mesocosm experiment in the Florida Everglades[J]. Ecological Engineering, 2014, 71: 118-125 DOI:10.1016/j.ecoleng.2014.07.011 ( 0) |
| [10] |
赵永强, 张平究. 退耕还湿土壤生态恢复研究[J]. 湿地科学与管理, 2010, 6(3): 55-58 DOI:10.3969/j.issn.1673-3290.2010.03.13 ( 0) |
| [11] |
王倩.大山包典型湿地土壤化学性质微梯度空间变化研究[D].昆明: 云南师范大学, 2016
( 0) |
| [12] |
王诗乐, 宋立全, 高伟峰, 等. 我国东北寒温带湿地土壤碳氮分布及相关性[J]. 土壤通报, 2017, 48(2): 406-412 ( 0) |
| [13] |
辛琨, 颜葵, 李真, 等. 海南岛红树林湿地土壤有机碳分布规律及影响因素研究[J]. 土壤学报, 2014, 51(5): 1078-1086 ( 0) |
| [14] |
何涛, 孙志高, 李家兵, 等. 闽江河口芦苇与短叶茳芏空间扩展植物-土壤系统硫含量变化特征[J]. 生态学报, 2018, 38(5): 1607-1618 ( 0) |
| [15] |
麦麦提吐尔逊·艾则孜, 阿吉古丽·马木提, 买托合提·阿那依提, 等. 博斯腾湖湿地边缘带农田土壤重金属的污染风险评价[J]. 土壤, 2018, 50(2): 369-375 ( 0) |
| [16] |
鲁如坤. 土壤农业化学分析方法[M].
中国农业科技出版社, 北京, 1999
( 0) |
| [17] |
关松荫. 土壤酶及其研究方法[M].
农业出版社, 北京, 1986
( 0) |
| [18] |
戴士祥, 任文杰, 滕应, 等. 安徽省主要水稻土基本理化性质及肥力综合评价[J]. 土壤, 2018, 50(1): 66-72 ( 0) |
| [19] |
Que N X, Kang H. Regulation of soil enzyme activities in constructed wetlands under a short-term drying period[J]. Chemistry and Ecology, 2013, 29(2): 146-165 DOI:10.1080/02757540.2012.711323 ( 0) |
| [20] |
刘云鹏, 申卫博, 张社奇, 等. 黄河中游湿地土壤养分与酶活性特征及相关性研究[J]. 草地学报, 2013, 21(3): 474-478 ( 0) |
| [21] |
张平究, 赵永强, 孟向东, 等. 退耕还湖后安庆沿江湿地土壤理化性质变化[J]. 土壤通报, 2011, 42(6): 1319-1323 ( 0) |
| [22] |
张平究, 赵永强, 孟向东. 安庆沿江退耕还湖18年的湿地土壤生物化学性质研究[J]. 湿地科学, 2012, 10(3): 299-305 DOI:10.3969/j.issn.1672-5948.2012.03.006 ( 0) |
| [23] |
包先明, 程新锋, 纪磊, 等. 不同退耕年限下菜子湖湿地土壤酶活性变化[J]. 土壤, 2016, 48(4): 692-697 ( 0) |
| [24] |
王莉雯, 卫亚星. 湿地土壤全氮和全磷含量高光谱模型研究[J]. 生态学报, 2016, 36(16): 5116-5125 ( 0) |
| [25] |
罗琰, 苏德荣, 吕世海, 等. 辉河湿地河岸带土壤养分与酶活性特征及相关性研究[J]. 土壤, 2017, 49(1): 203-207 ( 0) |
| [26] |
李勇, 韩勤, 刘新宇, 等. 乌裕尔河滨河湿地不同退耕还湿方式下土壤养分恢复特征[J]. 湿地科学, 2016, 14(4): 586-589 ( 0) |
| [27] |
李艳琼, 黄玉清, 徐广平, 等. 桂林会仙喀斯特湿地芦苇群落土壤养分及微生物活性[J]. 生态学杂志, 2018, 37(1): 64-74 ( 0) |
| [28] |
杨晓东, 吕光辉, 何学敏, 等. 艾比湖湿地自然保护区4种典型群落间土壤酶活性的变化[J]. 干旱区研究, 2017, 34(6): 1278-1285 ( 0) |
| [29] |
唐明坤, 毛颖娟, 刘可倚, 等. 川西北高原区湿地植物区系特征及湿地群落调查初报[J]. 四川林业科技, 2018, 39(2): 71-78 ( 0) |
| [30] |
王继伟, 赵成章, 赵连春, 等. 内陆盐沼芦苇根系形态及生物量分配对土壤盐分因子的响应[J]. 生态学报, 2018, 38(13): 4843-4851 ( 0) |
| [31] |
屈凡柱, 孟灵, 付战勇, 等. 不同生境条件下滨海芦苇湿地C、N、P化学计量特征[J]. 生态学报, 2018, 38(5): 1731-1738 ( 0) |
2019, Vol. 51



0)